• 文献检索
  • 文档翻译
  • 深度研究
  • 学术资讯
  • Suppr Zotero 插件Zotero 插件
  • 邀请有礼
  • 套餐&价格
  • 历史记录
应用&插件
Suppr Zotero 插件Zotero 插件浏览器插件Mac 客户端Windows 客户端微信小程序
定价
高级版会员购买积分包购买API积分包
服务
文献检索文档翻译深度研究API 文档MCP 服务
关于我们
关于 Suppr公司介绍联系我们用户协议隐私条款
关注我们

Suppr 超能文献

核心技术专利:CN118964589B侵权必究
粤ICP备2023148730 号-1Suppr @ 2026

文献检索

告别复杂PubMed语法,用中文像聊天一样搜索,搜遍4000万医学文献。AI智能推荐,让科研检索更轻松。

立即免费搜索

文件翻译

保留排版,准确专业,支持PDF/Word/PPT等文件格式,支持 12+语言互译。

免费翻译文档

深度研究

AI帮你快速写综述,25分钟生成高质量综述,智能提取关键信息,辅助科研写作。

立即免费体验

昼夜节律性光照调控与褪黑素补充增强神经性疼痛大鼠模型中的吗啡镇痛作用。

Circadian Light Manipulation and Melatonin Supplementation Enhance Morphine Antinociception in a Neuropathic Pain Rat Model.

作者信息

Huang Nian-Cih, Wong Chih-Shung

机构信息

Department of Anesthesiology, Tri-Service General Hospital, Taipei 114, Taiwan.

Graduate Institute of Medical Sciences, National Defense Medical University, Taipei 114, Taiwan.

出版信息

Int J Mol Sci. 2025 Jul 30;26(15):7372. doi: 10.3390/ijms26157372.

DOI:10.3390/ijms26157372
PMID:40806499
原文链接:https://pmc.ncbi.nlm.nih.gov/articles/PMC12347545/
Abstract

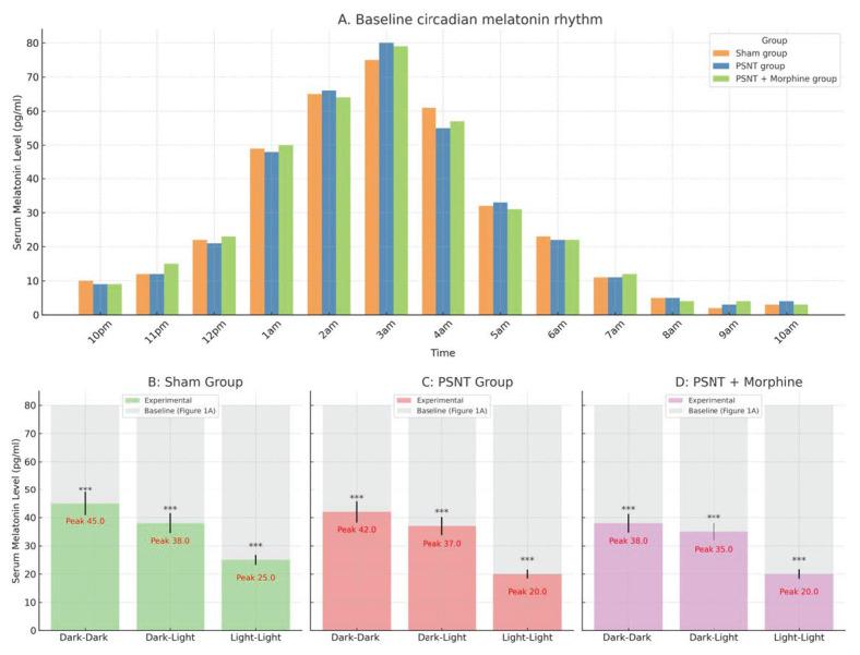
Disruption of circadian rhythms by abnormal light exposure and reduced melatonin secretion has been linked to heightened pain sensitivity and opioid tolerance. This study evaluated how environmental light manipulation and exogenous melatonin supplementation influence pain perception and morphine tolerance in a rat model of neuropathic pain induced by partial sciatic nerve transection (PSNT). Rats were exposed to constant darkness, constant light, or a 12 h/12 h light-dark cycle for one week before PSNT surgery. Behavioral assays and continuous intrathecal (i.t.) infusion of morphine, melatonin, or their combination were conducted over a 7-day period beginning immediately after PSNT. On Day 7, after discontinued drugs infusion, an acute intrathecal morphine challenge (15 µg, i.t.) was administered to assess tolerance expression. Constant light suppressed melatonin levels, exacerbated pain behaviors, and accelerated morphine tolerance. In contrast, circadian-aligned lighting preserved melatonin rhythms and mitigated these effects. Melatonin co-infusion attenuated morphine tolerance and enhanced morphine analgesia. Reduced pro-inflammatory cytokine expression and increase anti-inflammatory cytokine IL-10 level and suppressed astrocyte activation were also observed by melatonin co-infusion during morphine tolerance induction. These findings highlight the potential of melatonin and circadian regulation in improving opioid efficacy and reduced morphine tolerance in managing neuropathic pain.

摘要

异常光照和褪黑素分泌减少导致的昼夜节律紊乱与疼痛敏感性增强和阿片类药物耐受性增加有关。本研究评估了环境光照调控和外源性补充褪黑素对坐骨神经部分横断(PSNT)诱导的神经性疼痛大鼠模型中疼痛感知和吗啡耐受性的影响。在PSNT手术前一周,将大鼠置于持续黑暗、持续光照或12小时/12小时明暗循环环境中。在PSNT手术后立即开始,在7天的时间内进行行为学检测,并持续鞘内(i.t.)输注吗啡、褪黑素或它们的组合。在第7天,停止药物输注后,进行急性鞘内吗啡激发试验(15μg,i.t.)以评估耐受性表现。持续光照抑制了褪黑素水平,加剧了疼痛行为,并加速了吗啡耐受性。相比之下,符合昼夜节律的光照保留了褪黑素节律并减轻了这些影响。联合输注褪黑素减弱了吗啡耐受性并增强了吗啡镇痛作用。在吗啡耐受性诱导期间,联合输注褪黑素还观察到促炎细胞因子表达减少、抗炎细胞因子IL-10水平升高以及星形胶质细胞活化受到抑制。这些发现突出了褪黑素和昼夜节律调节在改善阿片类药物疗效以及降低吗啡耐受性以治疗神经性疼痛方面的潜力。

https://cdn.ncbi.nlm.nih.gov/pmc/blobs/808d/12347545/1dffe54d4b8e/ijms-26-07372-g006.jpg
https://cdn.ncbi.nlm.nih.gov/pmc/blobs/808d/12347545/c98fb51cf2dc/ijms-26-07372-g001.jpg
https://cdn.ncbi.nlm.nih.gov/pmc/blobs/808d/12347545/10c28873ad83/ijms-26-07372-g002.jpg
https://cdn.ncbi.nlm.nih.gov/pmc/blobs/808d/12347545/1129fc7944d3/ijms-26-07372-g003.jpg
https://cdn.ncbi.nlm.nih.gov/pmc/blobs/808d/12347545/bfc58f72298c/ijms-26-07372-g004.jpg
https://cdn.ncbi.nlm.nih.gov/pmc/blobs/808d/12347545/5607819aa3d5/ijms-26-07372-g005.jpg
https://cdn.ncbi.nlm.nih.gov/pmc/blobs/808d/12347545/1dffe54d4b8e/ijms-26-07372-g006.jpg
https://cdn.ncbi.nlm.nih.gov/pmc/blobs/808d/12347545/c98fb51cf2dc/ijms-26-07372-g001.jpg
https://cdn.ncbi.nlm.nih.gov/pmc/blobs/808d/12347545/10c28873ad83/ijms-26-07372-g002.jpg
https://cdn.ncbi.nlm.nih.gov/pmc/blobs/808d/12347545/1129fc7944d3/ijms-26-07372-g003.jpg
https://cdn.ncbi.nlm.nih.gov/pmc/blobs/808d/12347545/bfc58f72298c/ijms-26-07372-g004.jpg
https://cdn.ncbi.nlm.nih.gov/pmc/blobs/808d/12347545/5607819aa3d5/ijms-26-07372-g005.jpg
https://cdn.ncbi.nlm.nih.gov/pmc/blobs/808d/12347545/1dffe54d4b8e/ijms-26-07372-g006.jpg

相似文献

1
Circadian Light Manipulation and Melatonin Supplementation Enhance Morphine Antinociception in a Neuropathic Pain Rat Model.昼夜节律性光照调控与褪黑素补充增强神经性疼痛大鼠模型中的吗啡镇痛作用。
Int J Mol Sci. 2025 Jul 30;26(15):7372. doi: 10.3390/ijms26157372.
2
Prescription of Controlled Substances: Benefits and Risks管制药品的处方:益处与风险
3
Morphine for chronic neuropathic pain in adults.吗啡用于成人慢性神经性疼痛。
Cochrane Database Syst Rev. 2017 May 22;5(5):CD011669. doi: 10.1002/14651858.CD011669.pub2.
4
Evidence for the Induction of Analgesic Cross-Tolerance Between Opioid and Apelin/APJ Systems in Male Rats.雄性大鼠阿片类和 Apelin/APJ 系统之间诱导镇痛交叉耐受的证据。
J Stud Alcohol Drugs. 2024 Sep;85(5):704-712. doi: 10.15288/jsad.23-00377. Epub 2024 Mar 22.
5
Biasing G Downstream Signaling with Gallein Inhibits Development of Morphine Tolerance and Potentiates Morphine-Induced Nociception in a Tolerant State.用加兰他敏抑制 G 下游信号转导可抑制吗啡耐受状态下吗啡耐受的发展,并增强吗啡诱导的痛觉过敏。
Mol Pharmacol. 2024 Jun 18;106(1):47-55. doi: 10.1124/molpharm.124.000875.
6
Sirtuin 3 Mediated by Spinal cMyc-Enhancer of Zeste Homology 2 Pathway Plays an Important Role in Human Immunodeficiency Virus-Related Neuropathic Pain Model.脊髓 cMyc-增强子结合同源物 2 通路介导的 Sirtuin 3 在人类免疫缺陷病毒相关性神经病理性疼痛模型中发挥重要作用。
Anesth Analg. 2024 Sep 1;139(3):647-659. doi: 10.1213/ANE.0000000000006873. Epub 2024 Mar 6.
7
Pharmacological modulation of neutrophils, in contrast to that of macrophages/microglia, is sex independent and delays the development of morphine tolerance in a mouse model of neuropathic pain.与巨噬细胞/小胶质细胞不同,中性粒细胞的药理学调节不具有性别依赖性,并且在神经性疼痛小鼠模型中可延缓吗啡耐受性的发展。
Biomed Pharmacother. 2025 Jun;187:118149. doi: 10.1016/j.biopha.2025.118149. Epub 2025 May 10.
8
Circadian rhythm disruption aggravates alveolar bone loss in rat apical periodontitis.昼夜节律紊乱加剧大鼠根尖周炎的牙槽骨丧失。
Int Endod J. 2025 May;58(5):744-756. doi: 10.1111/iej.14201. Epub 2025 Jan 27.
9
Reduced Accumbal Dopamine Efflux Via Orexin OX Receptors in Chronic Pain Models.慢性疼痛模型中通过食欲素OX受体减少伏隔核多巴胺外流
Eur J Neurosci. 2025 Jul;62(1):e70192. doi: 10.1111/ejn.70192.
10
Compounds with dual glutaminase inhibition and Nrf2 activation activities enhance morphine analgesia and reduce pain sensitization in chemotherapy-induced peripheral neuropathy mouse model.具有双重谷氨酰胺酶抑制和Nrf2激活活性的化合物可增强吗啡镇痛作用,并减轻化疗诱导的周围神经病变小鼠模型中的疼痛敏化。
J Pharmacol Exp Ther. 2025 Jun;392(6):103583. doi: 10.1016/j.jpet.2025.103583. Epub 2025 Apr 16.

本文引用的文献

1
The Role of TNF-α in Neuropathic Pain: An Immunotherapeutic Perspective.肿瘤坏死因子-α在神经性疼痛中的作用:免疫治疗视角
Life (Basel). 2025 May 14;15(5):785. doi: 10.3390/life15050785.
2
Novel Drug Targets and Emerging Pharmacotherapies in Neuropathic Pain.神经性疼痛的新型药物靶点与新兴药物疗法
Pharmaceutics. 2023 Jun 23;15(7):1799. doi: 10.3390/pharmaceutics15071799.
3
The disruptive relationship among circadian rhythms, pain, and opioids.昼夜节律、疼痛和阿片类药物之间的破坏关系。
Front Neurosci. 2023 Feb 15;17:1109480. doi: 10.3389/fnins.2023.1109480. eCollection 2023.
4
Melatonin Treatment for Sleep Disorders in Parkinson's Disease: A Meta-Analysis and Systematic Review.褪黑素治疗帕金森病睡眠障碍:一项荟萃分析与系统评价
Front Aging Neurosci. 2022 Feb 4;14:784314. doi: 10.3389/fnagi.2022.784314. eCollection 2022.
5
Melatonin attenuates morphine-induced conditioned place preference in Wistar rats.褪黑素可减轻 Wistar 大鼠吗啡诱导的条件性位置偏爱。
Brain Behav. 2021 Dec;11(12):e2397. doi: 10.1002/brb3.2397. Epub 2021 Oct 28.
6
Circadian rhythms and pain.昼夜节律与疼痛。
Neurosci Biobehav Rev. 2021 Oct;129:296-306. doi: 10.1016/j.neubiorev.2021.08.004. Epub 2021 Aug 8.
7
The Circadian Hormone Melatonin Inhibits Morphine-Induced Tolerance and Inflammation via the Activation of Antioxidative Enzymes.昼夜节律激素褪黑素通过激活抗氧化酶抑制吗啡诱导的耐受性和炎症。
Antioxidants (Basel). 2020 Aug 22;9(9):780. doi: 10.3390/antiox9090780.
8
Melatonin alleviates morphine analgesic tolerance in mice by decreasing NLRP3 inflammasome activation.褪黑素通过降低 NLRP3 炎性小体的激活来减轻小鼠的吗啡镇痛耐受。
Redox Biol. 2020 Jul;34:101560. doi: 10.1016/j.redox.2020.101560. Epub 2020 Apr 29.
9
Comparison of the effects of preoperative melatonin or vitamin C administration on postoperative analgesia.术前给予褪黑素或维生素 C 对术后镇痛效果的比较。
Bosn J Basic Med Sci. 2020 Feb 5;20(1):117-124. doi: 10.17305/bjbms.2019.4379.
10
Sleep deficiency and chronic pain: potential underlying mechanisms and clinical implications.睡眠不足与慢性疼痛:潜在的发病机制与临床意义。
Neuropsychopharmacology. 2020 Jan;45(1):205-216. doi: 10.1038/s41386-019-0439-z. Epub 2019 Jun 17.