• 文献检索
  • 文档翻译
  • 深度研究
  • 学术资讯
  • Suppr Zotero 插件Zotero 插件
  • 邀请有礼
  • 套餐&价格
  • 历史记录
应用&插件
Suppr Zotero 插件Zotero 插件浏览器插件Mac 客户端Windows 客户端微信小程序
定价
高级版会员购买积分包购买API积分包
服务
文献检索文档翻译深度研究API 文档MCP 服务
关于我们
关于 Suppr公司介绍联系我们用户协议隐私条款
关注我们

Suppr 超能文献

核心技术专利:CN118964589B侵权必究
粤ICP备2023148730 号-1Suppr @ 2026

文献检索

告别复杂PubMed语法,用中文像聊天一样搜索,搜遍4000万医学文献。AI智能推荐,让科研检索更轻松。

立即免费搜索

文件翻译

保留排版,准确专业,支持PDF/Word/PPT等文件格式,支持 12+语言互译。

免费翻译文档

深度研究

AI帮你快速写综述,25分钟生成高质量综述,智能提取关键信息,辅助科研写作。

立即免费体验

不同渗层梯度位置的20CrMnTi齿轮钢磨损性能研究

Study on the Wear Performance of 20CrMnTi Gear Steel with Different Penetration Gradient Positions.

作者信息

Zhang Yingtao, Wei Shaokui, Yang Wuxin, Guan Jiajian, Li Gong

机构信息

College of Mechanical & Electrical Engineering, Hohai University, Changzhou 213200, China.

Department of Chemical and Materials Engineering, University of Auckland, Auckland 1010, New Zealand.

出版信息

Materials (Basel). 2025 Aug 6;18(15):3685. doi: 10.3390/ma18153685.

DOI:10.3390/ma18153685
PMID:40805563
原文链接:https://pmc.ncbi.nlm.nih.gov/articles/PMC12348476/
Abstract

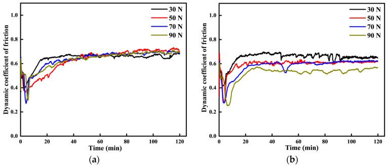
This study investigates the wear performance of 20CrMnTi steel, a commonly used material for spiral bevel gears, after heat treatment, with a focus on the microstructural evolution and wear behavior in both the surface and gradient direction of the carburized layer. The results show that the microstructure composition in the gradient direction of the carburized layer gradually transitions from martensite and residual austenite to a martensite-bainite mixed structure, and eventually transforms to fully bainitic in the matrix. With the extension of carburizing time, both the effective carburized layer depth and the hardened layer depth significantly increase. Wear track morphology analysis reveals that the wear track depth gradually becomes shallower and narrower, and the wear rate increases significantly with increasing load. However, the friction coefficient shows little sensitivity to changes in carburizing time and load. Further investigations show that as the carburized layer depth increases, the carbon concentration and hardness of the samples gradually decrease, resulting in an increase in the average wear rate and a progressive worsening of wear severity. After the wear tests, different depths of plowing grooves, spalling, and fish-scale-like features were observed in the wear regions. Additionally, with the increase in load and carburized layer depth, both the width and depth of the wear tracks significantly increased. The research results provide a theoretical basis for optimizing the surface carburizing process of 20CrMnTi steel and improving its wear resistance.

摘要

本研究调查了常用的螺旋锥齿轮材料20CrMnTi钢在热处理后的磨损性能,重点关注渗碳层表面和梯度方向的微观结构演变及磨损行为。结果表明,渗碳层梯度方向的微观结构组成从马氏体和残余奥氏体逐渐过渡到马氏体-贝氏体混合结构,最终在基体中转变为完全贝氏体。随着渗碳时间的延长,有效渗碳层深度和硬化层深度均显著增加。磨损轨迹形态分析表明,磨损轨迹深度逐渐变浅变窄,磨损率随载荷增加而显著增大。然而,摩擦系数对渗碳时间和载荷的变化敏感性较小。进一步研究表明,随着渗碳层深度增加,样品的碳浓度和硬度逐渐降低,导致平均磨损率增加,磨损严重程度逐渐恶化。磨损试验后,在磨损区域观察到不同深度的犁沟、剥落和鱼鳞状特征。此外,随着载荷和渗碳层深度的增加,磨损轨迹的宽度和深度均显著增加。研究结果为优化20CrMnTi钢的表面渗碳工艺及提高其耐磨性提供了理论依据。

https://cdn.ncbi.nlm.nih.gov/pmc/blobs/f941/12348476/9b7d006ae802/materials-18-03685-g017.jpg
https://cdn.ncbi.nlm.nih.gov/pmc/blobs/f941/12348476/a503eb551b85/materials-18-03685-g001.jpg
https://cdn.ncbi.nlm.nih.gov/pmc/blobs/f941/12348476/9c0a7b81c454/materials-18-03685-g002.jpg
https://cdn.ncbi.nlm.nih.gov/pmc/blobs/f941/12348476/03f56996d4b2/materials-18-03685-g003.jpg
https://cdn.ncbi.nlm.nih.gov/pmc/blobs/f941/12348476/b0048a273d68/materials-18-03685-g004.jpg
https://cdn.ncbi.nlm.nih.gov/pmc/blobs/f941/12348476/8c79b7a71c66/materials-18-03685-g005.jpg
https://cdn.ncbi.nlm.nih.gov/pmc/blobs/f941/12348476/4a3adda8f4b6/materials-18-03685-g006.jpg
https://cdn.ncbi.nlm.nih.gov/pmc/blobs/f941/12348476/e8397076f7b0/materials-18-03685-g007a.jpg
https://cdn.ncbi.nlm.nih.gov/pmc/blobs/f941/12348476/a4776f375512/materials-18-03685-g008.jpg
https://cdn.ncbi.nlm.nih.gov/pmc/blobs/f941/12348476/d7a3523183b7/materials-18-03685-g009a.jpg
https://cdn.ncbi.nlm.nih.gov/pmc/blobs/f941/12348476/4eb635fca9d2/materials-18-03685-g010.jpg
https://cdn.ncbi.nlm.nih.gov/pmc/blobs/f941/12348476/89e75177c9e4/materials-18-03685-g011.jpg
https://cdn.ncbi.nlm.nih.gov/pmc/blobs/f941/12348476/aaa72592761c/materials-18-03685-g012.jpg
https://cdn.ncbi.nlm.nih.gov/pmc/blobs/f941/12348476/21f43aa1a284/materials-18-03685-g013.jpg
https://cdn.ncbi.nlm.nih.gov/pmc/blobs/f941/12348476/fe36eaf4c3a7/materials-18-03685-g014a.jpg
https://cdn.ncbi.nlm.nih.gov/pmc/blobs/f941/12348476/b03b3757cc7d/materials-18-03685-g015.jpg
https://cdn.ncbi.nlm.nih.gov/pmc/blobs/f941/12348476/b687d58cb02d/materials-18-03685-g016.jpg
https://cdn.ncbi.nlm.nih.gov/pmc/blobs/f941/12348476/9b7d006ae802/materials-18-03685-g017.jpg
https://cdn.ncbi.nlm.nih.gov/pmc/blobs/f941/12348476/a503eb551b85/materials-18-03685-g001.jpg
https://cdn.ncbi.nlm.nih.gov/pmc/blobs/f941/12348476/9c0a7b81c454/materials-18-03685-g002.jpg
https://cdn.ncbi.nlm.nih.gov/pmc/blobs/f941/12348476/03f56996d4b2/materials-18-03685-g003.jpg
https://cdn.ncbi.nlm.nih.gov/pmc/blobs/f941/12348476/b0048a273d68/materials-18-03685-g004.jpg
https://cdn.ncbi.nlm.nih.gov/pmc/blobs/f941/12348476/8c79b7a71c66/materials-18-03685-g005.jpg
https://cdn.ncbi.nlm.nih.gov/pmc/blobs/f941/12348476/4a3adda8f4b6/materials-18-03685-g006.jpg
https://cdn.ncbi.nlm.nih.gov/pmc/blobs/f941/12348476/e8397076f7b0/materials-18-03685-g007a.jpg
https://cdn.ncbi.nlm.nih.gov/pmc/blobs/f941/12348476/a4776f375512/materials-18-03685-g008.jpg
https://cdn.ncbi.nlm.nih.gov/pmc/blobs/f941/12348476/d7a3523183b7/materials-18-03685-g009a.jpg
https://cdn.ncbi.nlm.nih.gov/pmc/blobs/f941/12348476/4eb635fca9d2/materials-18-03685-g010.jpg
https://cdn.ncbi.nlm.nih.gov/pmc/blobs/f941/12348476/89e75177c9e4/materials-18-03685-g011.jpg
https://cdn.ncbi.nlm.nih.gov/pmc/blobs/f941/12348476/aaa72592761c/materials-18-03685-g012.jpg
https://cdn.ncbi.nlm.nih.gov/pmc/blobs/f941/12348476/21f43aa1a284/materials-18-03685-g013.jpg
https://cdn.ncbi.nlm.nih.gov/pmc/blobs/f941/12348476/fe36eaf4c3a7/materials-18-03685-g014a.jpg
https://cdn.ncbi.nlm.nih.gov/pmc/blobs/f941/12348476/b03b3757cc7d/materials-18-03685-g015.jpg
https://cdn.ncbi.nlm.nih.gov/pmc/blobs/f941/12348476/b687d58cb02d/materials-18-03685-g016.jpg
https://cdn.ncbi.nlm.nih.gov/pmc/blobs/f941/12348476/9b7d006ae802/materials-18-03685-g017.jpg

相似文献

1
Study on the Wear Performance of 20CrMnTi Gear Steel with Different Penetration Gradient Positions.不同渗层梯度位置的20CrMnTi齿轮钢磨损性能研究
Materials (Basel). 2025 Aug 6;18(15):3685. doi: 10.3390/ma18153685.
2
Effect of Ultrasonic Shot Peening Pretreatment on Carburizing Heat Treatment Process of 20CrMnTi Gear Steel.超声喷丸预处理对20CrMnTi齿轮钢渗碳热处理工艺的影响
ACS Appl Mater Interfaces. 2025 Apr 30;17(17):25934-25950. doi: 10.1021/acsami.4c22686. Epub 2025 Apr 15.
3
Prescription of Controlled Substances: Benefits and Risks管制药品的处方:益处与风险
4
Study on Microstructure and Wear Resistance of Multi-Layer Laser Cladding Fe901 Coating on 65 Mn Steel.65Mn钢表面多层激光熔覆Fe901涂层的组织与耐磨性研究
Materials (Basel). 2025 Jul 26;18(15):3505. doi: 10.3390/ma18153505.
5
Nocardia Keratitis诺卡菌性角膜炎
6
Home treatment for mental health problems: a systematic review.心理健康问题的居家治疗:一项系统综述
Health Technol Assess. 2001;5(15):1-139. doi: 10.3310/hta5150.
7
Effects of Pretreatment Processes on Grain Size and Wear Resistance of Laser-Induction Hybrid Phase Transformation Hardened Layer of 42CrMo Steel.预处理工艺对42CrMo钢激光-感应复合相变硬化层晶粒尺寸及耐磨性的影响
Materials (Basel). 2025 Jun 7;18(12):2695. doi: 10.3390/ma18122695.
8
Mechanism of the Microstructural Evolution of 18Cr2Ni4WA Steel during Vacuum Low-Pressure Carburizing Heat Treatment and Its Effect on Case Hardness.18Cr2Ni4WA钢真空低压渗碳热处理过程中的微观组织演变机制及其对表面硬度的影响
Materials (Basel). 2020 May 20;13(10):2352. doi: 10.3390/ma13102352.
9
Elbow Fractures Overview肘部骨折概述
10
Systemic pharmacological treatments for chronic plaque psoriasis: a network meta-analysis.系统性药理学治疗慢性斑块状银屑病:网络荟萃分析。
Cochrane Database Syst Rev. 2021 Apr 19;4(4):CD011535. doi: 10.1002/14651858.CD011535.pub4.

本文引用的文献

1
Study on the Influences of Adding Rare Earth Ce on the Precipitation Behaviors of TiN Inclusions in 20CrMnTi.稀土铈对20CrMnTi中TiN夹杂物析出行为影响的研究
Materials (Basel). 2023 Aug 12;16(16):5598. doi: 10.3390/ma16165598.
2
Control of Tooth Form Deformation in Heat Treatment of Spiral Bevel Gears Based on Reverse Adjustment of Cutting Parameters.基于切削参数反向调整的弧齿锥齿轮热处理齿形变形控制
Materials (Basel). 2023 Jun 4;16(11):4183. doi: 10.3390/ma16114183.
3
Effect of Carbon Partition and Precipitation on Wear Resistance of Carburized Layer in Heavy-Duty Gear.
碳的分配和析出对重载齿轮渗碳层耐磨性的影响
Materials (Basel). 2021 Nov 17;14(22):6958. doi: 10.3390/ma14226958.
4
Spiral Bevel Gears Face Roughness Prediction Produced by CNC End Milling Centers.数控端面铣削中心加工的螺旋锥齿轮齿面粗糙度预测
Materials (Basel). 2018 Jul 27;11(8):1301. doi: 10.3390/ma11081301.