Sahu Upendra Prasad, Singh Manisha, Hasan Omar, Rani Neha, Mobin Naghma, Kumari Yuthika, Soumya Shrasta, Shankar Mani, Hasan Riaz
Department of Pediatrics, Rajendra Institute of Medical Sciences, Ranchi, IND.
Department of Chemistry, Dr. Shyama Prasad Mukherjee University, Ranchi, IND.
Cureus. 2025 May 21;17(5):e84533. doi: 10.7759/cureus.84533. eCollection 2025 May.
Early recognition of severe bacterial infection (SBI) in children is critical, yet traditional markers such as C‑reactive protein (CRP) lack adequate accuracy. Serum procalcitonin (PCT) rises rapidly after bacterial insult and may offer both diagnostic and prognostic value.
To compare the diagnostic and prognostic performance of day 1 PCT with CRP in children with suspected SBI at a tertiary center in eastern India.
In this prospective observational study (July 2021 - June 2022), we enrolled 212 children (one month-18 years) admitted to the Department of Pediatrics, Rajendra Institute of Medical Sciences, Ranchi. Serum PCT and CRP were measured within six hours of admission. Outcomes included PICU admission, hospital length of stay (LOS), and in‑hospital mortality. Diagnostic accuracy was assessed with receiver‑operating‑characteristic (ROC) curves; sensitivity and specificity at the optimal PCT cut‑off were calculated with Wilson 95% confidence intervals (CI).
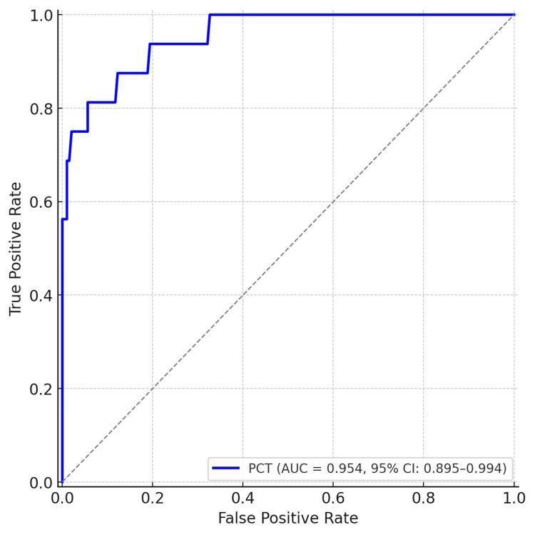
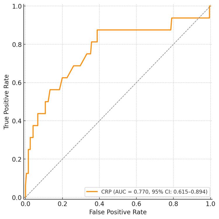
Median day 1 PCT was significantly higher in non‑survivors than survivors (3.96 ng mL⁻¹ vs. 1.22 ng mL⁻¹, p<0.001). For predicting mortality, PCT showed an area under the ROC curve (AUC) of 0.954 (95% CI: 0.90-0.99), markedly superior to CRP (AUC: 0.770, 95% CI: 0.62-0.89). A PCT threshold of 2.0 ng mL⁻¹ yielded 87.5% sensitivity (95% CI: 64.0-96.5) and 81.1% specificity (95% CI: 75.1-86.0) for mortality prediction. Mean LOS increased stepwise across PCT quartiles (Q1: 6.3 days → Q4: 8.8 days, <0.001).
Day 1 PCT outperforms CRP for early risk‑stratification in pediatric bacterial infection, accurately identifying children who require intensive care and prolonged therapy. Incorporating PCT into admission protocols could enhance antibiotic stewardship and optimize PICU resource allocation, particularly in resource‑limited settings.
早期识别儿童严重细菌感染(SBI)至关重要,但传统标志物如C反应蛋白(CRP)的准确性不足。血清降钙素原(PCT)在细菌感染后迅速升高,可能具有诊断和预后价值。
在印度东部一家三级中心,比较第1天PCT与CRP对疑似SBI儿童的诊断和预后性能。
在这项前瞻性观察研究(2021年7月至2022年6月)中,我们纳入了212名年龄在1个月至18岁之间、入住兰契市拉金德拉医学科学研究所儿科学系的儿童。入院后6小时内检测血清PCT和CRP。结局包括入住儿科重症监护病房(PICU)、住院时间(LOS)和院内死亡率。采用受试者工作特征(ROC)曲线评估诊断准确性;在最佳PCT临界值处计算敏感性和特异性,并给出威尔逊95%置信区间(CI)。
非幸存者第1天PCT中位数显著高于幸存者(3.96 ng/mL vs. 1.22 ng/mL,p<0.001)。对于预测死亡率,PCT的ROC曲线下面积(AUC)为0.954(95%CI:0.90 - 0.99),明显优于CRP(AUC:0.770,95%CI:0.62 - 0.89)。PCT阈值为2.0 ng/mL时,死亡率预测的敏感性为87.5%(95%CI:64.0 - 96.5),特异性为81.1%(95%CI:75.1 - 86.0)。平均LOS在PCT四分位数区间内逐步增加(第一四分位数:6.3天→第四四分位数:8.8天,p<0.001)。
第1天PCT在儿科细菌感染的早期风险分层方面优于CRP,能准确识别需要重症监护和长期治疗的儿童。将PCT纳入入院诊疗方案可加强抗生素管理并优化PICU资源分配,尤其是在资源有限的环境中。