Suppr超能文献

用于混凝土实心板建筑成本估算的混合元启发式优化Catboost模型

Hybrid metaheuristic optimized Catboost models for construction cost estimation of concrete solid slabs.

作者信息

Elmasry Nanes Hassanin, Elshaarawy Mohamed Kamel

机构信息

Civil Engineering Department, Faculty of Engineering, Tanta University, Tanta, 31733, Egypt.

Civil Engineering Department, Faculty of Engineering, Horus University-Egypt, New Damietta, 34517, Egypt.

出版信息

Sci Rep. 2025 Jul 1;15(1):21612. doi: 10.1038/s41598-025-06380-4.

Abstract

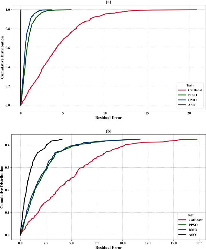
Accurate construction cost prediction is essential for effective project planning and resource allocation, particularly in the competitive construction industry. This study introduces an advanced approach to predicting the costs of concrete solid slabs by combining the Categorical Boosting (CatBoost) model with three hybrid metaheuristic optimization models: Phasor Particle Swarm Optimization (PPSO-CatBoost), Dwarf Mongoose Optimization (DMO-CatBoost), and Atom Search Optimization (ASO-CatBoost). These hybrid models were designed to optimize critical hyperparameters, including depth, learning rate, and iterations, and were benchmarked against a standalone CatBoost model using various performance metrics, such as residual error cumulative distribution (REC) curves, scatter plots, violin plots, and quantitative measures. The results reveal that the hybrid models consistently outperform the standalone CatBoost model, with ASO-CatBoost achieving the best overall performance with determination coefficient (R) of 0.981 and root-mean-squared-error (RMSE) of 1.222 $/m. The ASO-CatBoost exhibited superior accuracy and generalization, characterized by minimal residual errors and close alignment with actual cost values during both training and testing phases. SHapley Additive exPlanations (SHAP) analysis identified the Tributary Area ($/m) as the most influential variable, followed by Concrete ($/m), underscoring the importance of these inputs in cost prediction. Additionally, a Python-based graphical user interface (GUI) was developed, enabling practical and user-friendly cost estimation in real-world applications.

摘要

准确的建筑成本预测对于有效的项目规划和资源分配至关重要,尤其是在竞争激烈的建筑行业。本研究引入了一种先进的方法,通过将分类提升(CatBoost)模型与三种混合元启发式优化模型相结合来预测混凝土实心板的成本:相量粒子群优化(PPSO-CatBoost)、矮猫鼬优化(DMO-CatBoost)和原子搜索优化(ASO-CatBoost)。这些混合模型旨在优化关键超参数,包括深度、学习率和迭代次数,并使用各种性能指标(如残差误差累积分布(REC)曲线、散点图、小提琴图和定量度量)与独立的CatBoost模型进行基准测试。结果表明,混合模型始终优于独立的CatBoost模型,ASO-CatBoost的整体性能最佳,决定系数(R)为0.981,均方根误差(RMSE)为1.222美元/平方米。ASO-CatBoost在训练和测试阶段均表现出卓越的准确性和泛化能力,其特点是残差误差最小,且与实际成本值紧密对齐。SHapley加性解释(SHAP)分析确定汇水面积(美元/平方米)是最具影响力的变量,其次是混凝土(美元/平方米),这突出了这些输入在成本预测中的重要性。此外,还开发了一个基于Python的图形用户界面(GUI),以便在实际应用中进行实用且用户友好的成本估算。

https://cdn.ncbi.nlm.nih.gov/pmc/blobs/f4e9/12215946/025aeb1ce628/41598_2025_6380_Fig1_HTML.jpg

文献AI研究员

20分钟写一篇综述,助力文献阅读效率提升50倍。

立即体验

用中文搜PubMed

大模型驱动的PubMed中文搜索引擎

马上搜索

文档翻译

学术文献翻译模型,支持多种主流文档格式。

立即体验