Suppr超能文献

用作钙补充剂的热加工牡蛎壳粉的抗菌特性

Antimicrobial Properties of Thermally Processed Oyster Shell Powder for Use as Calcium Supplement.

作者信息

Ahn Sungmo, Lee Soohwan, Lim Seokwon

机构信息

Department of Food Science & Biotechnology, Gachon University, Sujeong-gu, Seongnam-si 13120, Republic of Korea.

出版信息

Foods. 2025 Jul 23;14(15):2579. doi: 10.3390/foods14152579.

Abstract

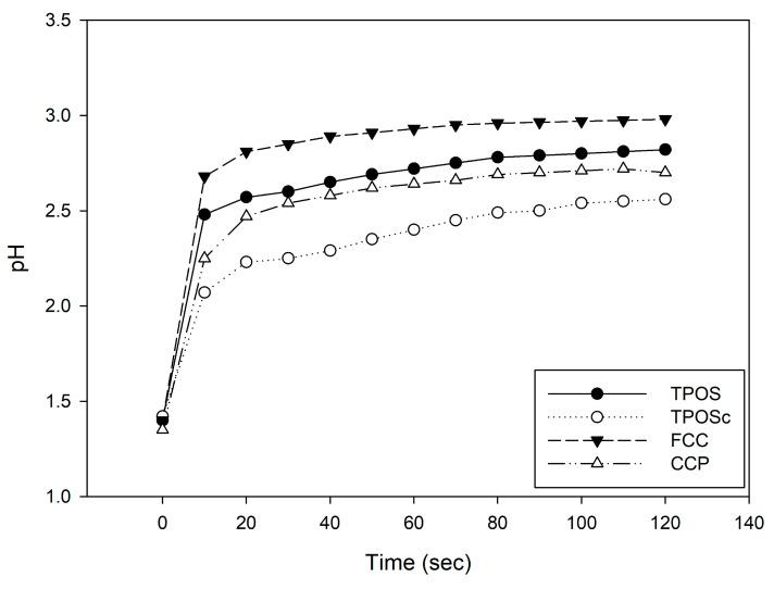
Oyster shells, though rich in calcium, are mostly discarded and contribute to environmental issues. Developing calcium-based materials with antimicrobial functionality offers a promising solution. However, their low bioavailability limits their direct use, requiring processing to enhance their applicability. Therefore, this study aims to evaluate the physicochemical properties and antimicrobial activity of thermally processed pulverized oyster shells (TPOS) and citric acid-treated TPOS (TPOSc) compared with those of fibrous calcium carbonate (FCC) and coral-derived calcium product (CCP), which are used as reference materials. The solubility values were 0.7 mg/g for FCC, 0.5 mg/g for TPOS, 0.4 mg/g for TPOSc, and 0.05 mg/g for CCP. The average particle sizes were 476 (FCC), 1000 (TPOS and TPOSc), and 1981 nm (CCP). Scanning electron microscopy (SEM), energy-dispersive X-ray spectroscopy (EDS), and X-ray diffraction (XRD) analyses revealed calcium ion release and structural changes in TPOS and TPOSc. Antibacterial testing further confirmed that these samples exhibited significant antimicrobial activity. Furthermore, to assess their practical applicability, TPOS and TPOSc samples with antimicrobial properties were incorporated into rice cakes. All samples retained antimicrobial activity at 0.3 wt%, while higher concentrations led to deterioration in their textural properties. These findings support the potential of thermally processed oyster shell powders for food applications that require microbial control with minimal impact on product quality.

摘要

牡蛎壳虽然富含钙,但大多被丢弃,还会造成环境问题。开发具有抗菌功能的钙基材料提供了一个有前景的解决方案。然而,它们的低生物利用度限制了其直接使用,需要进行加工以提高其适用性。因此,本研究旨在评估热加工粉碎牡蛎壳(TPOS)和柠檬酸处理的TPOS(TPOSc)与用作参考材料的纤维状碳酸钙(FCC)和珊瑚衍生钙产品(CCP)相比的物理化学性质和抗菌活性。溶解度值分别为:FCC为0.7mg/g、TPOS为0.5mg/g、TPOSc为0.4mg/g、CCP为0.05mg/g。平均粒径分别为:476nm(FCC)、1000nm(TPOS和TPOSc)、1981nm(CCP)。扫描电子显微镜(SEM)、能量色散X射线光谱(EDS)和X射线衍射(XRD)分析揭示了TPOS和TPOSc中的钙离子释放和结构变化。抗菌测试进一步证实这些样品表现出显著的抗菌活性。此外,为了评估它们的实际适用性,将具有抗菌特性的TPOS和TPOSc样品加入到米糕中。所有样品在0.3wt%时都保留了抗菌活性,而更高的浓度会导致其质地特性变差。这些发现支持了热加工牡蛎壳粉在需要控制微生物且对产品质量影响最小的食品应用中的潜力。

https://cdn.ncbi.nlm.nih.gov/pmc/blobs/da7b/12346358/a365db85cc48/foods-14-02579-g001.jpg

文献检索

告别复杂PubMed语法,用中文像聊天一样搜索,搜遍4000万医学文献。AI智能推荐,让科研检索更轻松。

立即免费搜索

文件翻译

保留排版,准确专业,支持PDF/Word/PPT等文件格式,支持 12+语言互译。

免费翻译文档

深度研究

AI帮你快速写综述,25分钟生成高质量综述,智能提取关键信息,辅助科研写作。

立即免费体验