Suppr超能文献

身体活动在美国患有糖尿病和糖尿病前期的老年人预防认知衰退中的作用:一项横断面研究。

The role of physical activity in preventing cognitive decline among U.S. older adults with diabetes and prediabetes: a cross-sectional study.

作者信息

Wang Yifei, Liu Dezheng, Wang Hongli, Wang Mengzhao, Ruan Weiqi, Han Yanbai, Han Yiming

机构信息

College of Physical Education and Health, Guangxi Normal University, Guilin, China.

Faculty of Education and Liberal Studies, City University, Petaling Jaya, Malaysia.

出版信息

Front Public Health. 2025 Jun 24;13:1603627. doi: 10.3389/fpubh.2025.1603627. eCollection 2025.

Abstract

BACKGROUND

Physical activity (PA) has been widely recognized as a key strategy to slow age-related cognitive decline. However, its specific effects on older adults with diabetes or prediabetes remain poorly understood. Therefore, we investigated the association between different levels of PA and cognitive function among older Americans with diabetes and prediabetes.

METHODS

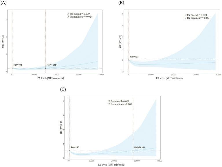
This cross-sectional study used data from the 2011-2014 National Health and Nutrition Examination Survey (NHANES) and included a total of 1,299 older adults aged ≥60 years. The PA levels were determined by calculating the weekly metabolic equivalent of task time (MET-min/week). The participants' cognitive abilities were assessed using the Consortium to Establish a Registry for Alzheimer's disease (CERAD) Word Learning Test, Animal Fluency Test (AFT), and Digit Symbol Substitution Test (DSST). Multivariable logistic regression models were used to analyze the association between different PA levels and cognitive function in patients with diabetes and prediabetes. The study utilized the restricted cubic spline (RCS) models to explore the nonlinear correlation of PA with cognitive function.

RESULTS

Upon controlling for confounders, DSST scores were still significantly associated with moderate-level PA (OR: 0.457, 95% CI: 0.244, 0.853,  = 0.020) and high-level PA (OR: 0.478, 95% CI: 0.240, 0.955,  = 0.039). According to the RCS models, PA showed a significant nonlinear correlation with cognitive function, and the risk of cognitive decline decreased with the increase of PA levels.

CONCLUSION

In older adults with diabetes and prediabetes, moderate and high levels of physical activity are associated with a lower risk of cognitive decline. Clinicians should encourage patients to participate actively in exercise to maximize the benefits of PA.

摘要

背景

体育活动(PA)已被广泛认为是减缓与年龄相关的认知衰退的关键策略。然而,其对患有糖尿病或糖尿病前期的老年人的具体影响仍知之甚少。因此,我们调查了美国患有糖尿病和糖尿病前期的老年人中不同水平的体育活动与认知功能之间的关联。

方法

这项横断面研究使用了2011 - 2014年国家健康与营养检查调查(NHANES)的数据,共纳入了1299名年龄≥60岁的老年人。通过计算每周任务代谢当量时间(MET - min/周)来确定体育活动水平。使用阿尔茨海默病注册协会(CERAD)单词学习测试、动物流畅性测试(AFT)和数字符号替换测试(DSST)评估参与者的认知能力。多变量逻辑回归模型用于分析糖尿病和糖尿病前期患者中不同体育活动水平与认知功能之间的关联。该研究利用受限立方样条(RCS)模型来探索体育活动与认知功能的非线性相关性。

结果

在控制混杂因素后,DSST得分仍与中等水平的体育活动(OR:0.457,95% CI:0.244,0.853,P = 0.020)和高水平的体育活动(OR:0.478,95% CI:0.240,0.955,P = 0.039)显著相关。根据RCS模型,体育活动与认知功能呈现显著的非线性相关性,且认知衰退风险随着体育活动水平的增加而降低。

结论

在患有糖尿病和糖尿病前期的老年人中,中等和高水平的体育活动与较低的认知衰退风险相关。临床医生应鼓励患者积极参与运动,以最大化体育活动的益处。

https://cdn.ncbi.nlm.nih.gov/pmc/blobs/d681/12234310/98a26eea5fef/fpubh-13-1603627-g001.jpg

文献AI研究员

20分钟写一篇综述,助力文献阅读效率提升50倍。

立即体验

用中文搜PubMed

大模型驱动的PubMed中文搜索引擎

马上搜索

文档翻译

学术文献翻译模型,支持多种主流文档格式。

立即体验