• 文献检索
  • 文档翻译
  • 深度研究
  • 学术资讯
  • Suppr Zotero 插件Zotero 插件
  • 邀请有礼
  • 套餐&价格
  • 历史记录
应用&插件
Suppr Zotero 插件Zotero 插件浏览器插件Mac 客户端Windows 客户端微信小程序
定价
高级版会员购买积分包购买API积分包
服务
文献检索文档翻译深度研究API 文档MCP 服务
关于我们
关于 Suppr公司介绍联系我们用户协议隐私条款
关注我们

Suppr 超能文献

核心技术专利:CN118964589B侵权必究
粤ICP备2023148730 号-1Suppr @ 2026

文献检索

告别复杂PubMed语法,用中文像聊天一样搜索,搜遍4000万医学文献。AI智能推荐,让科研检索更轻松。

立即免费搜索

文件翻译

保留排版,准确专业,支持PDF/Word/PPT等文件格式,支持 12+语言互译。

免费翻译文档

深度研究

AI帮你快速写综述,25分钟生成高质量综述,智能提取关键信息,辅助科研写作。

立即免费体验

全身炎症对接受静脉溶栓治疗的非糖尿病缺血性中风患者胰岛素抵抗和不良预后的介导作用。

The mediation of systemic inflammation on insulin resistance and poor prognosis in non-diabetic ischemic stroke patients treated with intravenous thrombolysis.

作者信息

Sun Yanli, Deng Wei, Wang Heng, Chen Mingwei

机构信息

Department of Endocrinology, The First Affiliated Hospital of Anhui Medical University, Hefei, Anhui, China.

Department of General Practice, Xiangyang No.1 People's Hospital, Hubei University of Medicine, Xiangyang, Hubei, China.

出版信息

Front Neurol. 2025 Jul 8;16:1580862. doi: 10.3389/fneur.2025.1580862. eCollection 2025.

DOI:10.3389/fneur.2025.1580862
PMID:40697568
原文链接:https://pmc.ncbi.nlm.nih.gov/articles/PMC12282244/
Abstract

BACKGROUND AND PURPOSE

Insulin resistance (IR) has been linked to poor stroke prognosis even in non-diabetic patients, but the underlying mechanisms remain unclear. This study aims to explore whether the association between IR and poor prognosis in non-diabetic patients with acute ischemic stroke (AIS) treated with intravenous recombinant tissue-type plasminogen activator (IV-rtPA) is mediated by systemic inflammation.

METHODS

In this retrospective study, 841 consecutive patients with AIS but without a history of diabetes treated with IV-rtPA were included. IR was evaluated by means of the triglyceride-glucose index (TyG). Inflammatory markers, including the neutrophil-to-lymphocyte ratio (NLR), platelet-to-lymphocyte ratio (PLR), systemic immune-inflammation index (SII), and inflammation prognostic index (IPI), were calculated based on blood parameters obtained within 24 h of admission. The primary outcome was poor prognosis at 90 days [modified Rankin Scale (mRS) score ≥3]. Multivariable logistic regression analysis was performed to explore the associations among TyG, inflammatory markers, and the poor prognosis. A mediation analysis was performed to examine the relationship between IR and the study outcome mediated by systemic inflammation.

RESULTS

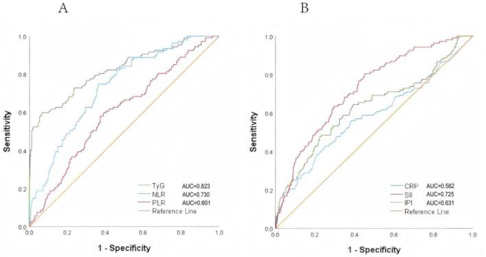
In total, 107 (12.72%) had poor prognosis. After adjusting for confounders (Model 3), multivariable logistic regression analysis revealed that both TyG and NLR were significantly associated with poor prognosis [odds ratio (OR), 2.212 (95% CI, 1.564-5.617), < 0.001; 1.059 (95% CI, 0.904-1.241), = 0.004; respectively]. Both indicators exhibited strong predictive value for poor prognosis, with areas under the curve (AUCs) of 0.823 and 0.730, respectively. Moreover, NLR and IPI were found to partially mediate the relationship between TyG and poor prognosis, with mediation proportions of 16.5 and 13.8%, respectively. After propensity score matching (PSM), the mediating effects of inflammatory markers became more pronounced.

CONCLUSION

Our study found that insulin resistance was associated with poor prognosis in non-diabetic patients treated with IV-rtPA, and this association was partially mediated by NLR and IPI to a modest extent. These findings offer new insights into the clinical management of non-diabetic AIS patients after IV.

摘要

背景与目的

胰岛素抵抗(IR)与卒中预后不良相关,即使在非糖尿病患者中也是如此,但其潜在机制仍不清楚。本研究旨在探讨在接受静脉注射重组组织型纤溶酶原激活剂(IV-rtPA)治疗的急性缺血性卒中(AIS)非糖尿病患者中,IR与预后不良之间的关联是否由全身炎症介导。

方法

在这项回顾性研究中,纳入了841例连续接受IV-rtPA治疗且无糖尿病病史的AIS患者。通过甘油三酯-葡萄糖指数(TyG)评估IR。根据入院后24小时内获得的血液参数计算炎症标志物,包括中性粒细胞与淋巴细胞比值(NLR)、血小板与淋巴细胞比值(PLR)、全身免疫炎症指数(SII)和炎症预后指数(IPI)。主要结局是90天时预后不良[改良Rankin量表(mRS)评分≥3]。进行多变量逻辑回归分析以探讨TyG、炎症标志物与预后不良之间的关联。进行中介分析以检验IR与由全身炎症介导的研究结局之间的关系。

结果

共有107例(占12.72%)患者预后不良。在调整混杂因素后(模型3),多变量逻辑回归分析显示TyG和NLR均与预后不良显著相关[比值比(OR)分别为2.212(95%置信区间,1.564-5.617),P<0.001;1.059(95%置信区间,0.904-1.241),P=0.004]。这两个指标对预后不良均具有较强的预测价值,曲线下面积(AUC)分别为0.823和0.730。此外发现NLR和IPI部分介导了TyG与预后不良之间的关系,中介比例分别为16.5%和13.8%。在倾向评分匹配(PSM)后,炎症标志物的中介作用更加明显。

结论

我们的研究发现,在接受IV-rtPA治疗的非糖尿病患者中,胰岛素抵抗与预后不良相关,且这种关联在一定程度上部分由NLR和IPI介导。这些发现为IV治疗后非糖尿病AIS患者的临床管理提供了新的见解。

https://cdn.ncbi.nlm.nih.gov/pmc/blobs/e54a/12282244/f7b7122b1766/fneur-16-1580862-g0003.jpg
https://cdn.ncbi.nlm.nih.gov/pmc/blobs/e54a/12282244/7720055c847a/fneur-16-1580862-g0001.jpg
https://cdn.ncbi.nlm.nih.gov/pmc/blobs/e54a/12282244/aaaaf6a7e192/fneur-16-1580862-g0002.jpg
https://cdn.ncbi.nlm.nih.gov/pmc/blobs/e54a/12282244/f7b7122b1766/fneur-16-1580862-g0003.jpg
https://cdn.ncbi.nlm.nih.gov/pmc/blobs/e54a/12282244/7720055c847a/fneur-16-1580862-g0001.jpg
https://cdn.ncbi.nlm.nih.gov/pmc/blobs/e54a/12282244/aaaaf6a7e192/fneur-16-1580862-g0002.jpg
https://cdn.ncbi.nlm.nih.gov/pmc/blobs/e54a/12282244/f7b7122b1766/fneur-16-1580862-g0003.jpg

相似文献

1
The mediation of systemic inflammation on insulin resistance and poor prognosis in non-diabetic ischemic stroke patients treated with intravenous thrombolysis.全身炎症对接受静脉溶栓治疗的非糖尿病缺血性中风患者胰岛素抵抗和不良预后的介导作用。
Front Neurol. 2025 Jul 8;16:1580862. doi: 10.3389/fneur.2025.1580862. eCollection 2025.
2
Sex-based differences in inflammatory predictors of outcomes in patients undergoing mechanical thrombectomy: an inverse probability weighting analysis.接受机械取栓治疗患者结局的炎症预测指标中的性别差异:逆概率加权分析
Ther Adv Neurol Disord. 2025 Jun 21;18:17562864251345719. doi: 10.1177/17562864251345719. eCollection 2025.
3
Association between insulin resistance indices and outcomes in patients with heart failure with preserved ejection fraction.射血分数保留的心力衰竭患者胰岛素抵抗指数与预后的关系
Cardiovasc Diabetol. 2025 Jan 22;24(1):32. doi: 10.1186/s12933-025-02595-x.
4
Association of triglyceride-glucose index and estimated glucose disposal rate with outcomes in patients with acute myocardial infarction: Cumulative effect and mediation analysis.甘油三酯-葡萄糖指数及估计的葡萄糖处置率与急性心肌梗死患者预后的关联:累积效应及中介分析
PLoS One. 2025 Jul 23;20(7):e0328150. doi: 10.1371/journal.pone.0328150. eCollection 2025.
5
Thrombolysis for acute ischaemic stroke.急性缺血性脑卒中的溶栓治疗
Cochrane Database Syst Rev. 2003(3):CD000213. doi: 10.1002/14651858.CD000213.
6
TyG-BMI as a predictor of ischemic stroke over 10 years in middle-aged and older adults: findings from the China cardiometabolic disease and cancer cohort (4C) study.甘油三酯与血糖指数(TyG)-体重指数(BMI)作为中老年人群10年缺血性卒中预测指标:来自中国心血管代谢疾病与癌症队列(4C)研究的结果
Front Neurol. 2025 Jul 2;16:1609853. doi: 10.3389/fneur.2025.1609853. eCollection 2025.
7
TyG-BMI and TyG/BMI %: valuable evaluation tools for predicting unfavorable prognosis in ischemic stroke patients with large vessel occlusion after endovascular therapy.甘油三酯与血糖指数(TyG)-体重指数(BMI)及TyG/BMI百分比:预测血管内治疗后大血管闭塞性缺血性卒中患者不良预后的有价值评估工具。
J Stroke Cerebrovasc Dis. 2025 May 19;34(8):108352. doi: 10.1016/j.jstrokecerebrovasdis.2025.108352.
8
Construction of a column-line graphical model of poor outcome of neoadjuvant regimens for muscle-invasive bladder cancer based on NLR, dNLR and SII indicators.基于中性粒细胞与淋巴细胞比值(NLR)、动态中性粒细胞与淋巴细胞比值(dNLR)和全身免疫炎症指标(SII)构建肌层浸润性膀胱癌新辅助治疗方案不良预后的列线图模型
World J Surg Oncol. 2025 Jul 10;23(1):274. doi: 10.1186/s12957-025-03903-1.
9
Intravenous magnesium sulphate and sotalol for prevention of atrial fibrillation after coronary artery bypass surgery: a systematic review and economic evaluation.静脉注射硫酸镁和索他洛尔预防冠状动脉搭桥术后房颤:系统评价与经济学评估
Health Technol Assess. 2008 Jun;12(28):iii-iv, ix-95. doi: 10.3310/hta12280.
10
Prognostic predictive value of the preoperative systemic immunoinflammatory index combined with the neutrophil-to-lymphocyte ratio in patients with primary liver cancer undergoing transarterial chemoembolization.术前全身免疫炎症指数联合中性粒细胞与淋巴细胞比值对接受经动脉化疗栓塞的原发性肝癌患者的预后预测价值
Oncol Lett. 2025 Jun 27;30(3):414. doi: 10.3892/ol.2025.15160. eCollection 2025 Sep.

本文引用的文献

1
Influence of TyG Index on Large Vascular Occlusive Stroke Following Endovascular Treatment.TyG指数对血管内治疗后大血管闭塞性卒中的影响。
CNS Neurosci Ther. 2024 Dec;30(12):e70143. doi: 10.1111/cns.70143.
2
The relationship between systemic inflammation index, systemic immune-inflammatory index, and inflammatory prognostic index and 90-day outcomes in acute ischemic stroke patients treated with intravenous thrombolysis.全身炎症指数、全身免疫炎症指数和炎症预后指数与接受静脉溶栓治疗的急性缺血性脑卒中患者 90 天结局的关系。
J Neuroinflammation. 2023 Sep 30;20(1):220. doi: 10.1186/s12974-023-02890-y.
3
Molecular Mechanisms for the Vicious Cycle between Insulin Resistance and the Inflammatory Response in Obesity.
肥胖症中胰岛素抵抗与炎症反应之间恶性循环的分子机制。
Int J Mol Sci. 2023 Jun 6;24(12):9818. doi: 10.3390/ijms24129818.
4
Association between triglyceride-glucose index and all-cause mortality in critically ill patients with ischemic stroke: analysis of the MIMIC-IV database.甘油三酯-葡萄糖指数与缺血性脑卒中重症患者全因死亡率的关系:MIMIC-IV 数据库分析。
Cardiovasc Diabetol. 2023 Jun 13;22(1):138. doi: 10.1186/s12933-023-01864-x.
5
Novel mechanisms of thrombo-inflammation during infection: spotlight on neutrophil extracellular trap-mediated platelet activation.感染期间血栓炎症的新机制:聚焦中性粒细胞胞外诱捕网介导的血小板活化
Res Pract Thromb Haemost. 2023 Mar 11;7(2):100116. doi: 10.1016/j.rpth.2023.100116. eCollection 2023 Feb.
6
Association of serum albumin to globulin ratio with outcomes in acute ischemic stroke.血清白蛋白与球蛋白比值与急性缺血性脑卒中结局的关系。
CNS Neurosci Ther. 2023 May;29(5):1357-1367. doi: 10.1111/cns.14108. Epub 2023 Feb 16.
7
Mediation of Systemic Inflammation on Insulin Resistance and Prognosis of Nondiabetic Patients With Ischemic Stroke.全身炎症对非糖尿病缺血性脑卒中患者胰岛素抵抗及预后的介导作用
Stroke. 2023 Mar;54(3):759-769. doi: 10.1161/STROKEAHA.122.039542. Epub 2023 Feb 1.
8
The role of neutrophils in the dysfunction of central nervous system barriers.中性粒细胞在中枢神经系统屏障功能障碍中的作用。
Front Aging Neurosci. 2022 Aug 11;14:965169. doi: 10.3389/fnagi.2022.965169. eCollection 2022.
9
Statin pretreatment combined with intravenous thrombolysis for ischemic stroke patients: A meta-analysis.他汀预处理联合静脉溶栓治疗缺血性脑卒中患者:一项荟萃分析。
J Clin Neurosci. 2022 Apr;98:142-148. doi: 10.1016/j.jocn.2022.02.012. Epub 2022 Feb 15.
10
Association between insulin resistance and post-ischaemic stroke outcome in patients without diabetes: protocol for a systematic review and meta-analysis.胰岛素抵抗与无糖尿病患者缺血性脑卒中后转归的关系:系统评价和荟萃分析方案。
BMJ Open. 2021 Mar 26;11(3):e044771. doi: 10.1136/bmjopen-2020-044771.