Suppr超能文献

来自[具体来源未明确]的次生代谢产物保护脂多糖损伤的内皮细胞中的线粒体功能。 (注:原英文题目表述不太完整规范,正常应该有更明确的主语等信息,这里是尽量按字面意思翻译)

Secondary Metabolites from Protect Mitochondrial Function in LPS-Injured Endothelial Cells.

作者信息

Zhong Liwen, Lu Mengkai, Fang Huiqi, Li Chao, Qu Hua, Ding Gang

机构信息

State Key Laboratory of Bioactive Substances and Function of Natural Medicines, Institute of Medicinal Plant Development, Chinese Academy of Medical Sciences and Peking Union Medical College, Beijing 100193, China.

College of Traditional Chinese Medicine, Shandong University of Traditional Chinese Medicine, Jinan 250355, China.

出版信息

Pharmaceuticals (Basel). 2025 Jul 27;18(8):1125. doi: 10.3390/ph18081125.

Abstract

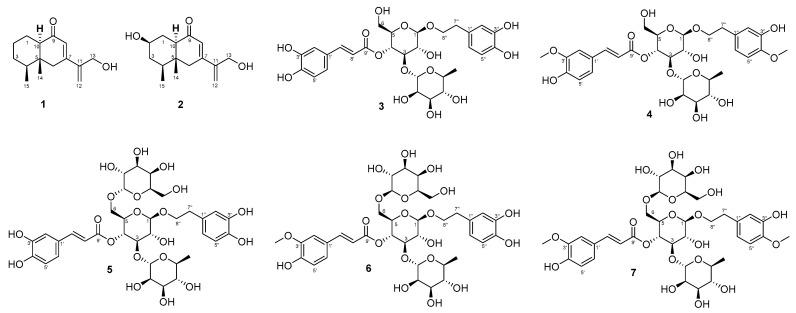
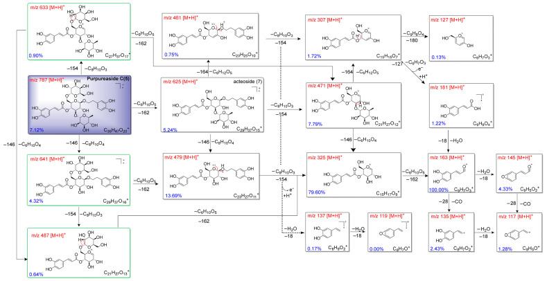
, a traditional Chinese herb, is commonly used to treat vascular-related disorders. Sepsis-associated vascular endothelial dysfunction is closely associated with mitochondrial damage. This study investigated the protective effects of secondary metabolites from against LPS-induced mitochondrial dysfunction in endothelial cells, providing potential therapeutic insights into sepsis-related vascular complications. : Phytochemical profiling of fresh roots was conducted, and the structures of new secondary metabolites ( and ) were elucidated through comprehensive spectroscopic analysis and ECD calculations. UPLC-Q-TOF-MS/MS characterized phenylethanoid glycosides. Mitochondrial function was assessed by measuring the membrane potential, ROS levels, and TOM20/DRP1 expression in LPS-injured HUVECs. : Two novel eremophilane-type sesquiterpenes, remophilanetriols J () and K (), along with five known phenylethanoid glycosides (-), were isolated from the fresh roots of . UPLC-Q-TOF-MS/MS analysis revealed unique fragmentation pathways for phenylethanoid glycosides (-). In LPS-injured HUVECs, all compounds collectively restored the mitochondrial membrane potential, attenuated ROS accumulation, and modulated TOM20/DRP1 expression. In particular, remophilanetriol K () exhibited potent protective effects at a low concentration (1.5625 μM). : This study identifies metabolites as potential therapeutics for sepsis-associated vascular dysfunction by preserving mitochondrial homeostasis. This study provides a mechanistic basis for the traditional use of and offers valuable insights into the development of novel therapeutics targeting mitochondrial dysfunction in sepsis.

摘要

某一味传统的中国草药常用于治疗与血管相关的疾病。脓毒症相关的血管内皮功能障碍与线粒体损伤密切相关。本研究调查了该草药的次生代谢产物对脂多糖诱导的内皮细胞线粒体功能障碍的保护作用,为脓毒症相关血管并发症提供了潜在的治疗见解。方法:对该草药鲜根进行了植物化学分析,并通过综合光谱分析和电子圆二色(ECD)计算阐明了新的次生代谢产物(化合物X和化合物Y)的结构。超高效液相色谱-四极杆-飞行时间串联质谱(UPLC-Q-TOF-MS/MS)对苯乙醇苷进行了表征。通过测量脂多糖损伤的人脐静脉内皮细胞(HUVECs)中的膜电位、活性氧(ROS)水平和线粒体外膜转位酶20(TOM20)/动力相关蛋白1(DRP1)的表达来评估线粒体功能。结果:从该草药鲜根中分离出两种新型的桉叶烷型倍半萜,即remophilanetriols J(化合物X)和K(化合物Y),以及五种已知的苯乙醇苷(化合物A - 化合物E)。UPLC-Q-TOF-MS/MS分析揭示了苯乙醇苷(化合物A - 化合物E)独特的裂解途径。在脂多糖损伤的HUVECs中,所有化合物共同恢复了线粒体膜电位,减轻了ROS积累,并调节了TOM20/DRP1的表达。特别是,remophilanetriol K(化合物Y)在低浓度(1.5625 μM)时表现出强大的保护作用。结论:本研究通过维持线粒体稳态确定了该草药的代谢产物作为脓毒症相关血管功能障碍的潜在治疗药物。本研究为该草药的传统用途提供了机制基础,并为开发针对脓毒症中线粒体功能障碍的新型治疗药物提供了有价值的见解。

https://cdn.ncbi.nlm.nih.gov/pmc/blobs/711b/12389007/e05987389c85/pharmaceuticals-18-01125-g001.jpg

文献AI研究员

20分钟写一篇综述,助力文献阅读效率提升50倍。

立即体验

用中文搜PubMed

大模型驱动的PubMed中文搜索引擎

马上搜索

文档翻译

学术文献翻译模型,支持多种主流文档格式。

立即体验