Suppr超能文献

非C对称手性配体决定烯丙基-烯丙基偶联反应。

Non-C symmetric chiral ligand dictating allyl-allyl coupling.

作者信息

Xu Zhengshuai, Qian Hui, Ma Shengming

机构信息

Research Center for Molecular Recognition and Synthesis, Department of Chemistry, Fudan University, 220 Handan Lu, Shanghai, 200433, P. R. China.

State Key Laboratory of Organometallic Chemistry, Shanghai Institute of Organic Chemistry, Chinese Academy of Sciences, 345 Lingling Lu, Shanghai, 200032, P. R. China.

出版信息

Nat Commun. 2025 Jul 1;16(1):5936. doi: 10.1038/s41467-025-59902-z.

Abstract

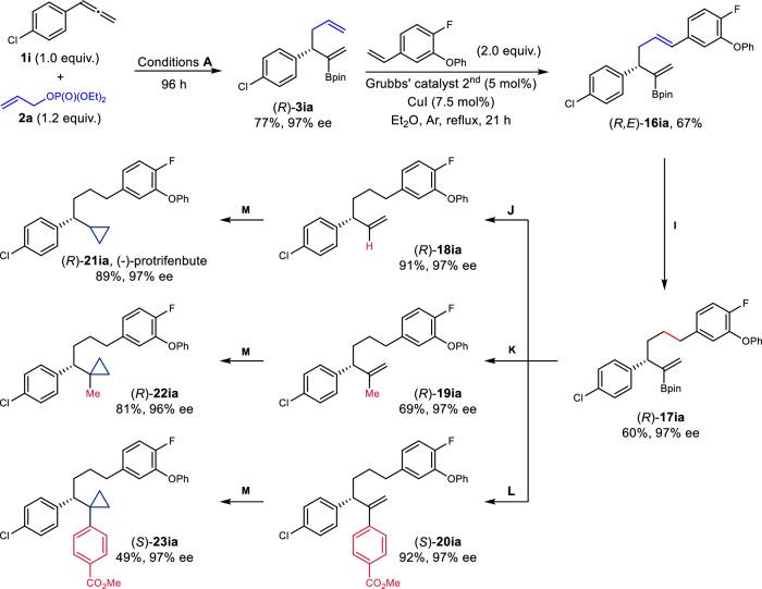
Enantioselective synthesis of chiral compounds is of high interest due to their importance in organic chemistry, medicinal chemistry, life science, and materials science. Catalytic construction of chiral centers via the enantioselective carbon-carbon coupling is one of the most efficient approaches. Chiral 1,5-alkadienes are prevalent in natural and bioactive compounds. Thus, allyl-allyl coupling towards to the synthesis of chiral 1,5-alkadienes is of high interest. However, in addition to the issue of enantioselectivity, the extra challenge is the issue of regio-selectivity referring to the branched and linear products caused by the steric and electronic effect of 1,3-terminals. Herein, such challenge is addressed by a synergistic copper/palladium catalysis strategy: A three-component allylboration reaction of allenes with bis(pinacolato)diboron and allylic phosphates is developed to afford a series of optically active 1,5-alkadienes with either tertiary or quaternary carbon stereocenters. Their synthetic potentials are demonstrated, including the synthesis of (-)-protrifenbute and its derivatives.

摘要

由于手性化合物在有机化学、药物化学、生命科学和材料科学中的重要性,其对映选择性合成备受关注。通过对映选择性碳-碳偶联催化构建手性中心是最有效的方法之一。手性1,5-链二烯在天然和生物活性化合物中普遍存在。因此,烯丙基-烯丙基偶联用于合成手性1,5-链二烯备受关注。然而,除了对映选择性问题外,额外的挑战是区域选择性问题,即由1,3-末端的空间和电子效应导致的支链和线性产物问题。在此,通过协同铜/钯催化策略解决了这一挑战:开发了一种丙二烯与双(频哪醇)二硼和烯丙基磷酸酯的三组分烯丙基硼化反应,以提供一系列具有叔碳或季碳立体中心的光学活性1,5-链二烯。展示了它们的合成潜力,包括(-)-丙硫菌唑及其衍生物的合成。

https://cdn.ncbi.nlm.nih.gov/pmc/blobs/a004/12214771/25c4518fd7b5/41467_2025_59902_Fig1_HTML.jpg

文献检索

告别复杂PubMed语法,用中文像聊天一样搜索,搜遍4000万医学文献。AI智能推荐,让科研检索更轻松。

立即免费搜索

文件翻译

保留排版,准确专业,支持PDF/Word/PPT等文件格式,支持 12+语言互译。

免费翻译文档

深度研究

AI帮你快速写综述,25分钟生成高质量综述,智能提取关键信息,辅助科研写作。

立即免费体验