Suppr超能文献

肝细胞癌细胞中细胞相关预后特征的构建与验证

Construction and validation of a cell-in-cell related prognostic signature for hepatocellular carcinoma.

作者信息

Zhong Hao, Wang Dong, Chen Yisheng, Zhan Danhong, Wang Chenxi, Lin Rongqi, Li Wen, Sun Qiang, Wang Ruizhi, He Meifang

机构信息

Laboratory of General Surgery, The First Affiliated Hospital, Sun Yat-Sen University, Guangzhou, 510080, China.

Guangdong Institute for Drug Control, Guangzhou, 510700, China.

出版信息

Discov Oncol. 2025 Aug 12;16(1):1539. doi: 10.1007/s12672-025-03245-0.

Abstract

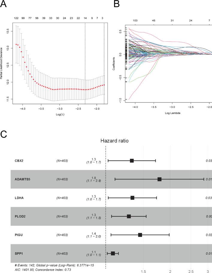
Cell-in-cell structures (CICs) and their biological roles contribute to disease development, particularly in cancer. However, the roles of CIC-associated genes (CICGs) in hepatocellular carcinoma (HCC) are largely unknown. This study sought to establish a a CICGs-linked HCC signature and assess its predictive significance. We acquired gene expression profiling data for tumor and normal tissues of HCC patients from The Cancer Genome Atlas (TCGA) for training and from the International Cancer Genome Consortium (ICGC) for validation. Consensus clustering was employed to delineate patient cohorts with varying prognoses, categorizing HCC patients into two distinct groups. A selection of fifty CICGs was compiled from the literature, revealing their association with CIC development through functional studies. Six predictive genes were ultimately identified through univariate Cox proportional hazards regression (Cox) and least absolute shrinkage and selection operator (LASSO) analyses. This prognostic signature, resulting from a multivariate Cox, subsequently segmented TCGA and ICGC cohort individuals into high- and low-risk categories. Our verification of the signature's precision involved survival analysis contrasts between those at high and low risk. Quantitative real-time PCR (qRT-PCR) analysis revealed markedly elevated expression levels of these six genes in HCC tumors compared to neighboring healthy tissue, underscoring their potential role in tumor development. This experimentally reinforces the accuracy of the genetic profile. We also examined variations in the composition of immune cells and immunological responses across high-risk and low-risk cohorts. This study established and verified prognostic variables connected to cell-in-cell (CIC), potentially improving personalized survival forecasts for patients with HCC.

摘要

细胞内细胞结构(CICs)及其生物学作用促进疾病发展,尤其是在癌症中。然而,CIC相关基因(CICGs)在肝细胞癌(HCC)中的作用在很大程度上尚不清楚。本研究旨在建立一种与CICGs相关的HCC特征并评估其预测意义。我们从癌症基因组图谱(TCGA)获取了HCC患者肿瘤组织和正常组织的基因表达谱数据用于训练,并从国际癌症基因组联盟(ICGC)获取数据用于验证。采用一致性聚类来划分具有不同预后的患者队列,将HCC患者分为两个不同的组。从文献中汇编了50个CICGs,通过功能研究揭示了它们与CIC发展的关联。最终通过单变量Cox比例风险回归(Cox)和最小绝对收缩和选择算子(LASSO)分析确定了6个预测基因。由多变量Cox得出的这种预后特征随后将TCGA和ICGC队列个体分为高风险和低风险类别。我们对该特征准确性的验证涉及高风险和低风险人群之间的生存分析对比。定量实时PCR(qRT-PCR)分析显示,与邻近健康组织相比,这6个基因在HCC肿瘤中的表达水平明显升高,突出了它们在肿瘤发展中的潜在作用。这在实验上强化了基因谱的准确性。我们还检查了高风险和低风险队列中免疫细胞组成和免疫反应的差异。本研究建立并验证了与细胞内细胞(CIC)相关的预后变量,可能改善HCC患者的个性化生存预测。

https://cdn.ncbi.nlm.nih.gov/pmc/blobs/0c67/12344039/c8e7259a04b3/12672_2025_3245_Fig1_HTML.jpg

文献AI研究员

20分钟写一篇综述,助力文献阅读效率提升50倍。

立即体验

用中文搜PubMed

大模型驱动的PubMed中文搜索引擎

马上搜索

文档翻译

学术文献翻译模型,支持多种主流文档格式。

立即体验