• 文献检索
  • 文档翻译
  • 深度研究
  • 学术资讯
  • Suppr Zotero 插件Zotero 插件
  • 邀请有礼
  • 套餐&价格
  • 历史记录
应用&插件
Suppr Zotero 插件Zotero 插件浏览器插件Mac 客户端Windows 客户端微信小程序
定价
高级版会员购买积分包购买API积分包
服务
文献检索文档翻译深度研究API 文档MCP 服务
关于我们
关于 Suppr公司介绍联系我们用户协议隐私条款
关注我们

Suppr 超能文献

核心技术专利:CN118964589B侵权必究
粤ICP备2023148730 号-1Suppr @ 2026

文献检索

告别复杂PubMed语法,用中文像聊天一样搜索,搜遍4000万医学文献。AI智能推荐,让科研检索更轻松。

立即免费搜索

文件翻译

保留排版,准确专业,支持PDF/Word/PPT等文件格式,支持 12+语言互译。

免费翻译文档

深度研究

AI帮你快速写综述,25分钟生成高质量综述,智能提取关键信息,辅助科研写作。

立即免费体验

牙周炎症与全身健康指标的关联:一种机器学习方法。

The Association of Periodontal Inflammation and Systemic Health Indicators: A Machine Learning Approach.

作者信息

Yan Yumeng, Sharma Praveen, Suvan Jeanie, D'Aiuto Francesco

机构信息

Periodontology Unit, UCL Eastman Dental Institute, London, UK.

Periodontal Research Group, School of Dentistry, Institute of Clinical Sciences, University of Birmingham, Birmingham, UK.

出版信息

J Clin Periodontol. 2025 Oct;52(10):1466-1477. doi: 10.1111/jcpe.70000. Epub 2025 Jul 23.

DOI:10.1111/jcpe.70000
PMID:40701837
原文链接:https://pmc.ncbi.nlm.nih.gov/articles/PMC12420081/
Abstract

AIM

The relationship between oral and systemic inflammation has profound implications for understanding the broader health impacts of periodontitis. The aim of this study was to (a) explore the association between periodontal inflammation and markers of systemic inflammation and metabolic health, and (b) preliminarily assess periodontal status based on systemic health indicators using machine learning techniques.

METHODS

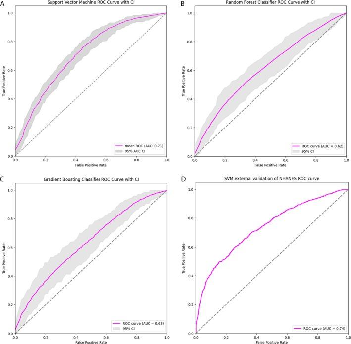
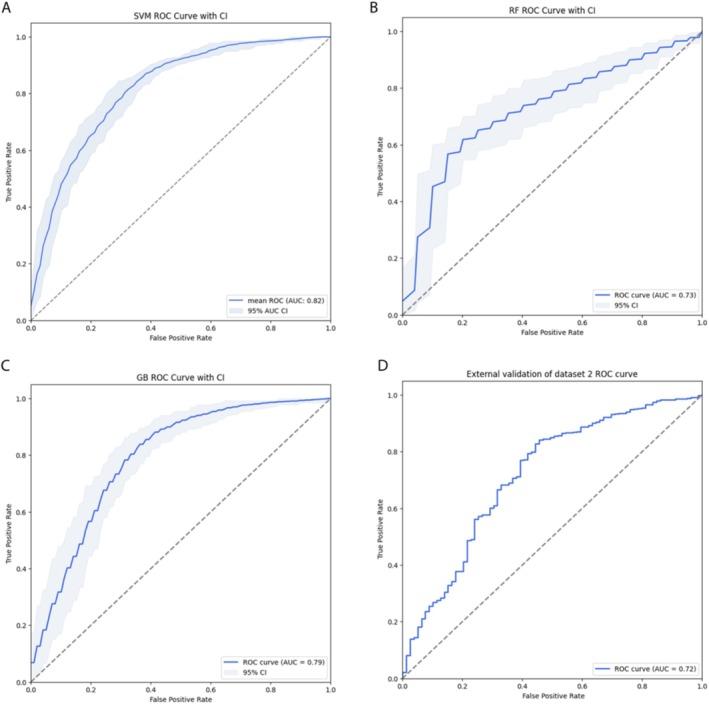
Data from a cross-sectional cohort (N = 667) were modelled (simple/multiple linear, fractional polynomial, logistic and random forest regression) to examine the association between systemic and periodontal measures. Three classifiers-random forest (RF), support vector machine (SVM) and gradient boosting (GB)-were used using periodontal inflamed surface area (PISA) and demographic and anthropometric variables (age, gender, ethnicity, body mass index [BMI] and smoking habits) as inputs to predict systemic inflammation (defined using serum C-reactive protein [CRP] levels). The best performing classification models (evaluated using area under the curve, AUC analyses) were validated using a second nationally representative dataset from the National Health and Nutrition Examination Surveys (NHANES) 2001-2002 and 2003-2004 combined datasets (N = 2288). Next, RF, SVM and GB were employed incorporating a set of systemic parameters (including serum CRP and lipid profiles) to predict the diagnosis of periodontitis. The best performing classification models were then validated using the NHANES 2009-2010 (N = 664) dataset.

RESULTS

A nonlinear trend of CRP levels and PISA was confirmed by fractional polynomial regression (p = 0.008). Further, multiple linear regression analyses (adjusted for age, gender, ethnicity, BMI and smoking habits) confirmed a statistically significant relationship between log-transformed CRP levels and PISA (p < 0.0001). Logistic regression confirmed a relationship between PISA and low-density lipoprotein (LDL) in both crude and adjusted models. Among the classification models, SVM showed the highest performance in distinguishing CRP < 2 mg/L from CRP ≥ 2 mg/L (AUC = 0.71). The SVM model was successfully replicated in the NHANES 2001-2002 and 2003-2004 waves (AUC = 0.74). Prediction of periodontitis status (case vs. control) based on systemic indicators using the SVM model achieved the best performance with a mean AUC of 0.82. This was partially confirmed after external validation using the 2009-2010 NHANES dataset (AUC of 0.72).

CONCLUSION

This study confirmed a consistent relationship between measures of cumulative periodontal inflammation and systemic inflammation through machine learning models. A predictive model incorporating systemic health parameters helped in identifying a case with periodontitis. Both models have potential for use in primary healthcare settings, including screening programmes, as providing confirmation of the bidirectional link between periodontitis and systemic health.

https://cdn.ncbi.nlm.nih.gov/pmc/blobs/99ca/12420081/d6582870aa40/JCPE-52-1466-g002.jpg
https://cdn.ncbi.nlm.nih.gov/pmc/blobs/99ca/12420081/f80c7bfce637/JCPE-52-1466-g001.jpg
https://cdn.ncbi.nlm.nih.gov/pmc/blobs/99ca/12420081/18e90135a00b/JCPE-52-1466-g004.jpg
https://cdn.ncbi.nlm.nih.gov/pmc/blobs/99ca/12420081/0c81a333fac0/JCPE-52-1466-g003.jpg
https://cdn.ncbi.nlm.nih.gov/pmc/blobs/99ca/12420081/d6582870aa40/JCPE-52-1466-g002.jpg
https://cdn.ncbi.nlm.nih.gov/pmc/blobs/99ca/12420081/f80c7bfce637/JCPE-52-1466-g001.jpg
https://cdn.ncbi.nlm.nih.gov/pmc/blobs/99ca/12420081/18e90135a00b/JCPE-52-1466-g004.jpg
https://cdn.ncbi.nlm.nih.gov/pmc/blobs/99ca/12420081/0c81a333fac0/JCPE-52-1466-g003.jpg
https://cdn.ncbi.nlm.nih.gov/pmc/blobs/99ca/12420081/d6582870aa40/JCPE-52-1466-g002.jpg
摘要

目的

口腔炎症与全身炎症之间的关系对于理解牙周炎对更广泛健康的影响具有深远意义。本研究的目的是:(a)探讨牙周炎症与全身炎症标志物及代谢健康之间的关联;(b)使用机器学习技术基于全身健康指标初步评估牙周状况。

方法

对一个横断面队列(N = 667)的数据进行建模(简单/多元线性、分数多项式、逻辑回归和随机森林回归),以检验全身指标与牙周指标之间的关联。使用牙周炎症表面积(PISA)以及人口统计学和人体测量学变量(年龄、性别、种族、体重指数[BMI]和吸烟习惯)作为输入,采用三种分类器——随机森林(RF)、支持向量机(SVM)和梯度提升(GB)——来预测全身炎症(使用血清C反应蛋白[CRP]水平定义)。使用曲线下面积(AUC分析)评估表现最佳的分类模型,并使用来自2001 - 2002年和2003 - 2004年国家健康与营养检查调查(NHANES)的第二个具有全国代表性的数据集(N = 2288)进行验证。接下来,采用RF、SVM和GB并纳入一组全身参数(包括血清CRP和血脂谱)来预测牙周炎的诊断。然后使用2009 - 2010年NHANES数据集(N = 664)对表现最佳的分类模型进行验证。

结果

分数多项式回归证实了CRP水平与PISA之间的非线性趋势(p = 0.008)。此外,多元线性回归分析(对年龄、性别、种族、BMI和吸烟习惯进行校正)证实了对数转换后的CRP水平与PISA之间存在统计学显著关系(p < 0.0001)。逻辑回归在未校正和校正模型中均证实了PISA与低密度脂蛋白(LDL)之间的关系。在分类模型中,SVM在区分CRP < 2 mg/L和CRP≥2 mg/L方面表现最佳(AUC = 0.71)。SVM模型在2001 - 2002年和2003 - 2004年NHANES调查中成功复制(AUC = 0.74)。使用SVM模型基于全身指标预测牙周炎状态(病例与对照)表现最佳,平均AUC为0.82。使用2009 - 2010年NHANES数据集进行外部验证后部分得到证实(AUC为0.72)。

结论

本研究通过机器学习模型证实了累积牙周炎症指标与全身炎症之间的一致关系。纳入全身健康参数的预测模型有助于识别牙周炎病例。这两种模型都有潜力用于初级医疗保健环境,包括筛查项目,因为它们证实了牙周炎与全身健康之间的双向联系。

相似文献

1
The Association of Periodontal Inflammation and Systemic Health Indicators: A Machine Learning Approach.牙周炎症与全身健康指标的关联:一种机器学习方法。
J Clin Periodontol. 2025 Oct;52(10):1466-1477. doi: 10.1111/jcpe.70000. Epub 2025 Jul 23.
2
Development of Machine Learning-based Algorithms to Predict the 2- and 5-year Risk of TKA After Tibial Plateau Fracture Treatment.基于机器学习的算法用于预测胫骨平台骨折治疗后2年和5年全膝关节置换风险的研究进展
Clin Orthop Relat Res. 2025 Mar 12. doi: 10.1097/CORR.0000000000003442.
3
Hs-CRP/HDL-C ratio as a predictive inflammatory-lipid marker for sarcopenia: evidence from NHANES 2015-2018.高敏C反应蛋白与高密度脂蛋白胆固醇比值作为肌肉减少症的预测性炎症-脂质标志物:来自2015 - 2018年美国国家健康与营养检查调查的证据
Front Immunol. 2025 Jun 19;16:1600421. doi: 10.3389/fimmu.2025.1600421. eCollection 2025.
4
Establishment and validation of an interactive artificial intelligence platform to predict postoperative ambulatory status for patients with metastatic spinal disease: a multicenter analysis.建立和验证交互式人工智能平台,以预测转移性脊柱疾病患者的术后活动状态:一项多中心分析。
Int J Surg. 2024 May 1;110(5):2738-2756. doi: 10.1097/JS9.0000000000001169.
5
Mediating Effects of Systemic Inflammation on the Association Between Body Roundness Index and Periodontitis in US Adults.全身炎症对美国成年人身体圆润度指数与牙周炎之间关联的中介作用。
Int Dent J. 2025 Jun 10;75(4):100832. doi: 10.1016/j.identj.2025.04.012.
6
Association between periodontal parameters and thyroid markers in autoimmune hypothyroidism: A cross-sectional study.自身免疫性甲状腺功能减退症中牙周参数与甲状腺标志物之间的关联:一项横断面研究。
J Periodontol. 2025 Aug 21. doi: 10.1002/JPER.24-0735.
7
The application and predictive value of the weight-adjusted-waist index in BC prevalence assessment: a comprehensive statistical and machine learning analysis using NHANES data.体重调整腰围指数在乳腺癌患病率评估中的应用及预测价值:使用美国国家健康与营养检查调查(NHANES)数据进行的综合统计与机器学习分析
BMC Cancer. 2025 Jul 29;25(1):1234. doi: 10.1186/s12885-025-14651-6.
8
[Construction and external validation of a machine learning-based prediction model for epilepsy one year after acute stroke].[基于机器学习的急性卒中后一年癫痫预测模型的构建与外部验证]
Zhonghua Wei Zhong Bing Ji Jiu Yi Xue. 2025 May;37(5):445-451. doi: 10.3760/cma.j.cn121430-20241225-01069.
9
Associations of the Hs-CRP/HDL-C ratio with stroke among US adults: Evidence from NHANES 2015-2018.美国成年人中高敏C反应蛋白与高密度脂蛋白胆固醇比值与中风的关联:来自2015 - 2018年美国国家健康与营养检查调查的证据
J Stroke Cerebrovasc Dis. 2025 Aug;34(8):108353. doi: 10.1016/j.jstrokecerebrovasdis.2025.108353. Epub 2025 May 20.
10
Physical activity and diet pattern do not mitigate C-reactive protein increases associated with oral contraceptive use.体育活动和饮食模式并不能减轻与口服避孕药使用相关的C反应蛋白升高。
PLoS One. 2025 Apr 8;20(4):e0319928. doi: 10.1371/journal.pone.0319928. eCollection 2025.

本文引用的文献

1
TRIPOD+AI statement: updated guidance for reporting clinical prediction models that use regression or machine learning methods.TRIPOD+AI 声明:报告使用回归或机器学习方法的临床预测模型的更新指南。
BMJ. 2024 Apr 16;385:e078378. doi: 10.1136/bmj-2023-078378.
2
Periodontitis and atherosclerotic cardiovascular disease: A critical appraisal.牙周炎与动脉粥样硬化性心血管疾病:一项批判性评估。
Periodontol 2000. 2023 Nov 23. doi: 10.1111/prd.12528.
3
Development of a machine learning multiclass screening tool for periodontal health status based on non-clinical parameters and salivary biomarkers.
基于非临床参数和唾液生物标志物开发用于牙周健康状况的机器学习多类别筛查工具。
J Clin Periodontol. 2024 Dec;51(12):1547-1560. doi: 10.1111/jcpe.13856. Epub 2023 Sep 11.
4
Early elevation of high-sensitivity C-reactive protein as a predictor for cardiovascular disease incidence and all-cause mortality: a landmark analysis.早期高敏 C 反应蛋白升高可预测心血管疾病发病率和全因死亡率:里程碑式分析。
Sci Rep. 2023 Aug 29;13(1):14118. doi: 10.1038/s41598-023-41081-w.
5
Discovery, validation, and diagnostic ability of multiple protein-based biomarkers in saliva and gingival crevicular fluid to distinguish between health and periodontal diseases.在唾液和龈沟液中,多种基于蛋白质的生物标志物在发现、验证和诊断牙周疾病中的应用。
J Clin Periodontol. 2022 Jul;49(7):622-632. doi: 10.1111/jcpe.13630. Epub 2022 Apr 29.
6
Association between periodontitis and chronic kidney disease.牙周炎与慢性肾脏病的关系。
Periodontol 2000. 2022 Jun;89(1):114-124. doi: 10.1111/prd.12431. Epub 2022 Mar 4.
7
Association between periodontal inflammation and serum lipid profile in a healthy population: A cross-sectional study.牙周炎与健康人群血清脂质谱的相关性:一项横断面研究。
J Periodontal Res. 2021 Dec;56(6):1037-1045. doi: 10.1111/jre.12917. Epub 2021 Jul 17.
8
Periodontal Inflamed Surface Area Mediates the Link between Homocysteine and Blood Pressure.牙周炎炎症表面面积介导同型半胱氨酸与血压之间的关联。
Biomolecules. 2021 Jun 12;11(6):875. doi: 10.3390/biom11060875.
9
Metabolic phenotyping of saliva to identify possible biomarkers of periodontitis using proton nuclear magnetic resonance.采用质子核磁共振技术对唾液进行代谢表型分析,以寻找牙周炎的潜在生物标志物。
J Clin Periodontol. 2021 Sep;48(9):1240-1249. doi: 10.1111/jcpe.13516. Epub 2021 Jul 16.
10
Economic burden of periodontitis in the United States and Europe: An updated estimation.美国和欧洲牙周炎的经济负担:最新估计
J Periodontol. 2022 Mar;93(3):373-379. doi: 10.1002/JPER.21-0111. Epub 2021 Jun 9.