Suppr超能文献

关于某些类真菌聚酮化合物细胞毒性的考量——健康和患病皮肤护肤品的潜在原材料

Considerations Regarding the Cytotoxicity of Certain Classes of Fungal Polyketides-Potential Raw Materials for Skincare Products for Healthy and Diseased Skin.

作者信息

Albisoru Daniela, Radu Nicoleta, Senin Raluca, Caramihai Mihai Dan, Begea Mihaela, Mulesa Oksana, Roman Viviana, Bostan Marinela

机构信息

Faculty of Biotechnology, University of Agronomic Sciences and Veterinary Medicine of Bucharest, 011464 Bucharest, Romania.

Department of Biotechnology, National Institute of Chemistry and Petrochemistry R&D of Bucharest, 060021 Bucharest, Romania.

出版信息

Pharmaceutics. 2025 Jun 9;17(6):759. doi: 10.3390/pharmaceutics17060759.

Abstract

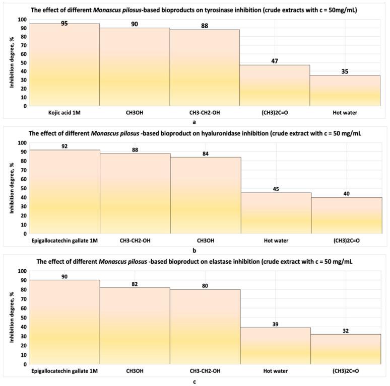
: This study investigates the cytotoxicity of microbial polyketides biosynthesized by species through both in silico and in vitro approaches. : Six main know -derived polyketides were analysed in silico an an vitro. : In silico tests reveal that the main derived compounds exhibit lipophilic properties, indicating their potential suitability as active ingredients in dermato-cosmetic formulations. In silico tests revealed significant flexibility and high degrees of unsaturation for some -derived polyketides, suggesting a broad interaction potential and a propensity for chemical instability. In silico permeability tests indicated low epidermal penetration. Cytotoxicity assays conducted in vitro on a HaCaT cell line revealed varying levels of cytotoxicity among the three classes of fungal polyketides. Yellow polyketides derived from and exhibited moderate cytotoxicity, while orange polyketides derived from the same strains showed low cytotoxicity. Red, orange, and yellow polyketides derived from a high-productive sp. genus showed low or negligible cytotoxicity. After 48 h of exposure, the cytotoxic profiles of all polyketides remained relatively stable. The IC values obtained through linear or nonlinear models supplied by EXCEL MS Office or for the Systat programme indicated moderate-to-low cytotoxicity for polyketides derived from and . The bioproducts derived from high-productive sp. exhibited weak or negligible cytotoxicity. : The results obtained suggest that the -derived polyketides possess promising properties for therapeutic and cosmetic applications, but their chemical stability must be considered in the case of dermatological formulations.

摘要

本研究通过计算机模拟和体外实验方法,研究了由[物种名称]生物合成的微生物聚酮化合物的细胞毒性。对六种主要的已知[来源名称]衍生聚酮化合物进行了计算机模拟分析和体外分析。计算机模拟测试表明,主要的衍生化合物具有亲脂性,表明它们有可能适合作为皮肤化妆品配方中的活性成分。计算机模拟测试显示,某些[来源名称]衍生的聚酮化合物具有显著的灵活性和高度的不饱和性,这表明它们具有广泛的相互作用潜力和化学不稳定性倾向。计算机模拟渗透测试表明其表皮渗透性较低。在HaCaT细胞系上进行的体外细胞毒性试验显示,三类真菌聚酮化合物的细胞毒性水平各不相同。来自[菌株名称1]和[菌株名称2]的黄色聚酮化合物表现出中等细胞毒性,而来自相同菌株的橙色聚酮化合物显示出低细胞毒性。来自高产[物种名称]属的红色、橙色和黄色聚酮化合物显示出低细胞毒性或可忽略不计的细胞毒性。暴露48小时后,所有[来源名称]聚酮化合物的细胞毒性谱保持相对稳定。通过EXCEL MS Office或Systat程序提供的线性或非线性模型获得的IC值表明,来自[来源名称1]和[来源名称2]的聚酮化合物具有中低细胞毒性。来自高产[物种名称]的生物产品表现出较弱或可忽略不计的细胞毒性。研究结果表明,[来源名称]衍生的聚酮化合物在治疗和化妆品应用方面具有良好的性能,但在皮肤病学配方中必须考虑其化学稳定性。

https://cdn.ncbi.nlm.nih.gov/pmc/blobs/1ab6/12196435/149c54996b4b/pharmaceutics-17-00759-g001.jpg

文献AI研究员

20分钟写一篇综述,助力文献阅读效率提升50倍。

立即体验

用中文搜PubMed

大模型驱动的PubMed中文搜索引擎

马上搜索

文档翻译

学术文献翻译模型,支持多种主流文档格式。

立即体验