Suppr超能文献

一种基于临床和MRI的联合生物标志物模型的开发与验证,用于区分轻度认知障碍和轻度阿尔茨海默病。

Development and validation of a combined clinical and MRI-based biomarker model to differentiate mild cognitive impairment from mild Alzheimer's disease.

作者信息

Hosseini Zohreh, Mohebbi Alisa, Kiani Iman, Taghilou Aydin, Mohammadjafari Atefeh, Aghamollaii Vajiheh

机构信息

Department of Psychiatry Tehran University of Medical Sciences Tehran Iran.

Students' Scientific Research Center Tehran University of Medical Sciences Tehran Iran.

出版信息

PCN Rep. 2025 Jun 26;4(2):e70134. doi: 10.1002/pcn5.70134. eCollection 2025 Jun.

Abstract

BACKGROUND

Two of the most common complaints seen in neurology clinics are Alzheimer's disease (AD) and mild cognitive impairment (MCI), characterized by similar symptoms. The aim of this study was to develop and internally validate the diagnostic value of combined neurological and radiological predictors in differentiating mild AD from MCI as the outcome variable, which helps in preventing AD development.

METHODS

A cross-sectional study of 161 participants was conducted in a general healthcare setting, including 30 controls, 71 mild AD, and 60 MCI. Binary logistic regression was used to identify predictors of interest, with collinearity assessment conducted prior to model development. Model performance was assessed through calibration, shrinkage, and decision-curve analyses. Finally, the combined clinical and radiological model was compared to models utilizing only clinical or radiological predictors.

RESULTS

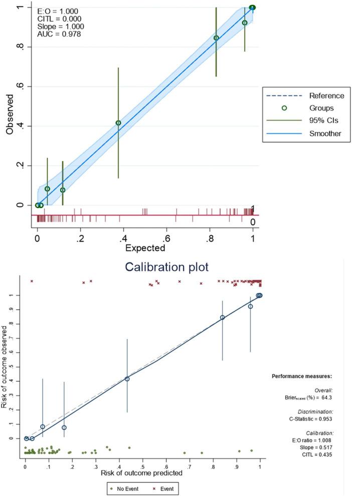
The final model included age, sex, education status, Montreal cognitive assessment, Global Cerebral Atrophy Index, Medial Temporal Atrophy Scale, mean hippocampal volume, and Posterior Parietal Atrophy Index, with the area under the curve of 0.978 (0.934-0.996). Internal validation methods did not show substantial reduction in diagnostic performance. Combined model showed higher diagnostic performance compared to clinical and radiological models alone. Decision curve analysis highlighted the usefulness of this model for differentiation across all probability levels.

CONCLUSION

A combined clinical-radiological model has excellent diagnostic performance in differentiating mild AD from MCI. Notably, the model leveraged straightforward neuroimaging markers, which are relatively simple to measure and interpret, suggesting that they could be integrated into practical, formula-driven diagnostic workflows without requiring computationally intensive deep learning models.

摘要

背景

在神经科诊所中最常见的两种病症是阿尔茨海默病(AD)和轻度认知障碍(MCI),它们具有相似的症状。本研究的目的是开发并在内部验证综合神经学和放射学预测指标在区分轻度AD与MCI方面的诊断价值,以作为结局变量,这有助于预防AD的发展。

方法

在普通医疗环境中对161名参与者进行了横断面研究,包括30名对照者、71名轻度AD患者和60名MCI患者。使用二元逻辑回归来识别感兴趣的预测指标,并在模型开发之前进行共线性评估。通过校准、收缩和决策曲线分析来评估模型性能。最后,将综合临床和放射学模型与仅使用临床或放射学预测指标的模型进行比较。

结果

最终模型包括年龄、性别、教育状况、蒙特利尔认知评估、全脑萎缩指数、内侧颞叶萎缩量表、海马平均体积和顶叶后萎缩指数,曲线下面积为0.978(0.934 - 0.996)。内部验证方法未显示诊断性能有实质性降低。与单独的临床和放射学模型相比,综合模型显示出更高的诊断性能。决策曲线分析突出了该模型在所有概率水平上进行区分的有用性。

结论

综合临床 - 放射学模型在区分轻度AD与MCI方面具有出色的诊断性能。值得注意的是,该模型利用了直接的神经影像学标志物,这些标志物相对易于测量和解释,这表明它们可以整合到实用的、公式驱动的诊断工作流程中,而无需计算密集型的深度学习模型。

https://cdn.ncbi.nlm.nih.gov/pmc/blobs/e66a/12199059/798ed7835996/PCN5-4-e70134-g003.jpg

文献检索

告别复杂PubMed语法,用中文像聊天一样搜索,搜遍4000万医学文献。AI智能推荐,让科研检索更轻松。

立即免费搜索

文件翻译

保留排版,准确专业,支持PDF/Word/PPT等文件格式,支持 12+语言互译。

免费翻译文档

深度研究

AI帮你快速写综述,25分钟生成高质量综述,智能提取关键信息,辅助科研写作。

立即免费体验