Suppr超能文献

充血性心力衰竭合并慢性肾脏病患者红细胞分布宽度与白蛋白比值与住院死亡率的关系

Association between red blood cell distribution width-to-albumin ratio and in-hospital mortality in patients with congestive heart failure combined with chronic kidney disease.

作者信息

Qian Lie-Jun, Hong Lu-Xi

机构信息

ICU, Tiantai County Hospital of Traditional Chinese Medicine, Taizhou, Zhejiang, China.

Department of Ultrasound, Tiantai County People's Hospital, Taizhou, Zhejiang, China.

出版信息

Front Cardiovasc Med. 2025 Jul 4;12:1563512. doi: 10.3389/fcvm.2025.1563512. eCollection 2025.

Abstract

BACKGROUND

This study aimed to explore the relationship between the blood cell distribution width-to-albumin ratio (RAR) and in-hospital mortality in patients with congestive heart failure (CHF) combined with chronic kidney disease (CKD).

METHODS

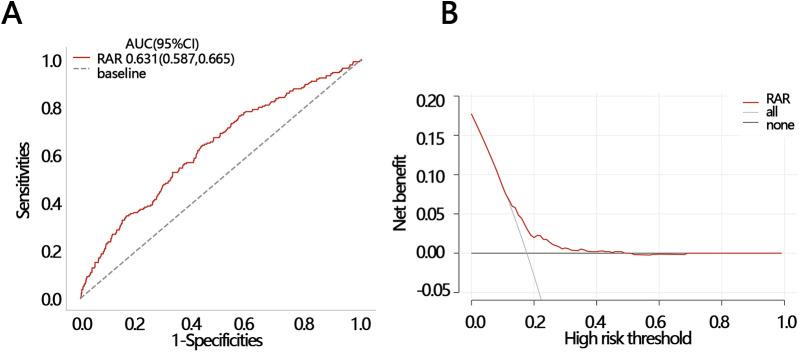
The patients' information was collected from the Medical Information Mart for Intensive Care IV (MIMIC-IV) database. The association of the RAR and in-hospital mortality were assessed via logistic regression analysis with adjusting for different covariate, followed by visualization via the restricted cubic splines (RCS) analysis. Correlation analysis and machine learning algorithms were used to screen the clinical features associated with RAR. Mediation analysis was used to explore the function of RAR-related feature on their association. The receiver operating characteristic (ROC) curve and decision curve analysis (DCA) curves were used to explore the efficacy of RAR in predicting patient outcomes and the net clinical benefit, respectively.

RESULTS

A total of 1,243 patients were included in this study. Logistic regression analysis showed that RAR was a risk factor of in-hospital death. RCS showed a linear relationship between RAR and in-hospital mortality, which was not affected by confounding factors. Monocytes played a mediating role in the relationship between RAR and in-hospital mortality. RAR had a good efficacy and clinical net for predicting in-hospital mortality, half-year mortality, one-year mortality, and three-year mortality.

CONCLUSIONS

We found that RAR was a risk factor for in-hospital death and could predict short-term and long-term outcomes in patients with CHF combined with CKD. Monocytes played a mediating role in their relationship.

摘要

背景

本研究旨在探讨血细胞分布宽度与白蛋白比值(RAR)与充血性心力衰竭(CHF)合并慢性肾脏病(CKD)患者住院死亡率之间的关系。

方法

从重症监护医学信息数据库IV(MIMIC-IV)中收集患者信息。通过逻辑回归分析评估RAR与住院死亡率之间的关联,并对不同协变量进行调整,随后通过限制性立方样条(RCS)分析进行可视化。采用相关性分析和机器学习算法筛选与RAR相关的临床特征。采用中介分析探讨RAR相关特征在其关联中的作用。分别使用受试者工作特征(ROC)曲线和决策曲线分析(DCA)曲线探讨RAR预测患者预后的效能和净临床获益。

结果

本研究共纳入1243例患者。逻辑回归分析显示,RAR是住院死亡的危险因素。RCS显示RAR与住院死亡率之间呈线性关系,且不受混杂因素影响。单核细胞在RAR与住院死亡率之间的关系中起中介作用。RAR在预测住院死亡率、半年死亡率、一年死亡率和三年死亡率方面具有良好的效能和临床净获益。

结论

我们发现RAR是住院死亡的危险因素,可预测CHF合并CKD患者的短期和长期预后。单核细胞在它们的关系中起中介作用。

https://cdn.ncbi.nlm.nih.gov/pmc/blobs/ee57/12271087/ab20c597feed/fcvm-12-1563512-g001.jpg

文献检索

告别复杂PubMed语法,用中文像聊天一样搜索,搜遍4000万医学文献。AI智能推荐,让科研检索更轻松。

立即免费搜索

文件翻译

保留排版,准确专业,支持PDF/Word/PPT等文件格式,支持 12+语言互译。

免费翻译文档

深度研究

AI帮你快速写综述,25分钟生成高质量综述,智能提取关键信息,辅助科研写作。

立即免费体验