Suppr超能文献

从人皮肤分离的EPI-7中GDSL型脂肪分解酶基因的克隆、表达及特性分析

Cloning, Expression, and Characterization of GDSL-Type Lipolytic Enzyme Genes from EPI-7 Isolated from Human Skin.

作者信息

Jeong Seok-Yun, Yun Seok Kyun, Cho Suhyeon, Baek Seyeol, Shin Hee-Jae, Park Seokmuk, Jeong Sugyeong, Kim Gayoung, Kang Seunghyun, Bae Seunghee

机构信息

Department of Cosmetics Engineering, Konkuk University, Seoul 05029, Republic of Korea.

COSMAX BTI R&I Center, Seongnam-si 13486, Republic of Korea.

出版信息

J Microbiol Biotechnol. 2025 Aug 6;35:e2504022. doi: 10.4014/jmb.2504.04022.

Abstract

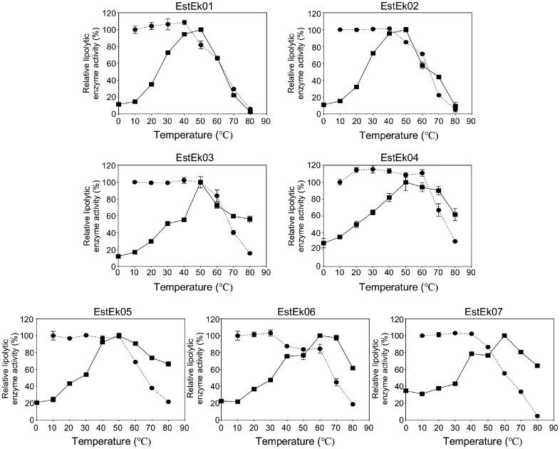
This study investigated seven putative lipolytic enzymes (EstEk01-07) from the skin microbiome bacterium EPI-7, focusing on their properties relevant to industrial applications. Sequence analysis revealed conserved GDSL motifs and four conserved blocks, characteristic of the GDSL/SGNH superfamily, with predicted α/β/α folds consistent with these enzymes. Significant variations in the number of α-helices and β-sheets among the EstEk enzymes suggested diverse substrate specificities and catalytic efficiencies. The enzymes exhibited a strong preference for short-chain fatty acids (C2-C4), classifying them as carboxylesterases, a novel finding within the skin microbiome. Optimal enzyme activity was observed at alkaline pH (8.0-9.0) and thermophilic condition (50-60°C), with substantial thermostability retained after heating at 50°C for three hours. Metal ion analysis revealed a significant stimulatory effect of Ca and Fe, while other transition metals were inhibitory. The enzymes were stable in a range of non-ionic detergents, but sensitive to SDS. Moreover, they exhibited notable tolerance to various organic solvents, particularly methanol and isopropanol, suggesting potential applications in cosmetics and pharmaceutical industries. This study identifies a novel library of thermostable, alkaline carboxylesterases from the skin microbiome, highlighting their potential for industrial biocatalysis and further investigation into their role in skin lipid metabolism.

摘要

本研究调查了皮肤微生物群细菌EPI-7中的七种假定脂解酶(EstEk01-07),重点关注它们与工业应用相关的特性。序列分析揭示了保守的GDSL基序和四个保守结构域,这是GDSL/SGNH超家族的特征,预测的α/β/α折叠与这些酶一致。EstEk酶之间α螺旋和β折叠数量的显著差异表明其底物特异性和催化效率各不相同。这些酶对短链脂肪酸(C2-C4)表现出强烈偏好,将它们归类为羧酸酯酶,这是皮肤微生物群中的一个新发现。在碱性pH(8.0-9.0)和嗜热条件(50-60°C)下观察到最佳酶活性,在50°C加热三小时后仍保留大量热稳定性。金属离子分析显示Ca和Fe有显著的刺激作用,而其他过渡金属则有抑制作用。这些酶在一系列非离子洗涤剂中稳定,但对SDS敏感。此外,它们对各种有机溶剂表现出显著耐受性,尤其是甲醇和异丙醇,表明在化妆品和制药行业有潜在应用。本研究从皮肤微生物群中鉴定出一个新的热稳定碱性羧酸酯酶文库,突出了它们在工业生物催化中的潜力以及对其在皮肤脂质代谢中作用的进一步研究。

https://cdn.ncbi.nlm.nih.gov/pmc/blobs/f3ed/12351110/3f20ee77ea88/jmb-35-e2504022-f1.jpg

文献检索

告别复杂PubMed语法,用中文像聊天一样搜索,搜遍4000万医学文献。AI智能推荐,让科研检索更轻松。

立即免费搜索

文件翻译

保留排版,准确专业,支持PDF/Word/PPT等文件格式,支持 12+语言互译。

免费翻译文档

深度研究

AI帮你快速写综述,25分钟生成高质量综述,智能提取关键信息,辅助科研写作。

立即免费体验