Suppr超能文献

用于膜电位成像的水溶性分子导线

Water-Soluble Molecular Wires for Membrane Potential Imaging.

作者信息

El Khatib Mirna, Fye Margret A, Uchida Keita, Obaid Ana L, Troxler Thomas, Valente Dylan, Salzberg Brian M, Prosser Benjamin, Kaverina Irina N, Vinogradov Sergei A

机构信息

Department of Biochemistry and Biophysics, Perelman School of Medicine, University of Pennsylvania, Philadelphia, PA, 19104, USA.

Department of Chemistry, School of Arts and Sciences, University of Pennsylvania, Philadelphia, PA, 19104, USA.

出版信息

Angew Chem Int Ed Engl. 2025 Sep 8;64(37):e202508660. doi: 10.1002/anie.202508660. Epub 2025 Jul 30.

Abstract

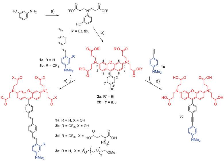
Voltage-sensitive probes based on donor-acceptor dyads, whose fluorescence is modulated by photoinduced electron transfer (PET) in response to changes in membrane potential, are known as PET molecular wires. PET wires have been widely used in cultured cells; however, their applications in tissue-level imaging have been hampered by their inadequate aqueous solubility, necessitating pre-dissolution in organic solvents that potentially can cause toxic effects. Here we present the synthesis, electronic structure analysis, photophysical characterization, and initial demonstration of water-soluble amphiphilic molecular wires, consisting of a rosamine, as a fluorescent PET acceptor, and a PET donor consisting of a conjugated bridge terminated by dimethylaniline (DMA). The rosamine moiety is extended by several carboxylates or polyethylene glycol (PEG) groups, which render the probes highly water-soluble and facilitate labeling of phospholipid membranes, positioning molecules in proper orientation. The probes produced functional responses in electrically stimulated mouse cardiomyocytes and as well as in intact neurohypophysis, and in glucose-stimulated murine islets of Langerhans. The new molecular wires make up a useful addition to the toolkit of optical reporters for membrane potential imaging.

摘要

基于供体-受体二元体系的电压敏感探针,其荧光通过光致电子转移(PET)响应膜电位变化而被调制,被称为PET分子导线。PET导线已广泛应用于培养细胞中;然而,它们在组织水平成像中的应用受到其水溶性不足的阻碍,这需要在可能会产生毒性作用的有机溶剂中预先溶解。在此,我们展示了水溶性两亲分子导线的合成、电子结构分析、光物理特性及初步验证,该导线由一种若丹明作为荧光PET受体,以及一个由二甲基苯胺(DMA)终止的共轭桥构成的PET供体组成。若丹明部分通过几个羧酸盐或聚乙二醇(PEG)基团进行扩展,这使得探针具有高度水溶性,并便于对磷脂膜进行标记,使分子以适当的方向定位。这些探针在电刺激的小鼠心肌细胞、完整的神经垂体以及葡萄糖刺激的小鼠胰岛中产生了功能性反应。这些新型分子导线为膜电位成像的光学报告分子工具包增添了有用的补充。

https://cdn.ncbi.nlm.nih.gov/pmc/blobs/d0d9/12416456/460f80331cde/ANIE-64-e202508660-g004.jpg

文献检索

告别复杂PubMed语法,用中文像聊天一样搜索,搜遍4000万医学文献。AI智能推荐,让科研检索更轻松。

立即免费搜索

文件翻译

保留排版,准确专业,支持PDF/Word/PPT等文件格式,支持 12+语言互译。

免费翻译文档

深度研究

AI帮你快速写综述,25分钟生成高质量综述,智能提取关键信息,辅助科研写作。

立即免费体验