Suppr超能文献

利皮扎马特定任务的形态学和运动学差异。

Task-specific morphological and kinematic differences in Lipizzan horses.

作者信息

Zupan Šemrov Manja, Přibylová Lucie, Gobbo Elena

机构信息

Department of Animal Science, Biotechnical Faculty, University of Ljubljana, Domžale, Slovenia.

Department of Ethology and Companion Animal Science, Faculty of Agrobiology, Food, and Natural Resources, Czech University of Life Sciences Prague, Prague, Czechia.

出版信息

Front Vet Sci. 2025 Jun 17;12:1569067. doi: 10.3389/fvets.2025.1569067. eCollection 2025.

Abstract

INTRODUCTION

Equine locomotion emerges from a dynamic interplay between morphology, biomechanics, and functional demands. This study examines the relationship between morphological measurements and gait kinematics in Lipizzan horses, a breed renowned for its diverse work tasks and standardized environmental conditions. These horses offer a unique opportunity to explore task-specific adaptations in biomechanics, with significant implications for breeding strategies and welfare practices.

MATERIALS AND METHODS

The study involved 71 healthy Lipizzan horses that were housed at the Lipica stud farm and performed various work tasks. Morphological measurements were taken with the help of a sartorial meter and an equine measuring stick to determine head and body measurements. Both the left and right sides of the body were measured to ensure consistency. Kinematic data, including regularity, symmetry, cadence, dorsoventral power, propulsion power, stride length and speed, were recorded using the Equimetrix accelerometer at a sampling rate of 100 Hz. The data was collected during several walks and trots where the horses were led over a 50-meter track.

RESULTS

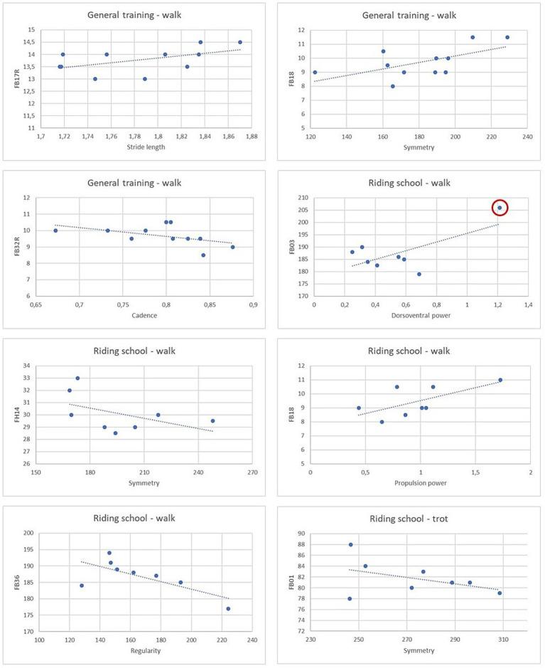
Task-based analysis revealed strong links between morphology and gait in four working groups, with distal limb measurements, especially hoof and pastern lengths, most consistently associated with stride and rhythm parameters. No significant associations were found at the whole-cohort level. Several morphological measurements showed contrasting effects across working groups, and half of the bilaterally measured traits revealed side-specific correlations. The clearest patterns emerged in horses used for general training and riding school. In horses in general training, strong associations were found between distal limb measurements and stride length or cadence, particularly during walk. In riding school horses, broader body measurements were linked to kinematic parameters including propulsion power, dorsoventral power, and symmetry.

DISCUSSION

This study highlights the dynamic interplay between conformation and functional demands in clinically sound horses. Rather than exerting fixed effects, morphological measurements interacted with work type to shape gait expression, even in the absence of pathology. These findings underscore the need to consider both structure and task when evaluating locomotion. Integrating morphometric assessment into training and selection strategies may support performance, soundness, and welfare in healthy working horses.

摘要

引言

马的运动源于形态学、生物力学和功能需求之间的动态相互作用。本研究探讨了利皮扎马的形态测量与步态运动学之间的关系,该品种以其多样的工作任务和标准化的环境条件而闻名。这些马提供了一个独特的机会来探索生物力学中特定任务的适应性,对育种策略和福利实践具有重要意义。

材料与方法

该研究涉及71匹健康的利皮扎马,它们饲养在利皮卡种马场并执行各种工作任务。借助裁缝用米尺和马用测量棒进行形态测量,以确定头部和身体尺寸。对身体的左右两侧都进行了测量以确保一致性。使用Equimetrix加速度计以100赫兹的采样率记录运动学数据,包括规律性、对称性、步频、背腹功率、推进功率、步长和速度。数据是在几次步行和小跑过程中收集的,在此期间马被牵着走过一条50米的跑道。

结果

基于任务的分析揭示了四个工作小组中形态与步态之间的紧密联系,远端肢体测量,尤其是蹄和系部长度,与步幅和节奏参数最一致地相关。在整个队列水平上未发现显著关联。几个形态测量在不同工作小组中显示出对比效应,并且双边测量的性状中有一半显示出特定于一侧的相关性。最明显的模式出现在用于一般训练和骑术学校的马匹中。在一般训练的马匹中,发现远端肢体测量与步长或步频之间存在很强的关联,特别是在步行期间。在骑术学校的马匹中,更宽的身体测量与包括推进功率、背腹功率和对称性在内的运动学参数相关。

讨论

本研究强调了临床健康马匹中形态与功能需求之间的动态相互作用。形态测量并非发挥固定作用,而是与工作类型相互作用以塑造步态表现,即使在没有病理学的情况下也是如此。这些发现强调了在评估运动时需要同时考虑结构和任务。将形态测量评估纳入训练和选择策略可能有助于健康工作马匹的性能、健全性和福利。

https://cdn.ncbi.nlm.nih.gov/pmc/blobs/a5a6/12208837/66a1b3a5f75e/fvets-12-1569067-g001.jpg

文献检索

告别复杂PubMed语法,用中文像聊天一样搜索,搜遍4000万医学文献。AI智能推荐,让科研检索更轻松。

立即免费搜索

文件翻译

保留排版,准确专业,支持PDF/Word/PPT等文件格式,支持 12+语言互译。

免费翻译文档

深度研究

AI帮你快速写综述,25分钟生成高质量综述,智能提取关键信息,辅助科研写作。

立即免费体验