Suppr超能文献

来自拟杆菌门的环境食酸菌属的一个具有遗传易处理性的分支是天然产物发现的热点。

A genetically tractable branch of environmental Pedobacter from the phylum Bacteroidota represents a hotspot for natural product discovery.

作者信息

Liu Yang, Linares-Otoya Luis, Kersten Christian, Marner Michael, Mihajlovic Sanja, Abdeldayem Mohamed H, Semmler Sandra, Bletz Molly C, Vences Miguel, Spohn Marius, Zumkeller Celine M, Schäberle Till F

机构信息

Institute for Insect Biotechnology with Focus on Natural Product Research, Justus- Liebig-University Giessen, Ohlebergsweg 12, 35392, Giessen, Germany.

Department of Molecular Biology, Princeton University, Princeton, USA.

出版信息

Sci Rep. 2025 Jun 20;15(1):20106. doi: 10.1038/s41598-025-03955-z.

Abstract

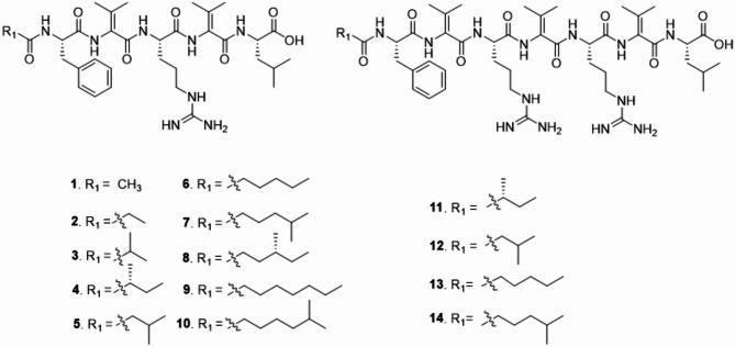
Emerging global challenges, such as antimicrobial resistance, have shifted the focus of natural product discovery from well-characterized microbial producers to underexplored taxonomic groups. Here, we computationally and experimentally characterize the biosynthetic potential of the genus Pedobacter, a Bacteroidota taxon known for antibiotic production that harbors numerous uncharacterized secondary metabolite (SM)-encoding biosynthetic gene clusters (BGCs). Through phylogenomic analysis of the genus Pedobacter, we identify a distinct clade enriched in lipopeptide-associated BGCs, most of which lack known chemical products. By developing de novo genetic tools and integrating metabolomics, we linked specific secondary metabolites to their corresponding BGCs. Using synthetic and analytical chemistry as proof of concept, we isolated and structurally characterized twelve linear lipopeptides (cryopeptins A-N), containing rare dehydrovalines from Pedobacter cryoconitis PAMC 27485. We demonstrate that all cryopeptins, despite their structural heterogeneity, are biosynthesized by a single multi-domain non-ribosomal peptide synthetase (NRPS) gene cluster. Mechanistically, we propose that this BGC drives chemical diversity through combinatorial fatty acid incorporation and iterative amino acid assembly, resulting in variable peptide chain lengths. This work highlights the biosynthetic versatility of Pedobacter and outlines methods for genetic manipulation in this genus to systematically access its cryptic natural product repertoire.

摘要

诸如抗菌药物耐药性等新出现的全球挑战,已将天然产物发现的重点从特征明确的微生物生产者转移到未充分探索的分类群。在此,我们通过计算和实验表征了Pedobacter属的生物合成潜力,Pedobacter属是拟杆菌门中的一个分类单元,以产生抗生素而闻名,其中含有许多未表征的编码次生代谢物(SM)的生物合成基因簇(BGC)。通过对Pedobacter属的系统发育基因组分析,我们鉴定出一个富含脂肽相关BGC的独特进化枝,其中大多数缺乏已知的化学产物。通过开发从头遗传工具并整合代谢组学,我们将特定的次生代谢物与其相应的BGC联系起来。以合成化学和分析化学作为概念验证,我们从嗜冷Pedobacter cryoconitis PAMC 27485中分离并对12种线性脂肽(冻肽A - N)进行了结构表征,这些脂肽含有罕见的脱氢缬氨酸。我们证明,尽管所有冻肽结构存在异质性,但它们均由单个多结构域非核糖体肽合成酶(NRPS)基因簇生物合成。从机制上讲,我们提出该BGC通过组合脂肪酸掺入和迭代氨基酸组装来驱动化学多样性,从而产生可变的肽链长度。这项工作突出了Pedobacter的生物合成多样性,并概述了该属中进行基因操作以系统获取其隐秘天然产物库的方法。

https://cdn.ncbi.nlm.nih.gov/pmc/blobs/e1c2/12181424/29d94a90d874/41598_2025_3955_Fig1_HTML.jpg

文献检索

告别复杂PubMed语法,用中文像聊天一样搜索,搜遍4000万医学文献。AI智能推荐,让科研检索更轻松。

立即免费搜索

文件翻译

保留排版,准确专业,支持PDF/Word/PPT等文件格式,支持 12+语言互译。

免费翻译文档

深度研究

AI帮你快速写综述,25分钟生成高质量综述,智能提取关键信息,辅助科研写作。

立即免费体验