• 文献检索
  • 文档翻译
  • 深度研究
  • 学术资讯
  • Suppr Zotero 插件Zotero 插件
  • 邀请有礼
  • 套餐&价格
  • 历史记录
应用&插件
Suppr Zotero 插件Zotero 插件浏览器插件Mac 客户端Windows 客户端微信小程序
定价
高级版会员购买积分包购买API积分包
服务
文献检索文档翻译深度研究API 文档MCP 服务
关于我们
关于 Suppr公司介绍联系我们用户协议隐私条款
关注我们

Suppr 超能文献

核心技术专利:CN118964589B侵权必究
粤ICP备2023148730 号-1Suppr @ 2026

文献检索

告别复杂PubMed语法,用中文像聊天一样搜索,搜遍4000万医学文献。AI智能推荐,让科研检索更轻松。

立即免费搜索

文件翻译

保留排版,准确专业,支持PDF/Word/PPT等文件格式,支持 12+语言互译。

免费翻译文档

深度研究

AI帮你快速写综述,25分钟生成高质量综述,智能提取关键信息,辅助科研写作。

立即免费体验

对氯苯胺对真菌SP535细胞的毒性作用及细胞色素P450的作用

Toxic Effects of p-Chloroaniline on Cells of Fungus SP535 and the Role of Cytochrome P450.

作者信息

Huang Shicong, Gao Jiahui, Zhou Lin, Gao Liujian, Song Mengke, Zeng Qiaoyun

机构信息

College of Natural Resources and Environment, South China Agricultural University, Guangzhou 510642, China.

出版信息

Toxics. 2025 Jun 16;13(6):506. doi: 10.3390/toxics13060506.

DOI:10.3390/toxics13060506
PMID:40559979
原文链接:https://pmc.ncbi.nlm.nih.gov/articles/PMC12197570/
Abstract

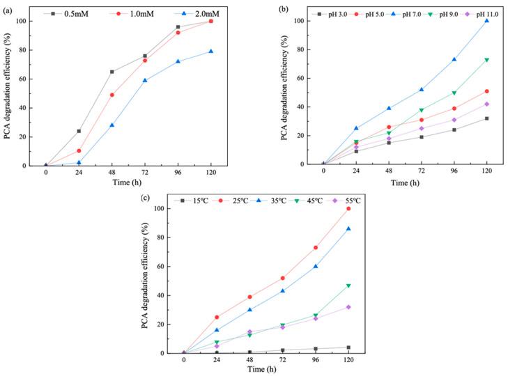
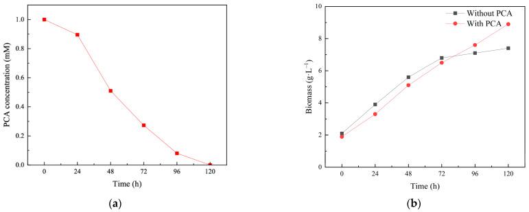
Efficient methods to remediate PCA (p-chloroaniline)-polluted environments are urgent due to the widespread persistence and toxicity of PCA in the environment. Microbial degradation presents a promising approach for remediating PCA pollution. However, the PCA-degrading fungi still have yet to be explored. This study confirmed the highly PCA-degrading efficiency of an isolated fungus, SP535. This fungus can achieve a PCA degradation efficiency of 100% under optimal conditions characterized by an initial PCA concentration of 1.0 mM, pH of 7.0 and a temperature of 25 °C. SEM and TEM analyses revealed that the toxicity of PCA resulted in roughened surfaces of SP535 hyphae, voids in the cytoplasm, and thickened cell walls. PCA addition significantly elevated the activities of cytochrome P450 monooxygenase in both cell-free extracts and microsomal fractions in the media, suggesting the important role of the P450 system in PCA metabolization by SP535. The results provide a microbial resource and fundamental knowledge for addressing PCA pollution.

摘要

由于对氯苯胺(PCA)在环境中广泛存在且具有持久性和毒性,因此迫切需要有效的方法来修复受PCA污染的环境。微生物降解是一种很有前景的PCA污染修复方法。然而,降解PCA的真菌仍有待探索。本研究证实了分离出的真菌SP535具有很高的PCA降解效率。在初始PCA浓度为1.0 mM、pH为7.0、温度为25°C的最佳条件下,这种真菌能够实现100%的PCA降解效率。扫描电子显微镜(SEM)和透射电子显微镜(TEM)分析表明,PCA的毒性导致SP535菌丝表面粗糙、细胞质出现空洞以及细胞壁增厚。添加PCA显著提高了培养基中无细胞提取物和微粒体组分中细胞色素P450单加氧酶的活性,这表明P450系统在SP535代谢PCA过程中发挥着重要作用。这些结果为解决PCA污染提供了一种微生物资源和基础知识。

https://cdn.ncbi.nlm.nih.gov/pmc/blobs/47af/12197570/46e3a45c08f6/toxics-13-00506-g004.jpg
https://cdn.ncbi.nlm.nih.gov/pmc/blobs/47af/12197570/5b5007f0dbdb/toxics-13-00506-g001.jpg
https://cdn.ncbi.nlm.nih.gov/pmc/blobs/47af/12197570/dc6c3842a367/toxics-13-00506-g002.jpg
https://cdn.ncbi.nlm.nih.gov/pmc/blobs/47af/12197570/5af108e0f346/toxics-13-00506-g003.jpg
https://cdn.ncbi.nlm.nih.gov/pmc/blobs/47af/12197570/46e3a45c08f6/toxics-13-00506-g004.jpg
https://cdn.ncbi.nlm.nih.gov/pmc/blobs/47af/12197570/5b5007f0dbdb/toxics-13-00506-g001.jpg
https://cdn.ncbi.nlm.nih.gov/pmc/blobs/47af/12197570/dc6c3842a367/toxics-13-00506-g002.jpg
https://cdn.ncbi.nlm.nih.gov/pmc/blobs/47af/12197570/5af108e0f346/toxics-13-00506-g003.jpg
https://cdn.ncbi.nlm.nih.gov/pmc/blobs/47af/12197570/46e3a45c08f6/toxics-13-00506-g004.jpg

相似文献

1
Toxic Effects of p-Chloroaniline on Cells of Fungus SP535 and the Role of Cytochrome P450.对氯苯胺对真菌SP535细胞的毒性作用及细胞色素P450的作用
Toxics. 2025 Jun 16;13(6):506. doi: 10.3390/toxics13060506.
2
Systemic treatments for metastatic cutaneous melanoma.转移性皮肤黑色素瘤的全身治疗
Cochrane Database Syst Rev. 2018 Feb 6;2(2):CD011123. doi: 10.1002/14651858.CD011123.pub2.
3
Accreditation through the eyes of nurse managers: an infinite staircase or a phenomenon that evaporates like water.护士长眼中的认证:是无尽的阶梯还是如流水般消逝的现象。
J Health Organ Manag. 2025 Jun 30. doi: 10.1108/JHOM-01-2025-0029.
4
Patient-controlled analgesia with remifentanil versus alternative parenteral methods for pain management in labour.瑞芬太尼患者自控镇痛与其他胃肠外方法用于分娩疼痛管理的比较
Cochrane Database Syst Rev. 2017 Apr 13;4(4):CD011989. doi: 10.1002/14651858.CD011989.pub2.
5
Isolated Methylmalonic Acidemia孤立性甲基丙二酸血症
6
Assessing the comparative effects of interventions in COPD: a tutorial on network meta-analysis for clinicians.评估慢性阻塞性肺疾病干预措施的比较效果:面向临床医生的网状Meta分析教程
Respir Res. 2024 Dec 21;25(1):438. doi: 10.1186/s12931-024-03056-x.
7
A systematic review of speech, language and communication interventions for children with Down syndrome from 0 to 6 years.对0至6岁唐氏综合征儿童言语、语言和沟通干预措施的系统评价。
Int J Lang Commun Disord. 2022 Mar;57(2):441-463. doi: 10.1111/1460-6984.12699. Epub 2022 Feb 22.
8
EORTC guidelines for the use of erythropoietic proteins in anaemic patients with cancer: 2006 update.欧洲癌症研究与治疗组织(EORTC)癌症贫血患者促红细胞生成蛋白使用指南:2006年更新版
Eur J Cancer. 2007 Jan;43(2):258-70. doi: 10.1016/j.ejca.2006.10.014. Epub 2006 Dec 19.
9
Hormonal therapies for early breast cancer: systematic review and economic evaluation.早期乳腺癌的激素疗法:系统评价与经济学评估
Health Technol Assess. 2007 Jul;11(26):iii-iv, ix-xi, 1-134. doi: 10.3310/hta11260.
10
Interventions to reduce harm from continued tobacco use.减少持续吸烟危害的干预措施。
Cochrane Database Syst Rev. 2016 Oct 13;10(10):CD005231. doi: 10.1002/14651858.CD005231.pub3.

本文引用的文献

1
Impacts of elevated temperature on morphology, oxidative stress levels, and testosterone synthesis in ex vivo cultured porcine testicular tissue.高温对体外培养的猪睾丸组织形态、氧化应激水平及睾酮合成的影响
Theriogenology. 2023 Dec;212:181-188. doi: 10.1016/j.theriogenology.2023.09.015. Epub 2023 Sep 19.
2
Biodegradation of Tetracycline Antibiotics by the Yeast Strain M503.酵母菌株M503对四环素类抗生素的生物降解作用
Microorganisms. 2022 Mar 5;10(3):565. doi: 10.3390/microorganisms10030565.
3
Fungi are key players in extreme ecosystems.
真菌是极端生态系统中的关键参与者。
Trends Ecol Evol. 2022 Jun;37(6):517-528. doi: 10.1016/j.tree.2022.02.002. Epub 2022 Mar 1.
4
Role of cytochrome P450 genes of Trichoderma atroviride T23 on the resistance and degradation of dichlorvos.里氏木霉 T23 细胞色素 P450 基因在敌敌畏抗性和降解中的作用。
Chemosphere. 2022 Mar;290:133173. doi: 10.1016/j.chemosphere.2021.133173. Epub 2021 Dec 13.
5
Stimulation of Bacillus sp. by lipopeptide biosurfactant for the degradation of aromatic amine 4-Chloroaniline.脂肽生物表面活性剂对芽孢杆菌的刺激作用及其对芳香胺 4-氯苯胺的降解作用。
J Hazard Mater. 2021 Aug 5;415:125716. doi: 10.1016/j.jhazmat.2021.125716. Epub 2021 Mar 23.
6
Reductive Cytochrome P450 Reactions and Their Potential Role in Bioremediation.细胞色素P450还原反应及其在生物修复中的潜在作用。
Front Microbiol. 2021 Apr 15;12:649273. doi: 10.3389/fmicb.2021.649273. eCollection 2021.
7
Endophyte-assisted phytoremediation: mechanisms and current application strategies for soil mixed pollutants.内生菌辅助植物修复:土壤混合污染物的机制和当前应用策略。
Crit Rev Biotechnol. 2020 Feb;40(1):31-45. doi: 10.1080/07388551.2019.1675582. Epub 2019 Oct 27.
8
Cometabolic degradation of p-chloroaniline by the genus Brevibacillus bacteria with extra carbon sources.短短芽孢杆菌属细菌利用额外碳源对氯苯胺的共代谢降解
J Hazard Mater. 2020 Feb 5;383:121198. doi: 10.1016/j.jhazmat.2019.121198. Epub 2019 Sep 10.
9
Toxicity of perfluorooctane sulfonate on Phanerochaete chrysosporium: Growth, pollutant degradation and transcriptomics.过氟辛烷磺酸对黄孢原毛平革菌的毒性:生长、污染物降解和转录组学。
Ecotoxicol Environ Saf. 2019 Jun 15;174:66-74. doi: 10.1016/j.ecoenv.2019.02.066. Epub 2019 Feb 26.
10
Whole Genome Sequencing and Comparative Genomics Analyses of sp. XY-2, a New Species Capable of Biodegrade Tetracycline.能够降解四环素的新物种XY-2菌的全基因组测序及比较基因组学分析
Front Microbiol. 2019 Jan 29;10:33. doi: 10.3389/fmicb.2019.00033. eCollection 2019.