Suppr超能文献

通过在热胁迫下增强抗氧化防御和光合效率提高马铃薯(L.)的耐热性。

Enhances Thermotolerance in Potato ( L.) by Enhancing Antioxidant Defense and Photosynthetic Efficiency Under Heat Stress.

作者信息

Zhu Xi, Majeed Yasir, Wang Kaitong, Duan Xiaoqin, Guan Nengkang, Luo Junfu, Zheng Haifei, Zou Huafen, Jin Hui, Chen Zhuo, Zhang Yu

机构信息

Key Laboratory of Tropical Fruit Biology, Ministry of Agriculture and Rural Affairs/Key Laboratory of Hainan Province for Postharvest Physiology and Technology of Tropical Horticultural Products, South Subtropical Crops Research Institute, Chinese Academy of Tropical Agricultural Sciences, Zhanjiang 524091, China.

National Key Laboratory for Tropical Crop Breeding, Sanya Research Institute, Chinese Academy of Tropical Agricultural Sciences, Sanya 572025, China.

出版信息

Plants (Basel). 2025 Jul 24;14(15):2289. doi: 10.3390/plants14152289.

Abstract

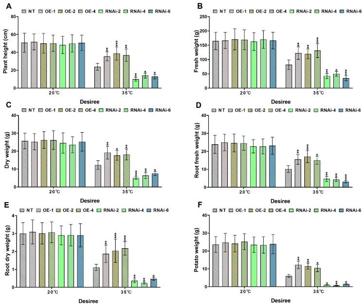
The functional role of MAPKK genes in potato ( L.) under high-temperature stress remains unexplored, despite their critical importance in stress signaling and yield protection. We characterized StMAPKK1, a novel group D MAPKK localized to plasma membrane/cytoplasm. Quantitative real-time polymerase chain reaction (qRT-PCR) revealed cultivar-specific upregulation in potato ('' and '') leaves under heat stress (25 °C, 30 °C, and 35 °C). Transgenic lines overexpressing (OE) exhibited elevated antioxidant enzyme activity, including ascorbate peroxidase (APX), catalase (CAT), superoxide dismutase (SOD), and peroxidase (POD), mitigating oxidative damage. Increased proline and chlorophyll accumulation and reduced oxidative stress markers, hydrogen peroxide (HO) and malondialdehyde (MDA), indicate improved cellular redox homeostasis. The upregulation of key antioxidant and heat stress-responsive genes (, , , , , , and //) strengthened the enzymatic defense system, enhanced thermotolerance, and improved photosynthetic efficiency, with significant improvements in net photosynthetic rate (Pn), transpiration rate (E), and stomatal conductance (Gs) under heat stress (35 °C) in -OE plants. Superior growth and biomass (plant height, plant and its root fresh and dry weights, and tuber yield) accumulation, confirming the positive role of in thermotolerance. Conversely, RNA interference (RNAi)-mediated suppression of led to a reduction in enzymatic activity, proline content, and chlorophyll levels, exacerbating oxidative stress. Downregulation of antioxidant-related genes impaired ROS scavenging capacity and declines in photosynthetic efficiency, growth, and biomass, accompanied by elevated HO and MDA accumulation, highlighting the essential role of in heat stress adaptation. These findings highlight 's potential as a key genetic target for breeding heat-tolerant potato varieties, offering a foundation for improving crop resilience in warming climates.

摘要

尽管MAPKK基因在胁迫信号传导和产量保护中至关重要,但高温胁迫下其在马铃薯(L.)中的功能作用仍未得到探索。我们对定位于质膜/细胞质的新型D组成员MAPKK——StMAPKK1进行了表征。定量实时聚合酶链反应(qRT-PCR)显示,在热胁迫(25°C、30°C和35°C)下,马铃薯(“”和“”)叶片中该基因呈现品种特异性上调。过表达(OE)的转基因株系表现出抗氧化酶活性升高,包括抗坏血酸过氧化物酶(APX)、过氧化氢酶(CAT)、超氧化物歧化酶(SOD)和过氧化物酶(POD),减轻了氧化损伤。脯氨酸和叶绿素积累增加,氧化应激标志物过氧化氢(HO)和丙二醛(MDA)减少,表明细胞氧化还原稳态得到改善。关键抗氧化和热胁迫响应基因(、、、、、、和//)的上调加强了酶促防御系统,增强了耐热性,提高了光合效率,在热胁迫(35°C)下,-OE植株的净光合速率(Pn)、蒸腾速率(E)和气孔导度(Gs)有显著改善。其生长和生物量(株高、植株及其根的鲜重和干重以及块茎产量)积累优异,证实了在耐热性中的积极作用。相反,RNA干扰(RNAi)介导的的抑制导致酶活性、脯氨酸含量和叶绿素水平降低,加剧了氧化应激。抗氧化相关基因的下调损害了活性氧清除能力,光合效率、生长和生物量下降,同时HO和MDA积累增加,突出了在热胁迫适应中的重要作用。这些发现凸显了作为培育耐热马铃薯品种关键遗传靶点的潜力,为提高作物在气候变暖环境下的恢复力提供了基础。

https://cdn.ncbi.nlm.nih.gov/pmc/blobs/5352/12348817/dd3f9eee0969/plants-14-02289-g001.jpg

相似文献

2
stimulates thermotolerance in potato ( L.) through antioxidant and photosynthetic modulation.
Front Plant Sci. 2025 Jul 21;16:1634338. doi: 10.3389/fpls.2025.1634338. eCollection 2025.
3
Functional analysis of gene in response to heat stress in potato ( L.).
Front Plant Sci. 2025 Jun 30;16:1617625. doi: 10.3389/fpls.2025.1617625. eCollection 2025.
5
Evaluating the potential of in alleviation of aluminium stress in .
3 Biotech. 2025 Jan;15(1):34. doi: 10.1007/s13205-024-04192-3. Epub 2025 Jan 6.
8
Regulation of APX, SOD, and PAL genes by chitosan under salt stress in rapeseed (Brassica napus L.).
BMC Plant Biol. 2025 Jul 2;25(1):824. doi: 10.1186/s12870-025-06815-0.

本文引用的文献

1
Biofortification of potato nutrition.
J Adv Res. 2024 Oct 30. doi: 10.1016/j.jare.2024.10.033.
2
Identification of heat stress-related genomic regions by genome-wide association study in Solanum tuberosum.
Genomics. 2024 Nov;116(6):110954. doi: 10.1016/j.ygeno.2024.110954. Epub 2024 Oct 28.
4
responds to heat stress by regulating potato growth, photosynthesis, and antioxidant defenses.
Front Plant Sci. 2024 May 16;15:1392425. doi: 10.3389/fpls.2024.1392425. eCollection 2024.
5
Positively Regulates Response to Drought and Salt Stress in Potato.
Int J Mol Sci. 2024 Mar 25;25(7):3662. doi: 10.3390/ijms25073662.
6
StHsfB5 Promotes Heat Resistance by Directly Regulating the Expression of Genes in Potato.
Int J Mol Sci. 2023 Nov 20;24(22):16528. doi: 10.3390/ijms242216528.
7
functions as a thermos-tolerant gene in regulating heat stress tolerance in potato ().
Front Plant Sci. 2023 Jun 20;14:1218962. doi: 10.3389/fpls.2023.1218962. eCollection 2023.
8
The interactive effects of drought and heat stress on photosynthetic efficiency and biochemical defense mechanisms of species.
Plant Environ Interact. 2022 Oct 13;3(5):212-225. doi: 10.1002/pei3.10092. eCollection 2022 Oct.
9
Melatonin mediates elevated carbon dioxide-induced photosynthesis and thermotolerance in tomato.
J Pineal Res. 2023 Apr;74(3):e12858. doi: 10.1111/jpi.12858. Epub 2023 Feb 15.

文献AI研究员

20分钟写一篇综述,助力文献阅读效率提升50倍。

立即体验

用中文搜PubMed

大模型驱动的PubMed中文搜索引擎

马上搜索

文档翻译

学术文献翻译模型,支持多种主流文档格式。

立即体验