Suppr超能文献

用于全氟和多氟烷基物质(PFAS)结合的咖啡因、核黄素和姜黄素改良粘土

Caffeine, riboflavin and curcumin amended clays for PFAS binding.

作者信息

Xenophontos Xenophon, Oladele Johnson O, Wang Meichen, Lilly Kendall, Martinez Laura, Phillips Timothy D, Tamamis Phanourios

机构信息

Artie McFerrin Department of Chemical Engineering, College of Engineering, Texas A&M University, College Station, TX 77843, USA.

Department of Veterinary Physiology and Pharmacology, College of Veterinary Medicine and Biomedical Sciences, Texas A&M University, College Station, TX 77843, USA.

出版信息

Comput Chem Eng. 2025 Oct;201. doi: 10.1016/j.compchemeng.2025.109215. Epub 2025 May 29.

Abstract

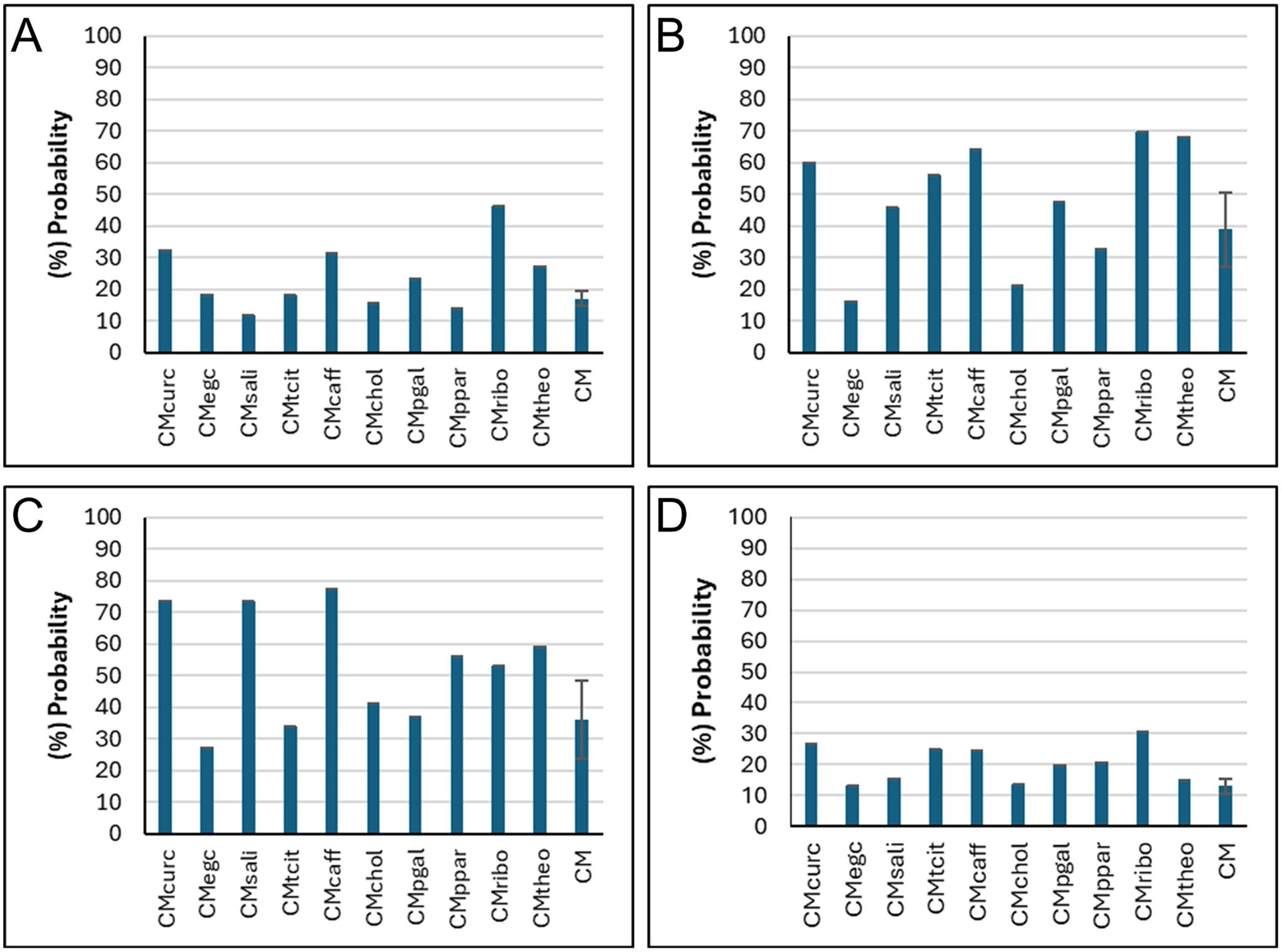
Per- and polyfluoroalkyl substances (PFAS) are usually found in mixtures with other toxic compounds. Therefore, the study and design of broad acting sorbents, such as clays, is an attractive sorption solution. We previously demonstrated that clays amended with choline and carnitine could enhance PFAS sorption properties. Here, we used computations to screen from a pool of chemical compounds, which are either supplements or generally recognized as safe, and identified particular supplements that can be amended to clay and potentially improve its sorbing capacity for PFAS in acidic conditions. Simulations were initially used as a tool to identify promising amendments to the clay, while subsequently, simulations evaluated which selected amendments could potentially bind PFAS. Our results showed that caffeine-, riboflavin- and curcumin-amended clays can, in particular instances, enhance the binding of different PFAS compared to parent clays. Experiments investigated the sorption properties of the designed systems. Notably, caffeine-amended clay significantly enhanced GenX binding when compared to parent clay, with its binding capacity being increased from 0.15 mol/kg to 1.17 mol/kg. Caffeine-amended clay also enhanced binding for PFOS by 125%, compared to the parent clay, and for PFOA to a lesser extent. Additionally, riboflavin-amended clay enhanced binding for GenX, PFOA and PFOS by 120%, 23%, and 70%, respectively, compared to the parent clay. Our studies provide atomistic details into their mechanisms of action. Both the novel computational library of chemical compound-amended clays and the approach utilized, combining computations and experiments, could enhance the future design of novel amended clays for other toxins.

摘要

全氟和多氟烷基物质(PFAS)通常与其他有毒化合物混合存在。因此,研究和设计具有广泛作用的吸附剂,如粘土,是一种有吸引力的吸附解决方案。我们之前证明,用胆碱和肉碱改性的粘土可以增强PFAS的吸附性能。在这里,我们通过计算从一系列化合物中进行筛选,这些化合物要么是补充剂,要么被普遍认为是安全的,并确定了可以添加到粘土中并有可能提高其在酸性条件下对PFAS吸附能力的特定补充剂。模拟最初被用作识别粘土有前景的改性剂的工具,随后,模拟评估了哪些选定的改性剂可能与PFAS结合。我们的结果表明,在特定情况下,与原始粘土相比,用咖啡因、核黄素和姜黄素改性的粘土可以增强对不同PFAS的结合。实验研究了设计系统的吸附性能。值得注意的是,与原始粘土相比,用咖啡因改性的粘土显著增强了对GenX的结合,其结合能力从0.15 mol/kg提高到1.17 mol/kg。与原始粘土相比,用咖啡因改性的粘土对PFOS的结合也增强了125%,对PFOA的结合增强程度较小。此外,与原始粘土相比,用核黄素改性的粘土对GenX、PFOA和PFOS的结合分别增强了120%、23%和70%。我们的研究提供了它们作用机制的原子细节。化学化合物改性粘土的新型计算库以及所采用的将计算和实验相结合的方法,都可以促进未来针对其他毒素的新型改性粘土的设计。

https://cdn.ncbi.nlm.nih.gov/pmc/blobs/ef32/12369673/8214018cf430/nihms-2093062-f0001.jpg

文献检索

告别复杂PubMed语法,用中文像聊天一样搜索,搜遍4000万医学文献。AI智能推荐,让科研检索更轻松。

立即免费搜索

文件翻译

保留排版,准确专业,支持PDF/Word/PPT等文件格式,支持 12+语言互译。

免费翻译文档

深度研究

AI帮你快速写综述,25分钟生成高质量综述,智能提取关键信息,辅助科研写作。

立即免费体验