Suppr超能文献

Ir-W固溶体合金弹性性能和广义堆垛层错能的第一性原理建模

A First-Principles Modeling of the Elastic Properties and Generalized Stacking Fault Energy of Ir-W Solid Solution Alloys.

作者信息

Shi Pengwei, Ma Jianbo, Bian Fenggang, Li Guolu

机构信息

School of Materials Science and Engineering, Hebei University of Technology, Tianjin 300401, China.

Shanghai Advanced Research Institute, Chinese Academy of Sciences, Shanghai 201204, China.

出版信息

Materials (Basel). 2025 Aug 1;18(15):3629. doi: 10.3390/ma18153629.

Abstract

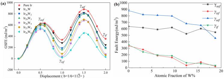
Iridium, with its excellent high-temperature chemical inertness, is a preferred cladding material for radioisotope batteries. However, its inherent room-temperature brittleness severely restricts its application. In this research, pure Ir and six Ir-W solid solutions (IrW to IrW) were modeled. The effects of W on the elastic properties, generalized stacking fault energy, and bonding properties of Ir solid solution alloys were investigated by first-principles simulation, aiming to find a way to overcome the intrinsic brittleness of Ir. With the W concentration increasing from 0 to 18.75 at %, the calculated Cauchy pressure (-) increases from -22 to 5 GPa, Pugh's ratio (/) increases from 1.60 to 1.72, the intrinsic stacking fault energy reduces from 337.80 to 21.16 mJ/m, and the unstable stacking fault energy reduces from 636.90 to 547.39 mJ/m. According to these results, it is predicted that the addition of W improves the toughness of iridium alloys. The alloying of W weakens the covalency properties of the Ir-Ir bond (the ICOHP value increases from -0.8512 to -0.7923 eV). These phenomena result in a decrease in the energy barrier for grain slip.

摘要

铱具有出色的高温化学惰性,是放射性同位素电池的首选包覆材料。然而,其固有的室温脆性严重限制了它的应用。在本研究中,对纯铱和六种铱钨固溶体(IrW至IrW)进行了建模。通过第一性原理模拟研究了钨对铱固溶体合金的弹性性能、广义堆垛层错能和键合性能的影响,旨在找到克服铱固有脆性的方法。随着钨浓度从0增加到18.75原子百分比,计算得到的柯西压力(-)从-22 GPa增加到5 GPa,普格比(/)从1.60增加到1.72,本征堆垛层错能从337.80 mJ/m降低到21.16 mJ/m,不稳定堆垛层错能从636.90 mJ/m降低到547.39 mJ/m。根据这些结果,预测添加钨可提高铱合金的韧性。钨的合金化削弱了Ir-Ir键的共价性(ICOHP值从-0.8512 eV增加到-0.7923 eV)。这些现象导致晶粒滑移的能垒降低。

https://cdn.ncbi.nlm.nih.gov/pmc/blobs/5ad5/12348678/7e4ba731506e/materials-18-03629-g001.jpg

文献检索

告别复杂PubMed语法,用中文像聊天一样搜索,搜遍4000万医学文献。AI智能推荐,让科研检索更轻松。

立即免费搜索

文件翻译

保留排版,准确专业,支持PDF/Word/PPT等文件格式,支持 12+语言互译。

免费翻译文档

深度研究

AI帮你快速写综述,25分钟生成高质量综述,智能提取关键信息,辅助科研写作。

立即免费体验