• 文献检索
  • 文档翻译
  • 深度研究
  • 学术资讯
  • Suppr Zotero 插件Zotero 插件
  • 邀请有礼
  • 套餐&价格
  • 历史记录
应用&插件
Suppr Zotero 插件Zotero 插件浏览器插件Mac 客户端Windows 客户端微信小程序
定价
高级版会员购买积分包购买API积分包
服务
文献检索文档翻译深度研究API 文档MCP 服务
关于我们
关于 Suppr公司介绍联系我们用户协议隐私条款
关注我们

Suppr 超能文献

核心技术专利:CN118964589B侵权必究
粤ICP备2023148730 号-1Suppr @ 2026

文献检索

告别复杂PubMed语法,用中文像聊天一样搜索,搜遍4000万医学文献。AI智能推荐,让科研检索更轻松。

立即免费搜索

文件翻译

保留排版,准确专业,支持PDF/Word/PPT等文件格式,支持 12+语言互译。

免费翻译文档

深度研究

AI帮你快速写综述,25分钟生成高质量综述,智能提取关键信息,辅助科研写作。

立即免费体验

工作日早起后,阳光能否防止周末睡眠时间提前?

Can the Sun Prevent Weekend Sleep Advance After Early Weekday Wakeups?

作者信息

Putilov Arcady A, Verevkin Evgeniy G

机构信息

Independent Research Group, Biomedical Systems Math-Modeling, Berlin, Germany.

Laboratory of Sleep/Wake Neurobiology, Institute of Higher Nervous Activity and Neurophysiology of the Russian Academy of Sciences, Moscow, Russia.

出版信息

Nat Sci Sleep. 2025 Aug 22;17:1895-1913. doi: 10.2147/NSS.S543386. eCollection 2025.

DOI:10.2147/NSS.S543386
PMID:40873498
原文链接:https://pmc.ncbi.nlm.nih.gov/articles/PMC12380101/
Abstract

PURPOSE

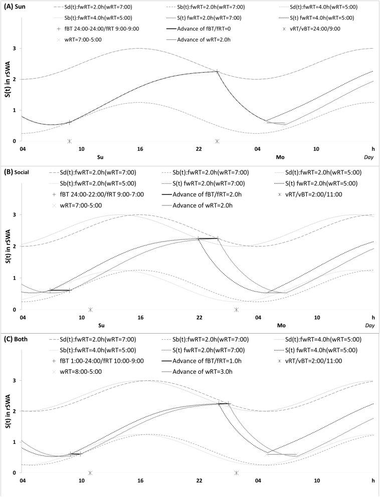
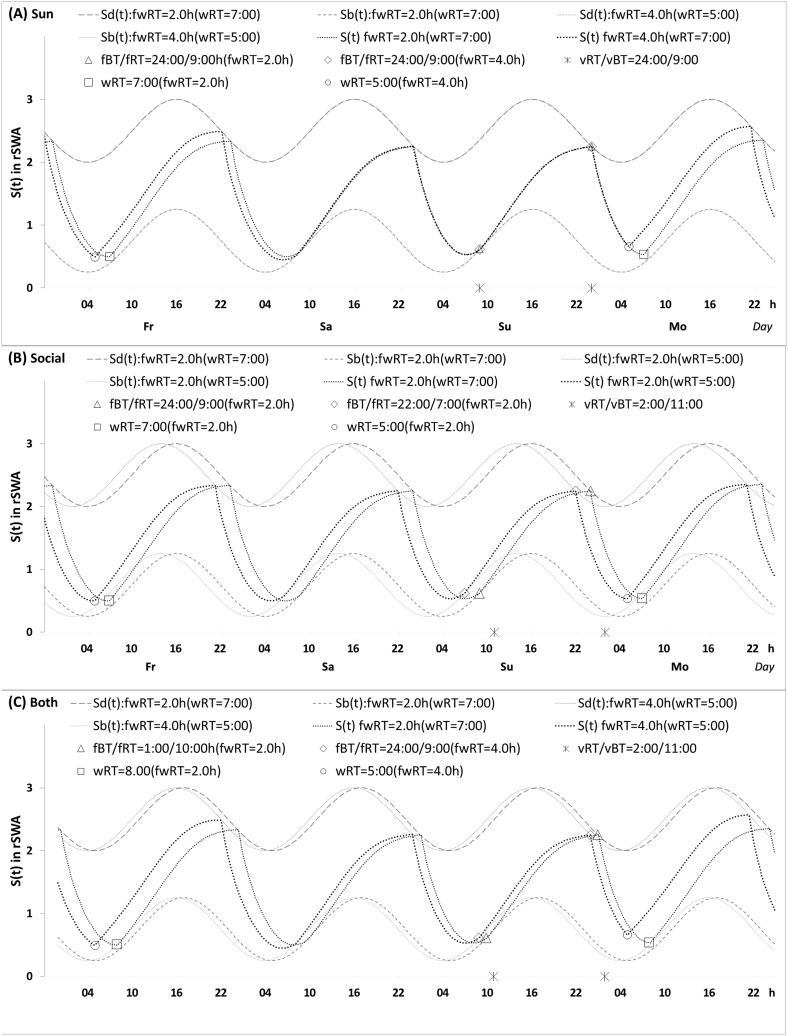
There is sparse evidence on how circadian sleep timing is affected by 5 days on/2 days off school/work schedule. In an in silico study, we applied a model of sleep-wake regulation to highlight the difference in predictions based on two alternative explanations proposing either sun time or social time (eg, either solar midday or weekday risetime) as the major contributor to light entrainment of sleep timing. Self-reported sleep times were then used to confirm these predictions.

METHODS

The difference between earlier and later weekday risers in weekend sleep timing their difference in weekday risetime were compared. This difference in weekday risetime is equal to the sum of differences in sleep phase shift on weekends and sleep loss on weekdays measured as the differences in weekend risetime and weekend-weekday gap in risetime, respectively. Three sets of samples were used for these estimations: 87 and 100 paired samples obtained before vs during lockdown and during early vs later school start time (five and three age subsets, respectively) and 1250 vs 1192 unpaired samples with weekday risetime not earlier vs later than 7 a.m. (five age subsets).

RESULTS

In any age subset, a shift in social time (weekday risetime) caused a shift in weekend sleep phase (weekend risetime) due to a shift in the 24-h pattern of exposure to light, but this sleep phase shift was less pronounced than the shift in social time.

CONCLUSION

Both social time and sun time substantially contribute to the light entrainment of circadian sleep timing.

摘要

目的

关于5天上学/工作日加2天休息的日程安排如何影响昼夜睡眠节律,证据稀少。在一项计算机模拟研究中,我们应用了一个睡眠-觉醒调节模型,以突出基于两种不同解释的预测差异,这两种解释分别提出太阳时间或社交时间(例如,太阳正午或工作日起床时间)是睡眠节律光调节的主要因素。然后使用自我报告的睡眠时间来证实这些预测。

方法

比较了工作日早起者和晚起者在周末睡眠节律上的差异以及他们在工作日起床时间上的差异。工作日起床时间的这种差异等于周末睡眠相位偏移和工作日睡眠不足的差异之和,分别以周末起床时间和周末与工作日起床时间间隔的差异来衡量。这些估计使用了三组样本:在封锁前与封锁期间以及开学时间早与晚时获得的87对和100对样本(分别为五个和三个年龄组),以及工作日起床时间不早于或晚于上午7点的1250个与1192个非配对样本(五个年龄组)。

结果

在任何年龄组中,社交时间(工作日起床时间)的变化由于24小时光照模式的变化导致了周末睡眠相位(周末起床时间)的变化,但这种睡眠相位变化不如社交时间变化明显。

结论

社交时间和太阳时间都对昼夜睡眠节律的光调节有重要作用。

https://cdn.ncbi.nlm.nih.gov/pmc/blobs/5e6d/12380101/a37aa713bfb1/NSS-17-1895-g0005.jpg
https://cdn.ncbi.nlm.nih.gov/pmc/blobs/5e6d/12380101/9f32ec385c3a/NSS-17-1895-g0001.jpg
https://cdn.ncbi.nlm.nih.gov/pmc/blobs/5e6d/12380101/ac357fcd761b/NSS-17-1895-g0002.jpg
https://cdn.ncbi.nlm.nih.gov/pmc/blobs/5e6d/12380101/2e13802ebdcb/NSS-17-1895-g0003.jpg
https://cdn.ncbi.nlm.nih.gov/pmc/blobs/5e6d/12380101/81eeb8cfd7a6/NSS-17-1895-g0004.jpg
https://cdn.ncbi.nlm.nih.gov/pmc/blobs/5e6d/12380101/a37aa713bfb1/NSS-17-1895-g0005.jpg
https://cdn.ncbi.nlm.nih.gov/pmc/blobs/5e6d/12380101/9f32ec385c3a/NSS-17-1895-g0001.jpg
https://cdn.ncbi.nlm.nih.gov/pmc/blobs/5e6d/12380101/ac357fcd761b/NSS-17-1895-g0002.jpg
https://cdn.ncbi.nlm.nih.gov/pmc/blobs/5e6d/12380101/2e13802ebdcb/NSS-17-1895-g0003.jpg
https://cdn.ncbi.nlm.nih.gov/pmc/blobs/5e6d/12380101/81eeb8cfd7a6/NSS-17-1895-g0004.jpg
https://cdn.ncbi.nlm.nih.gov/pmc/blobs/5e6d/12380101/a37aa713bfb1/NSS-17-1895-g0005.jpg

相似文献

1
Can the Sun Prevent Weekend Sleep Advance After Early Weekday Wakeups?工作日早起后,阳光能否防止周末睡眠时间提前?
Nat Sci Sleep. 2025 Aug 22;17:1895-1913. doi: 10.2147/NSS.S543386. eCollection 2025.
2
Prescription of Controlled Substances: Benefits and Risks管制药品的处方:益处与风险
3
Estimation of sleep shortening and sleep phase advancing in response to advancing risetimes on weekdays.工作日起床时间提前时睡眠缩短和睡眠阶段提前的估计。
Chronobiol Int. 2025 Jun;42(6):770-783. doi: 10.1080/07420528.2025.2509629. Epub 2025 May 29.
4
Drainage-only strategy on weekend for endoscopic retrograde cholangiopancreatography on the risk of procedure-related adverse events: a prospective observational study.周末单纯引流策略用于内镜逆行胰胆管造影术相关不良事件风险的前瞻性观察研究
Therap Adv Gastroenterol. 2025 Aug 13;18:17562848251361694. doi: 10.1177/17562848251361694. eCollection 2025.
5
Education support services for improving school engagement and academic performance of children and adolescents with a chronic health condition.改善患有慢性病的儿童和青少年的学校参与度和学业成绩的教育支持服务。
Cochrane Database Syst Rev. 2023 Feb 8;2(2):CD011538. doi: 10.1002/14651858.CD011538.pub2.
6
Comparison of Two Modern Survival Prediction Tools, SORG-MLA and METSSS, in Patients With Symptomatic Long-bone Metastases Who Underwent Local Treatment With Surgery Followed by Radiotherapy and With Radiotherapy Alone.两种现代生存预测工具 SORG-MLA 和 METSSS 在接受手术联合放疗和单纯放疗治疗有症状长骨转移患者中的比较。
Clin Orthop Relat Res. 2024 Dec 1;482(12):2193-2208. doi: 10.1097/CORR.0000000000003185. Epub 2024 Jul 23.
7
Adapting shift work schedules for sleep quality, sleep duration, and sleepiness in shift workers.调整轮班工作时间表以改善轮班工人的睡眠质量、睡眠时间和困倦感。
Cochrane Database Syst Rev. 2023 Sep 11;9(9):CD010639. doi: 10.1002/14651858.CD010639.pub2.
8
Weekday-to-Weekend Sleep Differences and Poor Mental Health in Young Adulthood.青年期工作日与周末的睡眠差异及心理健康不佳
J Korean Med Sci. 2025 Sep 1;40(34):e211. doi: 10.3346/jkms.2025.40.e211.
9
The Black Book of Psychotropic Dosing and Monitoring.《精神药物剂量与监测黑皮书》
Psychopharmacol Bull. 2024 Jul 8;54(3):8-59.
10
Pharmacotherapies for sleep disturbances in dementia.痴呆症睡眠障碍的药物治疗
Cochrane Database Syst Rev. 2016 Nov 16;11(11):CD009178. doi: 10.1002/14651858.CD009178.pub3.

本文引用的文献

1
Estimation of sleep shortening and sleep phase advancing in response to advancing risetimes on weekdays.工作日起床时间提前时睡眠缩短和睡眠阶段提前的估计。
Chronobiol Int. 2025 Jun;42(6):770-783. doi: 10.1080/07420528.2025.2509629. Epub 2025 May 29.
2
The adolescent circadian clock entrains to social time rather than sun time.青少年的生物钟与社交时间同步,而非与太阳时间同步。
Curr Biol. 2025 May 5;35(9):2100-2111.e5. doi: 10.1016/j.cub.2025.03.059. Epub 2025 Apr 16.
3
Circadian phase in high-school students: weekday-weekend shifts and relationships to other sleep/circadian characteristics.
高中生的昼夜节律相位:工作日与周末的变化及其与其他睡眠/昼夜节律特征的关系。
Sleep. 2025 Apr 11;48(4). doi: 10.1093/sleep/zsaf031.
4
Reaction of the endogenous regulatory mechanisms to early weekday wakeups: a review of its popular explanations in light of model-based simulations.内源性调节机制对工作日早起的反应:基于模型模拟对其常见解释的综述
Front Netw Physiol. 2023 Dec 15;3:1285658. doi: 10.3389/fnetp.2023.1285658. eCollection 2023.
5
Sleep Well, Study Well: A Systematic Review of Longitudinal Studies on the Interplay between Sleep and School Experience in Adolescence.睡得好,学得好:青少年睡眠与学校经历相互作用的纵向研究系统评价。
Int J Environ Res Public Health. 2023 Mar 9;20(6):4829. doi: 10.3390/ijerph20064829.
6
Circadian phase advances in children during camping life according to the natural light-dark cycle.儿童在露营生活中根据自然的光暗周期提前昼夜节律。
J Physiol Anthropol. 2022 Dec 16;41(1):42. doi: 10.1186/s40101-022-00316-x.
7
Extending weeknight sleep of delayed adolescents using weekend morning bright light and evening time management.利用周末晨光和晚间时间管理来延长延迟青少年的周内睡眠时间。
Sleep. 2023 Jan 11;46(1). doi: 10.1093/sleep/zsac202.
8
Understanding the Need for Sleep to Improve Cognition.了解睡眠对改善认知的必要性。
Annu Rev Psychol. 2023 Jan 18;74:27-57. doi: 10.1146/annurev-psych-032620-034127. Epub 2022 Aug 12.
9
Weekend sleep after early and later school start times confirmed a model-predicted failure to catch up sleep missed on weekdays.调整上学时间后周末补觉并不能弥补工作日缺觉。
Sleep Breath. 2023 May;27(2):709-719. doi: 10.1007/s11325-022-02648-5. Epub 2022 Jun 3.
10
Sleep during "lockdown" highlighted the need to rethink the concept of weekend catch-up sleep.“封锁”期间的睡眠突出表明需要重新思考周末补觉的概念。
Sleep Breath. 2022 Dec;26(4):2001-2007. doi: 10.1007/s11325-021-02492-z. Epub 2021 Nov 20.