• 文献检索
  • 文档翻译
  • 深度研究
  • 学术资讯
  • Suppr Zotero 插件Zotero 插件
  • 邀请有礼
  • 套餐&价格
  • 历史记录
应用&插件
Suppr Zotero 插件Zotero 插件浏览器插件Mac 客户端Windows 客户端微信小程序
定价
高级版会员购买积分包购买API积分包
服务
文献检索文档翻译深度研究API 文档MCP 服务
关于我们
关于 Suppr公司介绍联系我们用户协议隐私条款
关注我们

Suppr 超能文献

核心技术专利:CN118964589B侵权必究
粤ICP备2023148730 号-1Suppr @ 2026

文献检索

告别复杂PubMed语法,用中文像聊天一样搜索,搜遍4000万医学文献。AI智能推荐,让科研检索更轻松。

立即免费搜索

文件翻译

保留排版,准确专业,支持PDF/Word/PPT等文件格式,支持 12+语言互译。

免费翻译文档

深度研究

AI帮你快速写综述,25分钟生成高质量综述,智能提取关键信息,辅助科研写作。

立即免费体验

法西单抗治疗糖尿病性黄斑水肿的疗效以及光学相干断层扫描(OCT)和OCT血管造影中与法西单抗相关的变化

Efficacy of Faricimab in the Treatment of Diabetic Macular Edema and Faricimab-Related Changes in OCT and OCT Angiography.

作者信息

Śpiewak Dorota, Drzyzga Łukasz, Dorecka Mariola, Witek Katarzyna, Wyględowska-Promieńska Dorota

机构信息

Department of Ophthalmology, Prof. K. Gibiński University Clinical Center, Medical University of Silesia, 40-514 Katowice, Poland.

Clinical Ophthalmology Center Okolux, 40-754 Katowice, Poland.

出版信息

Pharmaceutics. 2025 Jun 30;17(7):858. doi: 10.3390/pharmaceutics17070858.

DOI:10.3390/pharmaceutics17070858
PMID:40733068
原文链接:https://pmc.ncbi.nlm.nih.gov/articles/PMC12300633/
Abstract

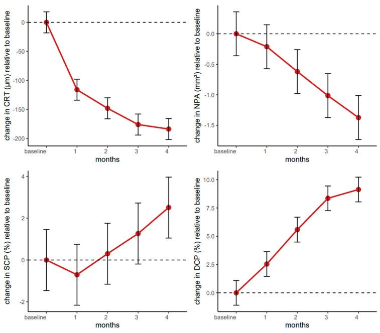
Our study aimed to assess the anatomical changes in the retina, including the assessment of the reduction of diabetic macular edema (DME) on optical coherence tomography (OCT) and the improvement of retinal microvascular parameters, defined by the reduction of nonperfusion areas on OCT angiography (OCTA) after intravitreal injections of 6 mg faricimab, an anti-VEGF drug used in the treatment of DME. The study included twenty-two patients aged between 61 and 74 years, each of whom received four loading doses of 6 mg faricimab at 1-month intervals, as described in the summary of product characteristics. Hemodynamic parameters were analyzed by OCT angiography before the first intravitreal injection of faricimab and one month after each subsequent injection. The following parameters were analyzed: non-perfusion area (NPA), superficial capillary plexus (SCP) and deep capillary plexus (DCP), outer retinal flow area (ORFA), choriocapillaris flow area (CCFA) and foveal avascular zone (FAZ). Despite differences in the magnitude of improvement and time to improvement from the start of treatment with intravitreal injections of 6 mg faricimab, reductions in DME and improvements in OCTA parameters resulted in increased retinal blood flow and better visual acuity.

摘要

我们的研究旨在评估视网膜的解剖学变化,包括通过光学相干断层扫描(OCT)评估糖尿病性黄斑水肿(DME)的减轻情况,以及通过OCT血管造影(OCTA)评估玻璃体内注射6毫克法西单抗(一种用于治疗DME的抗血管内皮生长因子药物)后视网膜微血管参数的改善情况,该参数通过减少OCTA上的无灌注区域来定义。该研究纳入了22名年龄在61至74岁之间的患者,按照产品特性摘要中的描述,每位患者每隔1个月接受4次6毫克法西单抗的负荷剂量注射。在首次玻璃体内注射法西单抗前以及随后每次注射后1个月,通过OCT血管造影分析血流动力学参数。分析了以下参数:无灌注区域(NPA)、浅表毛细血管丛(SCP)和深层毛细血管丛(DCP)、视网膜外层血流区域(ORFA)、脉络膜毛细血管血流区域(CCFA)和黄斑无血管区(FAZ)。尽管从开始玻璃体内注射6毫克法西单抗治疗起,改善程度和改善时间存在差异,但DME的减轻和OCTA参数的改善导致视网膜血流量增加和视力提高。

https://cdn.ncbi.nlm.nih.gov/pmc/blobs/9691/12300633/66c8d5171a33/pharmaceutics-17-00858-g009.jpg
https://cdn.ncbi.nlm.nih.gov/pmc/blobs/9691/12300633/cb0a6f84f4b8/pharmaceutics-17-00858-g001.jpg
https://cdn.ncbi.nlm.nih.gov/pmc/blobs/9691/12300633/1828cbe1111e/pharmaceutics-17-00858-g002.jpg
https://cdn.ncbi.nlm.nih.gov/pmc/blobs/9691/12300633/a6a021e32e7d/pharmaceutics-17-00858-g003.jpg
https://cdn.ncbi.nlm.nih.gov/pmc/blobs/9691/12300633/9321e1a80a19/pharmaceutics-17-00858-g004.jpg
https://cdn.ncbi.nlm.nih.gov/pmc/blobs/9691/12300633/d645ec1ecb12/pharmaceutics-17-00858-g005.jpg
https://cdn.ncbi.nlm.nih.gov/pmc/blobs/9691/12300633/b2f187ea0082/pharmaceutics-17-00858-g006.jpg
https://cdn.ncbi.nlm.nih.gov/pmc/blobs/9691/12300633/ae6d5b160a48/pharmaceutics-17-00858-g007.jpg
https://cdn.ncbi.nlm.nih.gov/pmc/blobs/9691/12300633/2d746fbe1457/pharmaceutics-17-00858-g008.jpg
https://cdn.ncbi.nlm.nih.gov/pmc/blobs/9691/12300633/66c8d5171a33/pharmaceutics-17-00858-g009.jpg
https://cdn.ncbi.nlm.nih.gov/pmc/blobs/9691/12300633/cb0a6f84f4b8/pharmaceutics-17-00858-g001.jpg
https://cdn.ncbi.nlm.nih.gov/pmc/blobs/9691/12300633/1828cbe1111e/pharmaceutics-17-00858-g002.jpg
https://cdn.ncbi.nlm.nih.gov/pmc/blobs/9691/12300633/a6a021e32e7d/pharmaceutics-17-00858-g003.jpg
https://cdn.ncbi.nlm.nih.gov/pmc/blobs/9691/12300633/9321e1a80a19/pharmaceutics-17-00858-g004.jpg
https://cdn.ncbi.nlm.nih.gov/pmc/blobs/9691/12300633/d645ec1ecb12/pharmaceutics-17-00858-g005.jpg
https://cdn.ncbi.nlm.nih.gov/pmc/blobs/9691/12300633/b2f187ea0082/pharmaceutics-17-00858-g006.jpg
https://cdn.ncbi.nlm.nih.gov/pmc/blobs/9691/12300633/ae6d5b160a48/pharmaceutics-17-00858-g007.jpg
https://cdn.ncbi.nlm.nih.gov/pmc/blobs/9691/12300633/2d746fbe1457/pharmaceutics-17-00858-g008.jpg
https://cdn.ncbi.nlm.nih.gov/pmc/blobs/9691/12300633/66c8d5171a33/pharmaceutics-17-00858-g009.jpg

相似文献

1
Efficacy of Faricimab in the Treatment of Diabetic Macular Edema and Faricimab-Related Changes in OCT and OCT Angiography.法西单抗治疗糖尿病性黄斑水肿的疗效以及光学相干断层扫描(OCT)和OCT血管造影中与法西单抗相关的变化
Pharmaceutics. 2025 Jun 30;17(7):858. doi: 10.3390/pharmaceutics17070858.
2
Anatomic Control with Faricimab versus Aflibercept in the YOSEMITE/RHINE Trials in Diabetic Macular Edema.在糖尿病性黄斑水肿的约塞米蒂/莱茵试验中,法西单抗与阿柏西普的解剖学对照
Ophthalmol Retina. 2025 Jul;9(7):655-666. doi: 10.1016/j.oret.2025.01.017. Epub 2025 Feb 4.
3
Assessing the Role of Statins as an Adjunctive Anti-VEGF Therapy for Clinically Significant Macular Edema (CSME) in Type 2 Diabetes Mellitus.评估他汀类药物作为2型糖尿病患者临床显著性黄斑水肿(CSME)辅助抗血管内皮生长因子(VEGF)治疗的作用。
Rom J Ophthalmol. 2025 Apr-Jun;69(2):219-227. doi: 10.22336/rjo.2025.35.
4
Comparative Efficacy, Durability and Safety of Faricimab in the Treatment of Diabetic Macular Edema: A Systematic Literature Review and Network Meta-Analysis.法替莫班治疗糖尿病性黄斑水肿的疗效、持久性和安全性的比较:系统文献回顾和网络荟萃分析。
Adv Ther. 2023 Dec;40(12):5204-5221. doi: 10.1007/s12325-023-02675-y. Epub 2023 Sep 26.
5
[Indirect comparison of anti-angiogenic agents in the treatment of diabetic macular edema].[抗血管生成药物治疗糖尿病性黄斑水肿的间接比较]
Vestn Oftalmol. 2024;140(6):69-79. doi: 10.17116/oftalma202414006169.
6
Association between disorganization of the retinal inner layers and capillary nonperfusion area in patients with retinal vein occlusion.视网膜静脉阻塞患者视网膜内层紊乱与毛细血管无灌注区的相关性。
Arq Bras Oftalmol. 2020 Nov-Dec;83(6):497-504. doi: 10.5935/0004-2749.20200093.
7
Real-world clinical insights and aqueous humor biomarker analysis of diabetic macular edema subtypes classified by OCT following intravitreal injections.玻璃体内注射后,根据光学相干断层扫描(OCT)分类的糖尿病性黄斑水肿亚型的真实世界临床见解及房水生物标志物分析
BMC Ophthalmol. 2025 Jul 1;25(1):374. doi: 10.1186/s12886-025-04186-6.
8
Faricimab for treatment-resistant choroidal neovascularization (CNV) in neovascular age-related macular degeneration (nAMD): seven-months results using artificial intelligence and OCTA.法西单抗治疗新生血管性年龄相关性黄斑变性(nAMD)中耐药性脉络膜新生血管(CNV):使用人工智能和光学相干断层扫描血管造影(OCTA)的7个月结果
Int J Retina Vitreous. 2025 Jun 17;11(1):68. doi: 10.1186/s40942-025-00691-4.
9
Real-world outcomes of a loading phase with intravitreal faricimab in refractory Neovascular Age-Related Macular Degeneration (nAMD) patients.玻璃体内注射法西单抗负荷期治疗难治性新生血管性年龄相关性黄斑变性(nAMD)患者的真实世界疗效
BMC Ophthalmol. 2025 Jul 1;25(1):347. doi: 10.1186/s12886-025-04212-7.
10
Idiopathic epiretinal membrane surgery with internal limiting membrane peeling: An optical coherence tomography angiography analysis of macular capillary plexus changes.特发性视网膜前膜手术联合内界膜剥除术:黄斑毛细血管丛变化的光学相干断层扫描血管造影分析
Eur J Ophthalmol. 2025 Jul;35(4):1394-1401. doi: 10.1177/11206721241304139. Epub 2024 Dec 19.

本文引用的文献

1
Summary of the Therapeutic Options for Patients with Dry and Neovascular AMD.干性和新生血管性年龄相关性黄斑变性患者治疗方案总结
J Clin Med. 2024 Jul 19;13(14):4227. doi: 10.3390/jcm13144227.
2
Response of Diabetic Macular Edema to Anti-VEGF Medications Correlates with Improvement in Macular Vessel Architecture Measured with OCT Angiography.糖尿病性黄斑水肿对抗血管内皮生长因子药物的反应与光学相干断层扫描血管造影测量的黄斑血管结构改善相关。
Ophthalmol Sci. 2024 Jan 26;4(4):100478. doi: 10.1016/j.xops.2024.100478. eCollection 2024 Jul-Aug.
3
Neovascular age-related macular degeneration: disease pathogenesis and current state of molecular biomarkers predicting treatment response-a scoping review.
新生血管性年龄相关性黄斑变性:疾病发病机制和预测治疗反应的分子生物标志物的现状——范围综述。
BMJ Open Ophthalmol. 2024 Feb 10;9(1):e001516. doi: 10.1136/bmjophth-2023-001516.
4
Quantitative Parameters Relevant for Diabetic Macular Edema Evaluation by Optical Coherence Tomography Angiography.定量参数与光学相干断层扫描血管造影评估糖尿病性黄斑水肿相关。
Medicina (Kaunas). 2023 Jun 10;59(6):1120. doi: 10.3390/medicina59061120.
5
Faricimab for the Treatment of Diabetic Macular Edema and Neovascular Age-Related Macular Degeneration.法西单抗用于治疗糖尿病性黄斑水肿和新生血管性年龄相关性黄斑变性。
Pharmaceutics. 2023 May 5;15(5):1413. doi: 10.3390/pharmaceutics15051413.
6
The Role of Inflammation and Therapeutic Concepts in Diabetic Retinopathy-A Short Review.炎症在糖尿病视网膜病变中的作用及治疗理念——简要综述
Int J Mol Sci. 2023 Jan 5;24(2):1024. doi: 10.3390/ijms24021024.
7
Optical coherence tomography angiography analysis of microvascular abnormalities and vessel density in treatment-naïve eyes with diabetic macular edema.未经治疗的糖尿病黄斑水肿患者的微血管异常和血管密度的光相干断层扫描血管造影分析。
BMC Ophthalmol. 2022 Nov 3;22(1):418. doi: 10.1186/s12886-022-02632-3.
8
Intravitreal Steroids Compared with Anti-VEGF Treatment for Diabetic Macular Edema: A Meta-Analysis.玻璃体内注射类固醇与抗血管内皮生长因子治疗糖尿病性黄斑水肿的Meta分析
Ophthalmol Retina. 2023 Apr;7(4):289-299. doi: 10.1016/j.oret.2022.10.008. Epub 2022 Oct 19.
9
Switching between anti-VEGF agents in the management of refractory diabetic macular edema: A systematic review.抗血管内皮生长因子药物转换治疗难治性糖尿病黄斑水肿的系统评价。
Surv Ophthalmol. 2022 Sep-Oct;67(5):1364-1372. doi: 10.1016/j.survophthal.2022.04.001. Epub 2022 Apr 19.
10
Disentangling the association between retinal non-perfusion and anti-VEGF agents in diabetic retinopathy.解析糖尿病视网膜病变中视网膜无灌注与抗血管内皮生长因子药物之间的关联。
Eye (Lond). 2022 Apr;36(4):692-703. doi: 10.1038/s41433-021-01750-4. Epub 2021 Aug 18.