• 文献检索
  • 文档翻译
  • 深度研究
  • 学术资讯
  • Suppr Zotero 插件Zotero 插件
  • 邀请有礼
  • 套餐&价格
  • 历史记录
应用&插件
Suppr Zotero 插件Zotero 插件浏览器插件Mac 客户端Windows 客户端微信小程序
定价
高级版会员购买积分包购买API积分包
服务
文献检索文档翻译深度研究API 文档MCP 服务
关于我们
关于 Suppr公司介绍联系我们用户协议隐私条款
关注我们

Suppr 超能文献

核心技术专利:CN118964589B侵权必究
粤ICP备2023148730 号-1Suppr @ 2026

文献检索

告别复杂PubMed语法,用中文像聊天一样搜索,搜遍4000万医学文献。AI智能推荐,让科研检索更轻松。

立即免费搜索

文件翻译

保留排版,准确专业,支持PDF/Word/PPT等文件格式,支持 12+语言互译。

免费翻译文档

深度研究

AI帮你快速写综述,25分钟生成高质量综述,智能提取关键信息,辅助科研写作。

立即免费体验

黑质纹状体多巴胺能神经传递与老年人在过渡到不平整表面时对步态减慢的外周系统性风险因素的恢复力。

Nigrostriatal dopaminergic neurotransmission and resilience to peripheral systemic risk factors for gait slowing upon transition to uneven surfaces in older adult.

作者信息

Chahine Lana M, Rosso Andrea, Troidl Ian, Ganguli Mary, Newman Anne, Cummings Steven, Studenski Stephanie, Lopresti Brian, Royse Sarah, Huppert Theodore, Redfern Mark, Sparto Patrick J, Bohnen Nico I, Rosano Caterina

机构信息

Department of Neurology, School of Medicine, University of Pittsburgh, Pittsburgh, PA, USA.

Department of Epidemiology, Graduate School of Public Health, University of Pittsburgh, Pittsburgh, PA, USA.

出版信息

Aging Brain. 2025 Jun 20;8:100143. doi: 10.1016/j.nbas.2025.100143. eCollection 2025.

DOI:10.1016/j.nbas.2025.100143
PMID:40606490
原文链接:https://pmc.ncbi.nlm.nih.gov/articles/PMC12221426/
Abstract

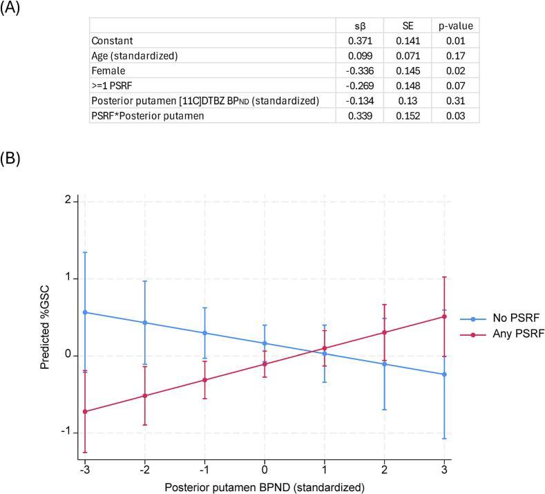
Identifying mechanisms that compensate for slow gait speed in older adults is crucial. Dopaminergic neurotransmission curbs deleterious associations of cerebrovascular disease with gait, but whether it compensates for peripheral systemic risk factors (PSRF) for gait slowing has not been studied. In this cross-sectional study of community-dwelling older adults, we examined the relationship between nigrostriatal dopaminergic terminal integrity and gait speed in individuals with and without ≥ 1 PSRF for gait slowing: obesity, joint pain, or reduced muscle strength. The primary outcome was gait speed cost (%GSC) on transition from even to uneven surface. Participants underwent dopaminergic imaging with dihydrotetrabenazine [C]DTBZ positron emission tomography. Among 197 individuals, (mean (SD) age 74.92 (4.53) years; 61.93 % female; 90.86 % White), 130 (65.99 %) had ≥ 1 PSRF. Relationship between posterior putamen [C]DTBZ binding and %GSC was modified by PSRF; in those with ≥ 1 PSRF (but not in those with no PSRF), posterior putamen [C]DTBZ binding was associated with %GSC (β = 0.198, p = 0.03) independent of potential confounders. This cross-sectional study indicates that higher striatal dopaminergic neurotransmission may compensate for the effects of PSRF on gait slowing.

摘要

确定能够补偿老年人步态速度减慢的机制至关重要。多巴胺能神经传递抑制了脑血管疾病与步态之间的有害关联,但它是否能补偿步态减慢的外周全身风险因素(PSRF)尚未得到研究。在这项针对社区居住老年人的横断面研究中,我们研究了黑质纹状体多巴胺能终末完整性与存在和不存在≥1种步态减慢PSRF(肥胖、关节疼痛或肌肉力量减弱)的个体的步态速度之间的关系。主要结局是从平坦表面过渡到不平坦表面时的步态速度成本(%GSC)。参与者接受了用二氢四苯嗪[C]DTBZ正电子发射断层扫描进行的多巴胺能成像。在197名个体中(平均(标准差)年龄74.92(4.53)岁;61.93%为女性;90.86%为白人),130名(65.99%)有≥1种PSRF。壳核后部[C]DTBZ结合与%GSC之间的关系因PSRF而改变;在有≥1种PSRF的个体中(但在没有PSRF的个体中并非如此),壳核后部[C]DTBZ结合与%GSC相关(β = 0.198,p = 0.03),独立于潜在混杂因素。这项横断面研究表明,较高的纹状体多巴胺能神经传递可能补偿PSRF对步态减慢的影响。

https://cdn.ncbi.nlm.nih.gov/pmc/blobs/a488/12221426/7e07f6086e55/gr2.jpg
https://cdn.ncbi.nlm.nih.gov/pmc/blobs/a488/12221426/95e0a6d2226c/gr1.jpg
https://cdn.ncbi.nlm.nih.gov/pmc/blobs/a488/12221426/7e07f6086e55/gr2.jpg
https://cdn.ncbi.nlm.nih.gov/pmc/blobs/a488/12221426/95e0a6d2226c/gr1.jpg
https://cdn.ncbi.nlm.nih.gov/pmc/blobs/a488/12221426/7e07f6086e55/gr2.jpg

相似文献

1
Nigrostriatal dopaminergic neurotransmission and resilience to peripheral systemic risk factors for gait slowing upon transition to uneven surfaces in older adult.黑质纹状体多巴胺能神经传递与老年人在过渡到不平整表面时对步态减慢的外周系统性风险因素的恢复力。
Aging Brain. 2025 Jun 20;8:100143. doi: 10.1016/j.nbas.2025.100143. eCollection 2025.
2
Falls prevention interventions for community-dwelling older adults: systematic review and meta-analysis of benefits, harms, and patient values and preferences.社区居住的老年人跌倒预防干预措施:系统评价和荟萃分析的益处、危害以及患者的价值观和偏好。
Syst Rev. 2024 Nov 26;13(1):289. doi: 10.1186/s13643-024-02681-3.
3
Virtual reality for stroke rehabilitation.用于中风康复的虚拟现实技术。
Cochrane Database Syst Rev. 2025 Jun 20;6:CD008349. doi: 10.1002/14651858.CD008349.pub5.
4
Sertindole for schizophrenia.用于治疗精神分裂症的舍吲哚。
Cochrane Database Syst Rev. 2005 Jul 20;2005(3):CD001715. doi: 10.1002/14651858.CD001715.pub2.
5
Cost-effectiveness of using prognostic information to select women with breast cancer for adjuvant systemic therapy.利用预后信息为乳腺癌患者选择辅助性全身治疗的成本效益
Health Technol Assess. 2006 Sep;10(34):iii-iv, ix-xi, 1-204. doi: 10.3310/hta10340.
6
Exercise interventions for cerebral palsy.脑瘫的运动干预
Cochrane Database Syst Rev. 2017 Jun 11;6(6):CD011660. doi: 10.1002/14651858.CD011660.pub2.
7
Risk of thromboembolism in patients with COVID-19 who are using hormonal contraception.COVID-19 患者使用激素避孕的血栓栓塞风险。
Cochrane Database Syst Rev. 2023 Jan 9;1(1):CD014908. doi: 10.1002/14651858.CD014908.pub2.
8
Signs and symptoms to determine if a patient presenting in primary care or hospital outpatient settings has COVID-19.在基层医疗机构或医院门诊环境中,如果患者出现以下症状和体征,可判断其是否患有 COVID-19。
Cochrane Database Syst Rev. 2022 May 20;5(5):CD013665. doi: 10.1002/14651858.CD013665.pub3.
9
The effectiveness and cost-effectiveness of carmustine implants and temozolomide for the treatment of newly diagnosed high-grade glioma: a systematic review and economic evaluation.卡莫司汀植入剂与替莫唑胺治疗新诊断的高级别胶质瘤的有效性和成本效益:一项系统评价与经济学评估
Health Technol Assess. 2007 Nov;11(45):iii-iv, ix-221. doi: 10.3310/hta11450.
10
Cognitive behavioural therapy (CBT) with and without exercise to reduce fear of falling in older people living in the community.认知行为疗法(CBT)结合或不结合运动以减少社区居住老年人的跌倒恐惧。
Cochrane Database Syst Rev. 2023 Nov 15;11(11):CD014666. doi: 10.1002/14651858.CD014666.pub2.

本文引用的文献

1
Neural mechanisms underlying the after-effects of repetitive paired-pulse TMS with Β tACS on the human primary motor cortex.重复配对脉冲经颅磁刺激联合β经颅交流电刺激作用于人类初级运动皮层后的效应所涉及的神经机制。
Sci Rep. 2025 Mar 1;15(1):7286. doi: 10.1038/s41598-025-92444-4.
2
Age and beta amyloid deposition impact gait speed, stride length, and gait smoothness while transitioning from an even to an uneven walking surface in older adults.在老年人从平坦路面过渡到不平坦路面行走时,年龄和β淀粉样蛋白沉积会影响步速、步长和步态平稳性。
Hum Mov Sci. 2024 Feb;93:103175. doi: 10.1016/j.humov.2023.103175. Epub 2024 Jan 9.
3
Surface, but Not Age, Impacts Lower Limb Joint Work during Walking and Stair Ascent.
行走和上楼梯时,地面状况而非年龄影响下肢关节的负荷。
J Funct Morphol Kinesiol. 2023 Oct 13;8(4):145. doi: 10.3390/jfmk8040145.
4
Gait and falls in cerebral small vessel disease: a systematic review and meta-analysis.脑小血管病的步态和跌倒:系统评价和荟萃分析。
Age Ageing. 2023 Mar 1;52(3). doi: 10.1093/ageing/afad011.
5
The Study of Muscle, Mobility and Aging (SOMMA): A Unique Cohort Study About the Cellular Biology of Aging and Age-related Loss of Mobility.肌肉、活动能力与衰老研究(SOMMA):一项关于衰老的细胞生物学和与年龄相关的活动能力丧失的独特队列研究。
J Gerontol A Biol Sci Med Sci. 2023 Oct 28;78(11):2083-2093. doi: 10.1093/gerona/glad052.
6
Robust demographically-adjusted normative data for the Montreal Cognitive Assessment (MoCA): Results from the systolic blood pressure intervention trial.蒙特利尔认知评估量表(MoCA)的稳健人口统计学调整规范数据:来自收缩压干预试验的结果。
Clin Neuropsychol. 2022 Nov;36(8):2237-2259. doi: 10.1080/13854046.2021.1967450. Epub 2021 Sep 1.
7
Striatal Acetylcholine-Dopamine Imbalance in Parkinson Disease: In Vivo Neuroimaging Study with Dual-Tracer PET and Dopaminergic PET-Informed Correlational Tractography.帕金森病纹状体乙酰胆碱-多巴胺失衡:使用双重示踪 PET 和多巴胺能 PET 知情关联纤维束成像的体内神经影像学研究。
J Nucl Med. 2022 Mar;63(3):438-445. doi: 10.2967/jnumed.121.261939. Epub 2021 Jul 16.
8
Catechol-O-methyltransferase (COMT) polymorphism predicts rapid gait speed changes in healthy older adults.儿茶酚-O-甲基转移酶(COMT)多态性可预测健康老年人步速的快速变化。
J Am Geriatr Soc. 2021 Nov;69(11):3194-3202. doi: 10.1111/jgs.17351. Epub 2021 Jul 6.
9
Clinicopathological Correlation: Dopamine and Amyloid PET Imaging with Neuropathology in Three Subjects Clinically Diagnosed with Alzheimer's Disease or Dementia with Lewy Bodies.临床病理相关性:通过神经病理学对 3 名临床诊断为阿尔茨海默病或路易体痴呆症的患者进行多巴胺和淀粉样蛋白 PET 成像。
J Alzheimers Dis. 2021;80(4):1603-1612. doi: 10.3233/JAD-200323.
10
Potentially modifiable risk factors for slow gait in community-dwelling older adults: A systematic review.社区居住的老年人中步态缓慢的潜在可改变风险因素:系统评价。
Ageing Res Rev. 2021 Mar;66:101253. doi: 10.1016/j.arr.2020.101253. Epub 2021 Jan 8.