Suppr超能文献

具有数学性质和计数数据建模的离散泊松-哈克分布

Discrete Poisson Haq distribution with mathematical properties and count data modeling.

作者信息

Alomair Abdullah M, Ayyaz Faisal, Tariq Saadia, Ahsan-Ul-Haq Muhammad

机构信息

Department of Quantitative Methods, School of Business, King Faisal University, Al-Ahsa, 31982, Saudi Arabia.

School of Statistics, Minhaj University Lahore, Lahore, Pakistan.

出版信息

Sci Rep. 2025 Jul 2;15(1):23281. doi: 10.1038/s41598-025-07223-y.

Abstract

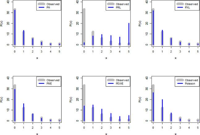
A new one-parameter discrete distribution, namely the Poisson Haq (PH) distribution, is proposed by a mixture of the Poisson variable and an independently distributed Haq random variable. This model effectively analyzes over-dispersed count datasets by extending Poisson distribution. Various useful statistical properties of the PH distribution are derived and discussed. The failure rate of the proposed distribution is "increasing" and "upside bathtub" shaped. The model parameter estimation is performed using renowned estimation approaches, method of moments, and method of maximum likelihood estimation. A parametric regression model tailored for count datasets is also developed using the proposed distribution. A simulation study is conducted to demonstrate the performance and behavior of the proposed estimators. The present study validates that the new count model adequately explains the medical datasets, which are the number of infected patients with the Nipah virus, the number of mammalian cytogenetic dosimetry lesions, and the Length of Hospital Stay. Additionally, we also estimate the model parameter using the Bayesian approach with gamma prior. Compared to widely used alternatives such as the Poisson (AIC = 145.16, BIC = 147.19), Poisson moment exponential (AIC = 137.53, BIC = 139.56), Poisson-XLindley (AIC = 135.86, BIC = 137.88) distributions and others, our model demonstrates improved fitting accuracy, as evidenced by lower AIC (135.78) and BIC (137.81) values for first data and similarly for second data applications. Finally, to validate the fit of the PH regression model, it is applied to the Length of Hospital Stay dataset.

摘要

通过泊松变量与独立分布的哈克(Haq)随机变量的混合,提出了一种新的单参数离散分布,即泊松 - 哈克(PH)分布。该模型通过扩展泊松分布有效地分析了过度分散的计数数据集。推导并讨论了PH分布的各种有用统计特性。所提出分布的失效率呈“递增”且“上凹浴缸”形状。使用著名的估计方法,即矩估计法和最大似然估计法进行模型参数估计。还使用所提出的分布开发了一种针对计数数据集量身定制的参数回归模型。进行了一项模拟研究以展示所提出估计量的性能和行为。本研究验证了新的计数模型能够充分解释医学数据集,这些数据集包括尼帕病毒感染患者的数量、哺乳动物细胞遗传学剂量测定损伤的数量以及住院时间长度。此外,我们还使用具有伽马先验的贝叶斯方法估计模型参数。与广泛使用的替代方法相比,如泊松分布(AIC = 145.16,BIC = 147.19)、泊松矩指数分布(AIC = 137.53,BIC = 139.56)、泊松 - XLindley分布(AIC = 135.86,BIC = 137.88)等,我们的模型展示出了更高的拟合精度,第一个数据应用的AIC(135.78)和BIC(137.81)值较低,第二个数据应用情况类似,这证明了这一点。最后,为了验证PH回归模型的拟合效果,将其应用于住院时间长度数据集。

https://cdn.ncbi.nlm.nih.gov/pmc/blobs/d596/12222734/9bcbaf7e9e01/41598_2025_7223_Fig1_HTML.jpg

文献检索

告别复杂PubMed语法,用中文像聊天一样搜索,搜遍4000万医学文献。AI智能推荐,让科研检索更轻松。

立即免费搜索

文件翻译

保留排版,准确专业,支持PDF/Word/PPT等文件格式,支持 12+语言互译。

免费翻译文档

深度研究

AI帮你快速写综述,25分钟生成高质量综述,智能提取关键信息,辅助科研写作。

立即免费体验