Suppr超能文献

通过生物信息学分析丝裂原活化蛋白激酶激酶在肝细胞癌中的预后价值

The prognostic value of mitogen-activated protein kinase kinase in liver hepatocellular carcinoma by bioinformatics.

作者信息

Dong Shen, Jing Shen, Qinshun Jiao, Huaning Wang, Rong Zhu

机构信息

Splenic-Gastric Disease Department, The First Affiliated Hospital of Yunnan University of Traditional Chinese Medicine (Yunnan Provincial Hospital of Traditional Chinese Medicine), Wuhua District, Kunming City, Yunnan Province, China.

Yunnan University of Chinese Medicine, Chenggong District, Kunming City, Yunnan Province, China.

出版信息

Medicine (Baltimore). 2025 Jun 27;104(26):e42933. doi: 10.1097/MD.0000000000042933.

Abstract

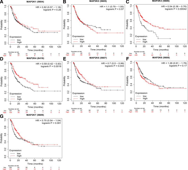
Liver hepatocellular carcinoma (LIHC) is a common cancer worldwide. Mitogen-activated protein kinase kinase (MAP2Ks) are related to the occurrence and development of a variety of tumors. However, the expression pattern, role, and prognostic value of the 7 MAP2K family members in LIHC have not yet been elucidated. We used the Oncomine, UALCAN, Human Protein Atlas, GeneMANIA, Gene Ontology, Kyoto Encyclopedia of Genes and Genomes, TIMER, and Kaplan-Meier Plotter databases. On August 7, 2021, we searched these databases for the terms MAP2K1, MAP2K2, MAP2K3, MAP2K4, MAP2K5, MAP2K6, MAP2K7, and "liver cancer." The exposure group comprised LIHC patients, and the control group comprised normal patients (those with noncancerous liver tissue). All patients shown in the retrieval language search were included. We compared the mRNA expression of these proteins in LIHC and control patients to examine the potential role of MAP2K1 to 7 in LIHC. Relative to the normal liver tissue, mRNA expression of MAP2K1/3 was significantly downregulated (P < .001), MAP2K4 was downregulated (P < .05), and that of MAP2K2/5/6/7 significantly upregulated (P < .001), in LIHC. MAP2K mRNA expression varied with gender (P < .0001), cancer stage (P < .05), tumor grade (P < .05), and with node metastasis status (P < .05), except for MAP2K4. Based on Kyoto Encyclopedia of Genes and Genomes enrichment analysis, these genes were associated with the following pathways: MAPK signaling pathway, GnRH signaling pathway, Fc epsilon RI signaling pathway (P < .05). The MAP2Ks were significantly associated with purity (P < .05), except for MAP2K1/2, with B cell (P < .05), except for MAP2K3, and that all significantly associated withCD8+ T cell, CD4+ T cell, macrophage, neutrophil, and dendritic cell infiltration (P < .05). High mRNA expression of MAP2K1/3/4/5 (P < .05) and low expression of MAP2K6 (P < .05) indicated overall survival, the high expression of MAP2K3/4/5 were related to relapse free survival and progression free survival; the high expression of MAP2K3/5/7 were related to disease free survival. We identified MAP2K1 to 7 as potential diagnostic markers, and MAP2K2 to 7 as prognostic markers, of LIHC. Our future work will promote the use of MAP2Ks in the diagnosis and treatment of LIHC.

摘要

肝细胞癌(LIHC)是全球常见的癌症。丝裂原活化蛋白激酶激酶(MAP2Ks)与多种肿瘤的发生发展相关。然而,7个MAP2K家族成员在LIHC中的表达模式、作用及预后价值尚未阐明。我们使用了Oncomine、UALCAN、人类蛋白质图谱、GeneMANIA、基因本体论、京都基因与基因组百科全书、TIMER和Kaplan-Meier Plotter数据库。2021年8月7日,我们在这些数据库中搜索了MAP2K1、MAP2K2、MAP2K3、MAP2K4、MAP2K5、MAP2K6、MAP2K7以及“肝癌”等术语。暴露组为LIHC患者,对照组为正常患者(非癌性肝组织患者)。检索语言搜索中显示的所有患者均被纳入。我们比较了这些蛋白在LIHC患者和对照患者中的mRNA表达,以研究MAP2K1至7在LIHC中的潜在作用。与正常肝组织相比,LIHC中MAP2K1/3的mRNA表达显著下调(P < 0.001),MAP2K4下调(P < 0.05),而MAP2K2/5/6/7显著上调(P < 0.001)。除MAP2K4外,MAP2K mRNA表达随性别(P < 0.0001)、癌症分期(P < 0.05)、肿瘤分级(P < 0.05)和淋巴结转移状态(P < 0.05)而变化。基于京都基因与基因组百科全书富集分析,这些基因与以下途径相关:MAPK信号通路、GnRH信号通路、FcεRI信号通路(P < 0.05)。除MAP2K1/2外,MAP2Ks与肿瘤纯度显著相关(P < 0.05);除MAP2K3外,与B细胞显著相关(P < 0.05),且均与CD8 + T细胞、CD4 + T细胞、巨噬细胞、中性粒细胞和树突状细胞浸润显著相关(P < 0.05)。MAP2K1/3/4/5的高mRNA表达(P < 0.05)和MAP2K6的低表达(P < 0.05)提示总生存期,MAP2K3/4/5的高表达与无复发生存期和无进展生存期相关;MAP2K3/5/7的高表达与无病生存期相关。我们确定MAP2K1至7为LIHC的潜在诊断标志物,MAP2K2至7为预后标志物。我们未来的工作将推动MAP2Ks在LIHC诊断和治疗中的应用。

https://cdn.ncbi.nlm.nih.gov/pmc/blobs/b64d/12212793/197453482ca4/medi-104-e42933-g001.jpg

文献AI研究员

20分钟写一篇综述,助力文献阅读效率提升50倍。

立即体验

用中文搜PubMed

大模型驱动的PubMed中文搜索引擎

马上搜索

文档翻译

学术文献翻译模型,支持多种主流文档格式。

立即体验