Suppr超能文献

探索血细胞水平如何影响主观性耳鸣:一项横断面病例对照研究。

Exploring How Blood Cell Levels Influence Subjective Tinnitus: A Cross-Sectional Case-Control Study.

作者信息

Maihoub Stefani, Mavrogeni Panayiota, Répássy Gábor Dénes, Molnár András

机构信息

Maihoub ENT Clinic, Aliakmona Street 16, Limassol 3117, Cyprus.

Tóth Ilona Health Service, Clinical Medical Institute, Görgey Artúr Tér 8, 1212 Budapest, Hungary.

出版信息

Audiol Res. 2025 Jun 18;15(3):72. doi: 10.3390/audiolres15030072.

Abstract

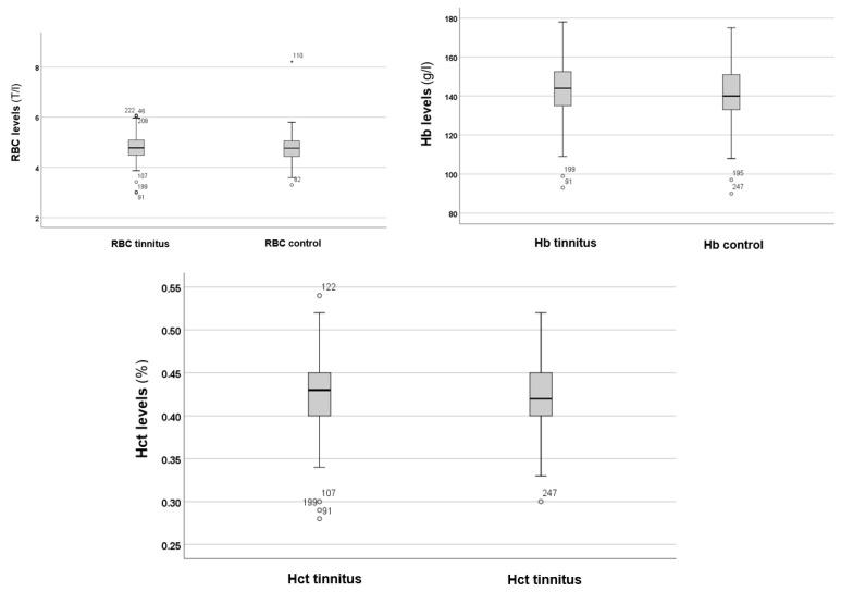
This study aimed to analyse the haematological parameters in relation to subjective tinnitus. We hypothesise that abnormal haematological findings may correlate with increased severity and chronicity of tinnitus. This research could lead to improved diagnostic methods and more targeted treatments. A total of 439 patients with primary subjective tinnitus and 274 individuals without tinnitus were enrolled. These participants underwent comprehensive laboratory testing, which included haematological parameters. When comparing the white blood cell levels between the tinnitus group and the control group, no statistically significant differences were found ( = 0.743). Similarly, comparisons of red blood cell levels ( = 0.250), haemoglobin levels ( = 0.087), and haematocrit levels ( = 0.066) also revealed no significant differences. The platelet levels showed no significant difference between the two groups ( = 0.782). According to a logistic regression model, lower levels of haemoglobin ( = 0.000) and platelets ( = 0.000) significantly predicted higher scores on the Tinnitus Handicap Inventory, indicating self-reported tinnitus severity. Furthermore, lower haemoglobin levels were significant predictors ( = 0.04) of developing bilateral tinnitus. Using Spearman's correlation test, a statistically significant negative correlation ( = 0.029) was observed between red blood cell levels and the onset of tinnitus. The frequency of tinnitus demonstrated a significant positive correlation with haemoglobin levels ( = 0.04) and haematocrit levels ( = 0.043). Conversely, platelet levels showed a significant negative correlation with both tinnitus intensity ( = 0.002) and the onset of tinnitus ( = 0.033). While the haematological parameters showed no significant differences between the tinnitus and control groups, further analyses indicated that certain parameters, such as haemoglobin and haematocrit levels, could potentially influence tinnitus, necessitating further investigation.

摘要

本研究旨在分析与主观性耳鸣相关的血液学参数。我们假设血液学异常发现可能与耳鸣的严重程度增加和慢性化相关。这项研究可能会带来改进的诊断方法和更有针对性的治疗。总共招募了439例原发性主观性耳鸣患者和274例无耳鸣个体。这些参与者接受了包括血液学参数在内的全面实验室检测。比较耳鸣组和对照组的白细胞水平时,未发现统计学上的显著差异(P = 0.743)。同样,红细胞水平(P = 0.250)、血红蛋白水平(P = 0.087)和血细胞比容水平(P = 0.066)的比较也未显示出显著差异。两组之间的血小板水平无显著差异(P = 0.782)。根据逻辑回归模型,较低的血红蛋白水平(P = 0.000)和血小板水平(P = 0.000)显著预测了耳鸣障碍量表上的较高得分,表明自我报告的耳鸣严重程度。此外,较低的血红蛋白水平是双侧耳鸣发生的显著预测因素(P = 0.04)。使用斯皮尔曼相关性检验,观察到红细胞水平与耳鸣发作之间存在统计学上的显著负相关(P = 0.029)。耳鸣频率与血红蛋白水平(P = 0.04)和血细胞比容水平(P = 0.043)呈显著正相关。相反,血小板水平与耳鸣强度(P = 0.002)和耳鸣发作均呈显著负相关(P = 0.033)。虽然耳鸣组和对照组之间的血液学参数没有显著差异,但进一步分析表明,某些参数,如血红蛋白和血细胞比容水平,可能会影响耳鸣,需要进一步研究。

https://cdn.ncbi.nlm.nih.gov/pmc/blobs/edbd/12190120/d65a423d3bfa/audiolres-15-00072-g001.jpg

文献AI研究员

20分钟写一篇综述,助力文献阅读效率提升50倍。

立即体验

用中文搜PubMed

大模型驱动的PubMed中文搜索引擎

马上搜索

文档翻译

学术文献翻译模型,支持多种主流文档格式。

立即体验