Suppr超能文献

灭活疫苗可促进猪肺泡巨噬细胞中持久的抗病毒免疫状态。

Inactivated promotes a persistent antiviral immune status in porcine alveolar macrophages.

作者信息

Tort-Miró Aida, Alonso Uxía, Martín-Mur Beatriz, Muñoz-Basagoiti Jordana, Zeng Yan, Marín-Moraleda David, Ezcurra Enrique, Montaner-Tarbes Sergio, Navas María J, Muñoz Marta, Monleón Paula, González-Oliver Judith, Cano Esmeralda, Vilalta Carles, Caballé Marc, Criado Lourdes, Kochanowski Karl, Accensi Francesc, Aragón Virginia, Correa-Fiz Florencia, Esteve-Codina Anna, Rodríguez Fernando, Argilaguet Jordi

机构信息

IRTA, Animal Health, Centre de Recerca en Sanitat Animal (CReSA), Campus de la Universitat Autònoma de Barcelona (UAB), Bellaterra, Catalonia, Spain.

Unitat mixta d'investigació IRTA-UAB en Sanitat Animal, Centre de Recerca en Sanitat Animal (CReSA), Campus de la Universitat Autònoma de Barcelona (UAB), Bellaterra, Catalonia, Spain.

出版信息

Front Immunol. 2025 Jun 3;16:1584092. doi: 10.3389/fimmu.2025.1584092. eCollection 2025.

Abstract

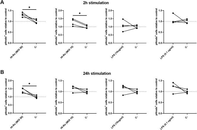
Globalization has increased the incidence of infectious diseases in livestock, further aggravated by the reduction of antibiotic usage. To minimize the resulting economic consequences to the meat production industry, as well as the risk of zoonotic events, the use of immunostimulants has emerged as a potential strategy to enhance animal resilience to diseases. In particular, the capability of bacterial-based immunostimulants to modulate innate immune cells functionality makes them cost-effective candidates as vaccine adjuvants, antimicrobials, or preventive immunostimulators inducing long-term innate immune memory in livestock. However, further research is required to identify novel bacterial strains with immunostimulatory properties. Here we characterized the immunostimulatory properties of isolated from warthog fecal microbiota. Stimulation with heat-inactivated induced cytokine production by porcine immune cells, and a robust innate immune transcriptomic signature in porcine alveolar macrophages. Interestingly, the bacteria induced inflammasome activation and IL-1β production, thus confirming its pro-inflammatory properties, and suggesting its potential as vaccine adjuvant. Importantly, this immunostimulatory status functionally resulted in an antimicrobial state, enhancing the phagocytic capability of alveolar macrophages, and hampering the replication levels of two major porcine viral pathogens: the porcine reproductive and respiratory syndrome virus (PRRSV) and the African swine fever virus (ASFV). Moreover, macrophages showed an enhanced cytokine response upon ASFV infection several days after heat-inactivated stimulation, suggesting the induction of an innate immune memory phenotype. This nonspecific response resulted in a significant reduction of ASFV replication kinetics, demonstrating the capacity of the bacteria to induce a more resistant state in macrophages against a virus infection. Altogether, these results demonstrate the immunostimulatory capability of heat-inactivated in porcine macrophages, showing potential to enhance animal resilience to diseases through the modulation of innate immune cells responsiveness to infections.

摘要

全球化增加了家畜传染病的发病率,抗生素使用量的减少进一步加剧了这一情况。为了将由此给肉类生产行业带来的经济后果以及人畜共患病事件的风险降至最低,使用免疫刺激剂已成为增强动物抗病能力的一种潜在策略。特别是,基于细菌的免疫刺激剂调节先天免疫细胞功能的能力使其成为具有成本效益的候选疫苗佐剂、抗菌剂或预防性免疫刺激剂,可在牲畜中诱导长期的先天免疫记忆。然而,需要进一步研究以鉴定具有免疫刺激特性的新型细菌菌株。在这里,我们表征了从疣猪粪便微生物群中分离出的[细菌名称未给出]的免疫刺激特性。用热灭活的[细菌名称未给出]刺激可诱导猪免疫细胞产生细胞因子,并在猪肺泡巨噬细胞中产生强大的先天免疫转录组特征。有趣的是,该细菌诱导炎性小体激活和IL-1β产生,从而证实了其促炎特性,并表明其作为疫苗佐剂的潜力。重要的是,这种免疫刺激状态在功能上导致了抗菌状态,增强了肺泡巨噬细胞吞噬能力,并阻碍了两种主要猪病毒病原体的复制水平:猪繁殖与呼吸综合征病毒(PRRSV)和非洲猪瘟病毒(ASFV)。此外,在热灭活的[细菌名称未给出]刺激几天后,巨噬细胞在感染ASFV时显示出增强的细胞因子反应,表明诱导了先天免疫记忆表型。这种非特异性反应导致ASFV复制动力学显著降低,证明该细菌能够在巨噬细胞中诱导出更具抗性的状态以抵抗病毒感染。总之,这些结果证明了热灭活的[细菌名称未给出]在猪巨噬细胞中的免疫刺激能力,显示出通过调节先天免疫细胞对感染的反应性来增强动物抗病能力的潜力。

https://cdn.ncbi.nlm.nih.gov/pmc/blobs/c2ce/12170322/04109cd5c706/fimmu-16-1584092-g001.jpg

文献检索

告别复杂PubMed语法,用中文像聊天一样搜索,搜遍4000万医学文献。AI智能推荐,让科研检索更轻松。

立即免费搜索

文件翻译

保留排版,准确专业,支持PDF/Word/PPT等文件格式,支持 12+语言互译。

免费翻译文档

深度研究

AI帮你快速写综述,25分钟生成高质量综述,智能提取关键信息,辅助科研写作。

立即免费体验