Suppr超能文献

基于运动模式的机器学习在区分马蹄内翻足儿童复发与未复发情况中的潜力。

The potential of machine learning in classifying relapse and non-relapse in children with clubfoot based on movement patterns.

作者信息

Grin Lianne, Bogaert Sieglinde, Wijnands Saskia, Besselaar Arnold, van der Steen Marieke, Davis Jesse, Vanwanseele Benedicte

机构信息

Fontys University of Applied Sciences, PO box 347, 5612 MA, Eindhoven, The Netherlands.

Human Movement Biomechanics Research Group, Faculty of Movement and Rehabilitation Sciences, KU Leuven, Tervuursevest 101, 3001, Heverlee, Belgium.

出版信息

Sci Rep. 2025 Jul 28;15(1):27387. doi: 10.1038/s41598-025-12890-y.

Abstract

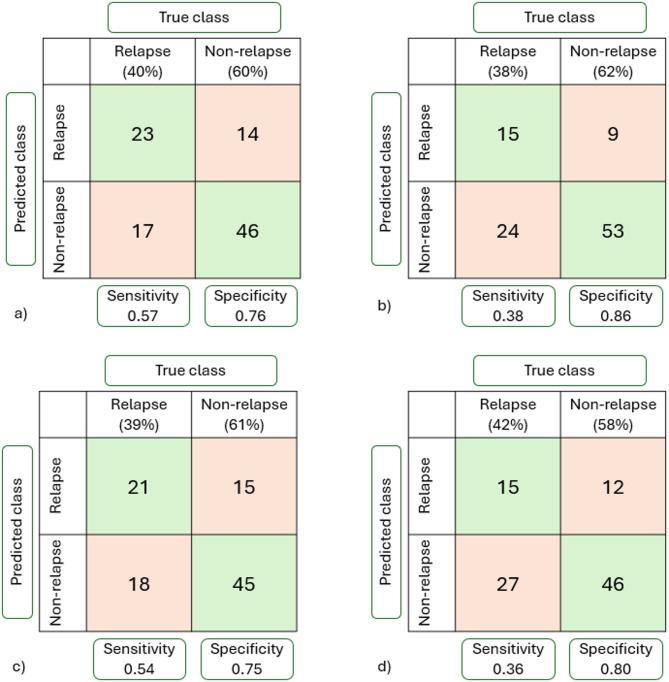
The diverse nature and timing of a clubfoot relapse pose challenges for early detection. A relapsed clubfoot typically involves a combination of deformities affecting a child's movement pattern across multiple joint levels, formed by a complex kinematic chain. Machine learning algorithms have the capacity to analyse such complex nonlinear relationships, offering the potential to train a model that assesses whether a child has relapsed clubfoot based on their movement pattern. Hence, this study aimed to explore to what extent biomechanical data collected with three-dimensional movement analysis can be used to classify children with relapsed clubfoot from children with non-relapsed clubfoot. The findings demonstrated the potential of subject classification based on kinematic movement patterns, where combining dynamic activities improves sensitivity in distinguishing children with relapsed clubfoot from children with non-relapsed clubfoot. Moreover, the study highlights biomechanical features that should be considered during clinical follow-up of children with clubfoot. This might aid early identification and treatment of relapsed clubfoot, which is expected to prevent the necessity of surgical treatment in these young patients. However, for future application of machine learning classification in clinical practice, a larger subject population will be necessary to develop a generalizable and robust model.

摘要

马蹄内翻足复发的多样性及时间差异给早期检测带来了挑战。复发的马蹄内翻足通常涉及多种畸形的组合,这些畸形会影响儿童在多个关节水平上的运动模式,由复杂的运动链构成。机器学习算法有能力分析这种复杂的非线性关系,这为训练一个基于儿童运动模式评估其是否患有复发马蹄内翻足的模型提供了可能性。因此,本研究旨在探讨通过三维运动分析收集的生物力学数据在多大程度上可用于区分复发马蹄内翻足儿童和未复发马蹄内翻足儿童。研究结果证明了基于运动学运动模式进行受试者分类的潜力,其中结合动态活动可提高区分复发马蹄内翻足儿童和未复发马蹄内翻足儿童的敏感性。此外,该研究突出了在马蹄内翻足儿童临床随访期间应考虑的生物力学特征。这可能有助于早期识别和治疗复发的马蹄内翻足,有望避免这些年轻患者进行手术治疗。然而,对于机器学习分类在临床实践中的未来应用,需要更大的受试者群体来开发一个可推广且稳健的模型。

https://cdn.ncbi.nlm.nih.gov/pmc/blobs/833c/12304113/785f567ddd14/41598_2025_12890_Fig1_HTML.jpg

文献检索

告别复杂PubMed语法,用中文像聊天一样搜索,搜遍4000万医学文献。AI智能推荐,让科研检索更轻松。

立即免费搜索

文件翻译

保留排版,准确专业,支持PDF/Word/PPT等文件格式,支持 12+语言互译。

免费翻译文档

深度研究

AI帮你快速写综述,25分钟生成高质量综述,智能提取关键信息,辅助科研写作。

立即免费体验