Suppr超能文献

硅氢化反应与皮尔斯-鲁宾什泰因反应:化学交联杂化磷腈-硅氧烷三维结构的合成路线

Hydrosilylation vs. Piers-Rubinsztajn: Synthetic Routes to Chemically Cross-Linked Hybrid Phosphazene-Siloxane 3D-Structures.

作者信息

Esin Andrey S, Chernysheva Anna I, Yurasova Ekaterina A, Karpova Ekaterina A, Shutov Vyacheslav V, Sirotin Igor S, Soldatov Mikhail A, Gorlov Mikhail V, Raitman Oleg A

机构信息

Department of Chemical Technology of Plastic Materials, Mendeleev University of Chemical Technology of Russia, Miusskaya Square 9, 125047 Moscow, Russia.

Department of Plastic Processing Technology, Mendeleev University of Chemical Technology of Russia, Miusskaya Square 9, 125047 Moscow, Russia.

出版信息

Polymers (Basel). 2025 Jul 17;17(14):1967. doi: 10.3390/polym17141967.

Abstract

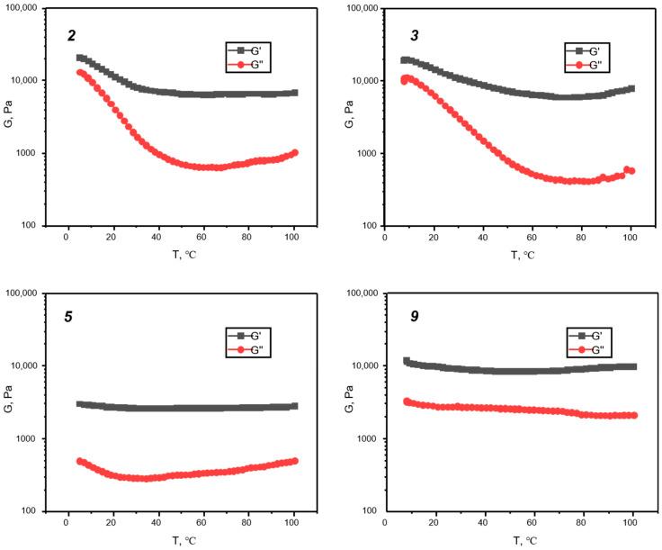
Exploration of new ways for the direct preparation of cross-linked structures is a significant problem in terms of materials for biomedical applications, lithium batteries electrolytes, toughening of thermosets (epoxy, benzoxazine, etc.) with interpenetrating polymer network, etc. The possibility to utilize hydrosilylation and Piers-Rubinsztajn reactions to obtain cross-linked model phosphazene compounds containing eugenoxy and guaiacoxy groups has been studied. It was shown that Piers-Rubinsztajn reaction cannot be used to prepare phosphazene-based tailored polymer matrix due to the catalyst deactivation by nitrogen atoms of main chain units. Utilizing the hydrosilylation reaction, a series of cross-linked materials were obtained, and their properties were studied by NMR spectroscopy, FTIR, DSC, and TGA. Rheological characterizations of the prepared tailored matrices were conducted. This work showed a perspective of using eugenoxy functional groups for the preparation of three-dimensional hybrid phosphazene/siloxane-based materials for various applications.

摘要

探索直接制备交联结构的新方法,对于生物医学应用材料、锂电池电解质、用互穿聚合物网络增韧热固性材料(环氧树脂、苯并恶嗪等)等而言,是一个重大问题。人们研究了利用硅氢化反应和皮尔斯 - 鲁宾斯泰因反应来获得含有丁香氧基和愈创木酚氧基的交联模型磷腈化合物的可能性。结果表明,由于主链单元的氮原子使催化剂失活,皮尔斯 - 鲁宾斯泰因反应不能用于制备基于磷腈的定制聚合物基体。利用硅氢化反应,获得了一系列交联材料,并通过核磁共振光谱、傅里叶变换红外光谱、差示扫描量热法和热重分析法对其性能进行了研究。对制备的定制基体进行了流变学表征。这项工作展示了使用丁香氧基官能团制备用于各种应用的三维杂化磷腈/硅氧烷基材料的前景。

https://cdn.ncbi.nlm.nih.gov/pmc/blobs/bc22/12297966/edaa80cd406e/polymers-17-01967-sch001.jpg

文献检索

告别复杂PubMed语法,用中文像聊天一样搜索,搜遍4000万医学文献。AI智能推荐,让科研检索更轻松。

立即免费搜索

文件翻译

保留排版,准确专业,支持PDF/Word/PPT等文件格式,支持 12+语言互译。

免费翻译文档

深度研究

AI帮你快速写综述,25分钟生成高质量综述,智能提取关键信息,辅助科研写作。

立即免费体验