• 文献检索
  • 文档翻译
  • 深度研究
  • 学术资讯
  • Suppr Zotero 插件Zotero 插件
  • 邀请有礼
  • 套餐&价格
  • 历史记录
应用&插件
Suppr Zotero 插件Zotero 插件浏览器插件Mac 客户端Windows 客户端微信小程序
定价
高级版会员购买积分包购买API积分包
服务
文献检索文档翻译深度研究API 文档MCP 服务
关于我们
关于 Suppr公司介绍联系我们用户协议隐私条款
关注我们

Suppr 超能文献

核心技术专利:CN118964589B侵权必究
粤ICP备2023148730 号-1Suppr @ 2026

文献检索

告别复杂PubMed语法,用中文像聊天一样搜索,搜遍4000万医学文献。AI智能推荐,让科研检索更轻松。

立即免费搜索

文件翻译

保留排版,准确专业,支持PDF/Word/PPT等文件格式,支持 12+语言互译。

免费翻译文档

深度研究

AI帮你快速写综述,25分钟生成高质量综述,智能提取关键信息,辅助科研写作。

立即免费体验

优化用于预测玉米杂交种中伏马菌素抗性的单步模型,同时考虑基因型与环境的相互作用。

Optimizing the single-step model for predicting fumonisins resistance in maize hybrids accounting for the genotype-by-environment interaction.

作者信息

Evangelista Jeniffer Santana Pinto Coelho, Dias Kaio Olimpo das Graças, Pastina Maria Marta, Chaves Saulo, Guimarães Lauro José Moreira, Hidalgo Jorge, Garcia-Abadillo Julian, Persa Reyna, Queiroz Valéria Aparecida Vieira, da Silva Dagma Dionísia, Bhering Leonardo Lopes, Jarquin Diego

机构信息

Agronomy Department, University of Florida, Gainesville, FL, United States.

Departamento de Biologia Geral, Universidade Federal de Viçosa, Campus Universitário, Viçosa, Minas Gerais, Brazil.

出版信息

Front Genet. 2025 Jul 2;16:1475452. doi: 10.3389/fgene.2025.1475452. eCollection 2025.

DOI:10.3389/fgene.2025.1475452
PMID:40672392
原文链接:https://pmc.ncbi.nlm.nih.gov/articles/PMC12263360/
Abstract

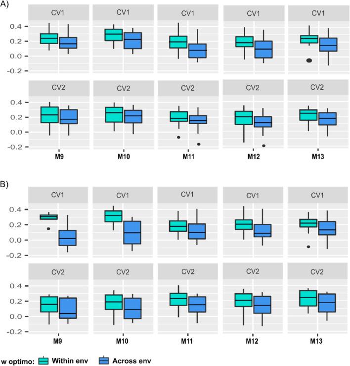
In Brazil, disease outbreaks in plant cultivars are common in tropical zones. For example, the fungus produces mycotoxins called fumonisins (FUMO) which are harmful to human and animal health. Besides the genetic component, the expression of this polygenic trait is regulated by interactions between genes and environmental factors (G × E). Genomic selection (GS) emerges as a promising approach to address the influence of multiple loci on resistance. We examined different manners to conduct the prediction of FUMO contamination using genomic and pedigree data, and combinations of these two via the single step model (-matrix) which also offers the possibility of increasing training set sizes. This is the first study to apply the -matrix approach for predicting FUMO in tropical maize breeding programs. Our research introduced a cross-validation approach to optimize the hyper-parameter , which represents the fraction of total additive variance captured by the markers. We demonstrated the importance of selecting optimal w by environment in unbalanced datasets. A total of 13 predictive models considering General Combining Ability (GCA) and Specific Combining Ability (SCA) effects, resulted from five linear predictors and three different covariance structures including the single-step approach. Two cross-validation scenarios were considered to evaluate the model's proficiency: CV1 simulated the prediction of completely untested hybrids, where the individuals in the validation set had no phenotypic records in the training set; and CV2 simulated the prediction of partially tested hybrids, where individuals had been evaluated in some environments but not in the target environment. Results showed that using the -matrix in the five tested linear models increased the predictive ability compared to pedigree or genomic information. Under CV1, increasing training set sizes exhibit superior predictive accuracy. On the other hand, under CV2 the advantages of increasing the training set size are unclear and the improvements are due to better covariance structures. These insights can be applied to plant breeding programs where the GCA, SCA, and G × E interactions are of interest and pedigree information is accessible, but constraints related to genotyping costs for the entire population exist.

摘要

在巴西,植物品种的疾病爆发在热带地区很常见。例如,这种真菌会产生名为伏马菌素(FUMO)的霉菌毒素,对人类和动物健康有害。除了遗传成分外,这种多基因性状的表达还受基因与环境因素之间相互作用(G×E)的调控。基因组选择(GS)作为一种有前景的方法出现,以应对多个基因座对抗性的影响。我们研究了使用基因组和系谱数据以及通过单步模型(-矩阵)将这两者结合来进行FUMO污染预测的不同方式,单步模型还提供了增加训练集规模的可能性。这是第一项将-矩阵方法应用于热带玉米育种计划中预测FUMO的研究。我们的研究引入了一种交叉验证方法来优化超参数,该超参数表示标记捕获的总加性方差的比例。我们证明了在不平衡数据集中按环境选择最佳w的重要性。考虑一般配合力(GCA)和特殊配合力(SCA)效应的总共13个预测模型,由五个线性预测器和三种不同的协方差结构(包括单步方法)产生。考虑了两种交叉验证方案来评估模型的熟练度:CV1模拟完全未测试杂交种的预测,其中验证集中的个体在训练集中没有表型记录;CV2模拟部分测试杂交种的预测,其中个体在某些环境中进行了评估,但在目标环境中未进行评估。结果表明,与系谱或基因组信息相比,在五个测试的线性模型中使用-矩阵提高了预测能力。在CV1下,增加训练集规模表现出更高的预测准确性。另一方面,在CV2下,增加训练集规模的优势不明显,改进归因于更好的协方差结构。这些见解可应用于关注GCA、SCA和G×E相互作用且可获取系谱信息,但存在与整个人口基因分型成本相关限制的植物育种计划。

https://cdn.ncbi.nlm.nih.gov/pmc/blobs/086e/12263360/a30e673c64c8/fgene-16-1475452-g006.jpg
https://cdn.ncbi.nlm.nih.gov/pmc/blobs/086e/12263360/32a25f36194e/fgene-16-1475452-g001.jpg
https://cdn.ncbi.nlm.nih.gov/pmc/blobs/086e/12263360/43f5ef2cb338/fgene-16-1475452-g002.jpg
https://cdn.ncbi.nlm.nih.gov/pmc/blobs/086e/12263360/2d674eab1056/fgene-16-1475452-g003.jpg
https://cdn.ncbi.nlm.nih.gov/pmc/blobs/086e/12263360/5eddf9960bbc/fgene-16-1475452-g004.jpg
https://cdn.ncbi.nlm.nih.gov/pmc/blobs/086e/12263360/0314e575310f/fgene-16-1475452-g005.jpg
https://cdn.ncbi.nlm.nih.gov/pmc/blobs/086e/12263360/a30e673c64c8/fgene-16-1475452-g006.jpg
https://cdn.ncbi.nlm.nih.gov/pmc/blobs/086e/12263360/32a25f36194e/fgene-16-1475452-g001.jpg
https://cdn.ncbi.nlm.nih.gov/pmc/blobs/086e/12263360/43f5ef2cb338/fgene-16-1475452-g002.jpg
https://cdn.ncbi.nlm.nih.gov/pmc/blobs/086e/12263360/2d674eab1056/fgene-16-1475452-g003.jpg
https://cdn.ncbi.nlm.nih.gov/pmc/blobs/086e/12263360/5eddf9960bbc/fgene-16-1475452-g004.jpg
https://cdn.ncbi.nlm.nih.gov/pmc/blobs/086e/12263360/0314e575310f/fgene-16-1475452-g005.jpg
https://cdn.ncbi.nlm.nih.gov/pmc/blobs/086e/12263360/a30e673c64c8/fgene-16-1475452-g006.jpg

相似文献

1
Optimizing the single-step model for predicting fumonisins resistance in maize hybrids accounting for the genotype-by-environment interaction.优化用于预测玉米杂交种中伏马菌素抗性的单步模型,同时考虑基因型与环境的相互作用。
Front Genet. 2025 Jul 2;16:1475452. doi: 10.3389/fgene.2025.1475452. eCollection 2025.
2
Comparison of Two Modern Survival Prediction Tools, SORG-MLA and METSSS, in Patients With Symptomatic Long-bone Metastases Who Underwent Local Treatment With Surgery Followed by Radiotherapy and With Radiotherapy Alone.两种现代生存预测工具 SORG-MLA 和 METSSS 在接受手术联合放疗和单纯放疗治疗有症状长骨转移患者中的比较。
Clin Orthop Relat Res. 2024 Dec 1;482(12):2193-2208. doi: 10.1097/CORR.0000000000003185. Epub 2024 Jul 23.
3
Falls prevention interventions for community-dwelling older adults: systematic review and meta-analysis of benefits, harms, and patient values and preferences.社区居住的老年人跌倒预防干预措施:系统评价和荟萃分析的益处、危害以及患者的价值观和偏好。
Syst Rev. 2024 Nov 26;13(1):289. doi: 10.1186/s13643-024-02681-3.
4
Sexual Harassment and Prevention Training性骚扰与预防培训
5
Cost-effectiveness of using prognostic information to select women with breast cancer for adjuvant systemic therapy.利用预后信息为乳腺癌患者选择辅助性全身治疗的成本效益
Health Technol Assess. 2006 Sep;10(34):iii-iv, ix-xi, 1-204. doi: 10.3310/hta10340.
6
Signs and symptoms to determine if a patient presenting in primary care or hospital outpatient settings has COVID-19.在基层医疗机构或医院门诊环境中,如果患者出现以下症状和体征,可判断其是否患有 COVID-19。
Cochrane Database Syst Rev. 2022 May 20;5(5):CD013665. doi: 10.1002/14651858.CD013665.pub3.
7
Short-Term Memory Impairment短期记忆障碍
8
Are Current Survival Prediction Tools Useful When Treating Subsequent Skeletal-related Events From Bone Metastases?当前的生存预测工具在治疗骨转移后的骨骼相关事件时有用吗?
Clin Orthop Relat Res. 2024 Sep 1;482(9):1710-1721. doi: 10.1097/CORR.0000000000003030. Epub 2024 Mar 22.
9
A rapid and systematic review of the clinical effectiveness and cost-effectiveness of paclitaxel, docetaxel, gemcitabine and vinorelbine in non-small-cell lung cancer.对紫杉醇、多西他赛、吉西他滨和长春瑞滨在非小细胞肺癌中的临床疗效和成本效益进行的快速系统评价。
Health Technol Assess. 2001;5(32):1-195. doi: 10.3310/hta5320.
10
Surgery for epilepsy.癫痫手术
Cochrane Database Syst Rev. 2015 Jul 1(7):CD010541. doi: 10.1002/14651858.CD010541.pub2.

本文引用的文献

1
Genomic prediction in hybrid breeding: II. Reciprocal recurrent genomic selection with full-sib and half-sib families.杂种优势的基因组预测:II. 全同胞和半同胞家系的双向轮回基因组选择。
Theor Appl Genet. 2023 Aug 31;136(9):203. doi: 10.1007/s00122-023-04446-3.
2
Optimizing predictions in IRRI's rice drought breeding program by leveraging 17 years of historical data and pedigree information.通过利用17年的历史数据和系谱信息优化国际水稻研究所水稻抗旱育种计划中的预测。
Front Plant Sci. 2022 Sep 20;13:983818. doi: 10.3389/fpls.2022.983818. eCollection 2022.
3
Empirical comparison of genomic and phenotypic selection for resistance to Fusarium ear rot and fumonisin contamination in maize.
玉米对镰刀菌穗腐病和伏马毒素污染抗性的基因组选择和表型选择的实证比较
Theor Appl Genet. 2022 Aug;135(8):2799-2816. doi: 10.1007/s00122-022-04150-8. Epub 2022 Jul 4.
4
Single-step genomic BLUP enables joint analysis of disconnected breeding programs: an example with Eucalyptus globulus Labill.单步基因组 BLUP 可实现不相关育种计划的联合分析:以蓝桉为例。
G3 (Bethesda). 2021 Sep 27;11(10). doi: 10.1093/g3journal/jkab253.
5
Investigating the persistence of accuracy of genomic predictions over time in broilers.研究肉鸡基因组预测准确性随时间的持续性。
J Anim Sci. 2021 Sep 1;99(9). doi: 10.1093/jas/skab239.
6
Assessing combining abilities, genomic data, and genotype × environment interactions to predict hybrid grain sorghum performance.评估杂种谷子配合力、基因组数据和基因型×环境互作对杂种谷子表现的预测作用。
Plant Genome. 2021 Nov;14(3):e20127. doi: 10.1002/tpg2.20127. Epub 2021 Aug 9.
7
Application of Genomic Selection at the Early Stage of Breeding Pipeline in Tropical Maize.基因组选择在热带玉米育种流程早期阶段的应用
Front Plant Sci. 2021 Jun 28;12:685488. doi: 10.3389/fpls.2021.685488. eCollection 2021.
8
Utility of Climatic Information via Combining Ability Models to Improve Genomic Prediction for Yield Within the Genomes to Fields Maize Project.通过配合力模型利用气候信息改进基因组到田间玉米项目中产量的基因组预测
Front Genet. 2021 Mar 8;11:592769. doi: 10.3389/fgene.2020.592769. eCollection 2020.
9
Comparison of models for missing pedigree in single-step genomic prediction.单步基因组预测中缺失家系模型的比较。
J Anim Sci. 2021 Feb 1;99(2). doi: 10.1093/jas/skab019.
10
Maximizing efficiency of genomic selection in CIMMYT's tropical maize breeding program.最大限度地提高 CIMMYT 热带玉米育种计划中基因组选择的效率。
Theor Appl Genet. 2021 Jan;134(1):279-294. doi: 10.1007/s00122-020-03696-9. Epub 2020 Oct 10.