Barta Leonard, Stöger Anna, Polzer Daniel, Ruppitsch Werner, Schmoll Friedrich, Sattler Tatjana
Institute for Veterinary Investigations Mödling, Austrian Agency for Health and Food Safety, Mödling, Austria.
Institute of Medical Microbiology and Hygiene, Austrian Agency for Health and Food Safety, Vienna, Austria.
Front Vet Sci. 2025 Aug 13;12:1640536. doi: 10.3389/fvets.2025.1640536. eCollection 2025.
is an economically important pathogen in veterinary medicine. Data on its antimicrobial resistance vary widely across regions. Furthermore, most of the found literature focuses on phenotypic resistance testing. To date, no study has examined resistance in Austria, and no national surveillance program exists.
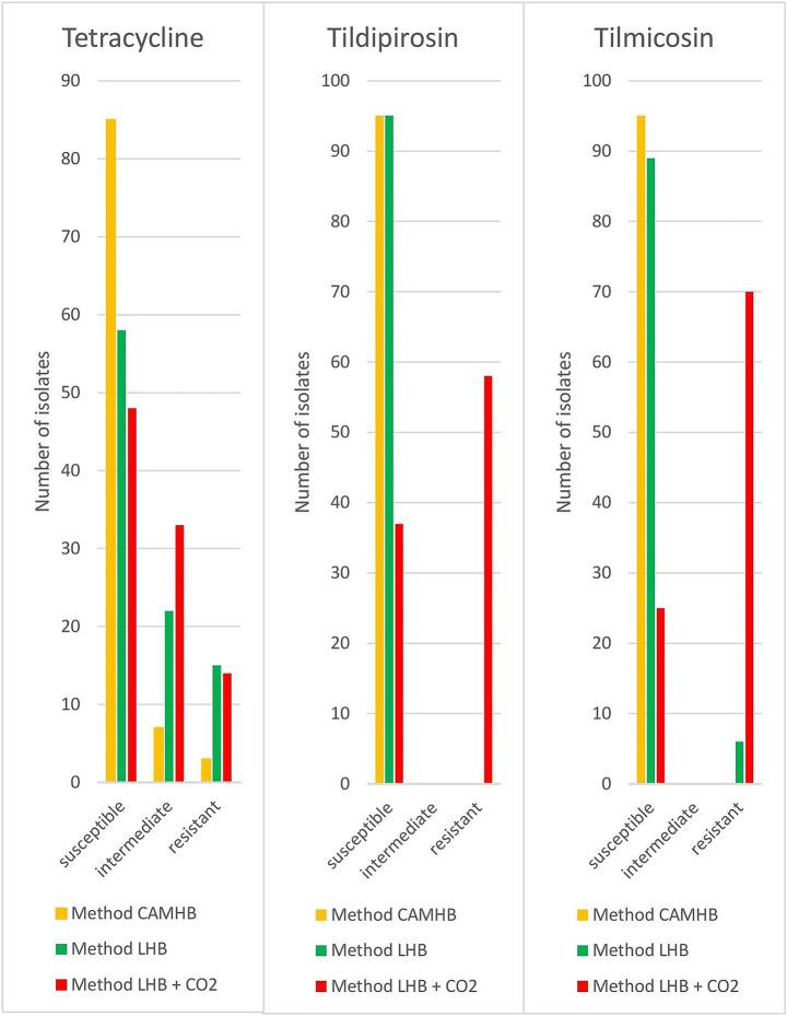
In this study, we tested 276 isolates of from different hosts including farm animals, pets, wildlife and humans. Susceptibility testing was performed using three different variants of the broth microdilution method against 16 antibiotics, applying veterinary specific breakpoints referenced from CLSI: the CAMHB method using cation adjusted Mueller Hinton Broth, the LHB method supplemented with laked horse blood and the LHB + CO method, which additionally included an enriched CO atmosphere. Whole genome sequencing was then performed to identify resistance genes. Genomic data and the results from the phenotypical resistance testing were compared to determine the most suitable method for the detection of resistance.
About 20% of bovine isolates and 9% of pig isolates carried at least one resistance gene. No resistance genes were detected in isolates from other hosts. The most commonly detected resistance genes were against tetracyclines, aminoglycosides and sulphonamides. Resistance against florfenicol and macrolides was scarce and only present in bovines. Three or more different resistance genes were found in 3% of porcine strains and 10% of cattle strains. In pig isolates, the comparison of phenotype and genotype revealed a good concordance rate using both the CAMHB and LHB methods. Method LHB + CO yielded major discrepancies in macrolide susceptibility results. In cattle, CAMHB method showed a high concordance, however, it failed to identify resistant isolates. While the LHB and LHB + CO methods demonstrated effective detection of resistance genes, they were associated with a higher rate of false-positive results for ampicillin resistance.
We recommend performing antimicrobial resistance testing of with the supplementation of LHB. Despite the occurrence of false positive results, it is still the most suitable method to detect resistance genes. Our results suggest good efficacy of antibiotics against in Austria, however, the risk posed by strains carrying multiple resistance genes should not be overlooked.
在兽医学中是一种具有经济重要性的病原体。其抗菌药物耐药性的数据在不同地区差异很大。此外,已发现的大多数文献都集中在表型耐药性检测上。迄今为止,奥地利尚未有研究检测过其耐药性,也不存在国家监测计划。
在本研究中,我们检测了来自农场动物、宠物、野生动物和人类等不同宿主的276株该病原体分离株。使用肉汤微量稀释法的三种不同变体针对16种抗生素进行药敏试验,采用从美国临床和实验室标准协会(CLSI)引用的兽医专用断点:使用阳离子调整的穆勒-欣顿肉汤的CAMHB方法、补充脱纤维马血的LHB方法以及另外包含富集二氧化碳气氛的LHB + CO方法。然后进行全基因组测序以鉴定耐药基因。将基因组数据与表型耐药性检测结果进行比较,以确定检测耐药性的最合适方法。
约20%的牛分离株和9%的猪分离株携带至少一个耐药基因。在来自其他宿主的分离株中未检测到耐药基因。最常检测到的耐药基因是针对四环素类、氨基糖苷类和磺胺类的。对氟苯尼考和大环内酯类的耐药性很少见,仅存在于牛中。在3%的猪菌株和10%的牛菌株中发现了三种或更多不同的耐药基因。在猪分离株中,表型和基因型的比较显示使用CAMHB和LHB方法时一致性率良好。LHB + CO方法在大环内酯类药敏结果中产生了较大差异。在牛中,CAMHB方法显示出较高的一致性,然而,它未能识别耐药分离株。虽然LHB和LHB + CO方法证明能有效检测耐药基因,但它们与氨苄西林耐药性的假阳性结果发生率较高有关。
我们建议在补充LHB的情况下对该病原体进行抗菌药物耐药性检测。尽管会出现假阳性结果,但它仍然是检测耐药基因的最合适方法。我们的结果表明抗生素在奥地利对该病原体具有良好疗效,然而,携带多个耐药基因的菌株所带来的风险不应被忽视。