• 文献检索
  • 文档翻译
  • 深度研究
  • 学术资讯
  • Suppr Zotero 插件Zotero 插件
  • 邀请有礼
  • 套餐&价格
  • 历史记录
应用&插件
Suppr Zotero 插件Zotero 插件浏览器插件Mac 客户端Windows 客户端微信小程序
定价
高级版会员购买积分包购买API积分包
服务
文献检索文档翻译深度研究API 文档MCP 服务
关于我们
关于 Suppr公司介绍联系我们用户协议隐私条款
关注我们

Suppr 超能文献

核心技术专利:CN118964589B侵权必究
粤ICP备2023148730 号-1Suppr @ 2026

文献检索

告别复杂PubMed语法,用中文像聊天一样搜索,搜遍4000万医学文献。AI智能推荐,让科研检索更轻松。

立即免费搜索

文件翻译

保留排版,准确专业,支持PDF/Word/PPT等文件格式,支持 12+语言互译。

免费翻译文档

深度研究

AI帮你快速写综述,25分钟生成高质量综述,智能提取关键信息,辅助科研写作。

立即免费体验

外部负荷对拉长-缩短周期运动中肌腱动力学贡献的影响。

Effects of External Load on the Contribution of Tendon Dynamics During Stretch-Shortening Cycle Exercises.

作者信息

Kosaka Takehiro, Kubo Keitaro

机构信息

Graduate School of Integrated Science and Technology, Nagasaki University, Nagasaki, Japan.

Department of Life Science, The University of Tokyo, Meguro, Tokyo, Japan.

出版信息

J Musculoskelet Neuronal Interact. 2025 Sep 1;25(3):266-275. doi: 10.22540/JMNI-25-266.

DOI:10.22540/JMNI-25-266
PMID:40889191
原文链接:https://pmc.ncbi.nlm.nih.gov/articles/PMC12401464/
Abstract

OBJECTIVES

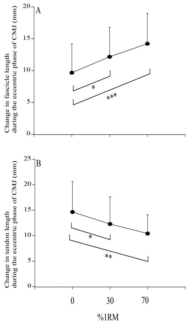
This study aimed to determine the effect of external load on the contribution of tendon lengthening during eccentric phase and tendon shortening velocity during concentric phase in stretch-shortening cycle exercises.

METHODS

Fifteen men performed no-countermovement jump (noCMJ) and countermovement jump (CMJ) using only ankle joint with three different loads (0, 30, and 70% of 1 repetition maximum (RM)). Mean torque, angular velocity, power, and fascicle length of the medial gastrocnemius muscle were measured during jumping. In addition, the relative differences in the measured variables of CMJ compared to noCMJ were defined as pre-stretch augmentation.

RESULTS

During concentric phase, the pre-stretch augmentation in angular velocity and power was significantly correlated with that in tendon shortening velocity (except for 70%1RM) but not in fascicle shortening velocity. The increases in tendon length during eccentric phase of CMJ were highly correlated with mean power during concentric phase for all load conditions.

CONCLUSION

These results suggest that the tendon shortening velocity during concentric phase and the amount of tendon lengthening during eccentric phase (i.e., tendon dynamics) strongly contribute to increased performance in stretch-shortening exercises.

摘要

目的

本研究旨在确定外部负荷对拉长-缩短周期运动中离心阶段肌腱延长贡献和向心阶段肌腱缩短速度的影响。

方法

15名男性仅使用踝关节进行无反向运动跳跃(noCMJ)和反向运动跳跃(CMJ),采用三种不同负荷(1次重复最大值(RM)的0%、30%和70%)。在跳跃过程中测量腓肠肌内侧的平均扭矩、角速度、功率和肌束长度。此外,将CMJ与noCMJ测量变量的相对差异定义为预拉伸增强。

结果

在向心阶段,角速度和功率的预拉伸增强与肌腱缩短速度的预拉伸增强显著相关(70%1RM除外),但与肌束缩短速度无关。在所有负荷条件下,CMJ离心阶段肌腱长度的增加与向心阶段的平均功率高度相关。

结论

这些结果表明,向心阶段的肌腱缩短速度和离心阶段的肌腱延长量(即肌腱动力学)对拉长-缩短运动中运动表现的提高有很大贡献。

https://cdn.ncbi.nlm.nih.gov/pmc/blobs/af22/12401464/1cddc28a0c52/JMNI-25-266-g005.jpg
https://cdn.ncbi.nlm.nih.gov/pmc/blobs/af22/12401464/6ee41139a116/JMNI-25-266-g001.jpg
https://cdn.ncbi.nlm.nih.gov/pmc/blobs/af22/12401464/33dff0ffd104/JMNI-25-266-g002.jpg
https://cdn.ncbi.nlm.nih.gov/pmc/blobs/af22/12401464/f9af2424e38e/JMNI-25-266-g003.jpg
https://cdn.ncbi.nlm.nih.gov/pmc/blobs/af22/12401464/9d76c28a7309/JMNI-25-266-g004.jpg
https://cdn.ncbi.nlm.nih.gov/pmc/blobs/af22/12401464/1cddc28a0c52/JMNI-25-266-g005.jpg
https://cdn.ncbi.nlm.nih.gov/pmc/blobs/af22/12401464/6ee41139a116/JMNI-25-266-g001.jpg
https://cdn.ncbi.nlm.nih.gov/pmc/blobs/af22/12401464/33dff0ffd104/JMNI-25-266-g002.jpg
https://cdn.ncbi.nlm.nih.gov/pmc/blobs/af22/12401464/f9af2424e38e/JMNI-25-266-g003.jpg
https://cdn.ncbi.nlm.nih.gov/pmc/blobs/af22/12401464/9d76c28a7309/JMNI-25-266-g004.jpg
https://cdn.ncbi.nlm.nih.gov/pmc/blobs/af22/12401464/1cddc28a0c52/JMNI-25-266-g005.jpg

相似文献

1
Effects of External Load on the Contribution of Tendon Dynamics During Stretch-Shortening Cycle Exercises.外部负荷对拉长-缩短周期运动中肌腱动力学贡献的影响。
J Musculoskelet Neuronal Interact. 2025 Sep 1;25(3):266-275. doi: 10.22540/JMNI-25-266.
2
Effect of the Stretch-Shortening Cycle on the Relationship Between Maximum Number of Repetitions and Lifting Velocity During the Prone Bench Pull.拉长-缩短周期对俯卧凳拉过程中最大重复次数与提拉速度之间关系的影响。
Sports Health. 2024 Oct 18:19417381241286519. doi: 10.1177/19417381241286519.
3
The stretch-shortening cycle effect is not associated with cortical or spinal excitability modulations.拉长-缩短循环效应与皮质或脊髓兴奋性调制无关。
J Physiol. 2025 Jun 18. doi: 10.1113/JP287508.
4
In vivo human medial gastrocnemius fascicle behaviour and belly gear during submaximal eccentric contractions are not affected by concentric fatiguing exercise.在亚最大程度离心收缩过程中,活体人体中间腓肠肌肌束行为和腹部装备不受向心疲劳运动的影响。
J Biomech. 2024 Jan;162:111895. doi: 10.1016/j.jbiomech.2023.111895. Epub 2023 Dec 5.
5
Chronic Adaptations to Eccentric Training: A Systematic Review.慢性适应对离心训练:系统综述。
Sports Med. 2017 May;47(5):917-941. doi: 10.1007/s40279-016-0628-4.
6
Force re-development after shortening reveals a role for titin in stretch-shortening performance enhancement in skinned muscle fibres.缩短后再拉伸揭示了 titin 在肌原纤维拉伸-缩短性能增强中的作用。
J Exp Biol. 2024 Sep 1;227(17). doi: 10.1242/jeb.247377. Epub 2024 Sep 4.
7
Muscle morphology and architecture of the medial gastrocnemius between typically developing children with different ancestral background.不同祖先背景的典型发育儿童的内侧比目鱼肌的肌肉形态和结构。
J Anat. 2024 Jan;244(1):107-119. doi: 10.1111/joa.13945. Epub 2023 Aug 30.
8
Is Countermovement Jump Height and One Repetition Maximum Back Squat Associated With the Peak Force of a Front Kick With and Without Carried Load?负重与不负重情况下,反向纵跳高度和一次重复最大后蹲重量是否与前踢峰值力相关?
J Strength Cond Res. 2025 May 16;39(8):880-889. doi: 10.1519/JSC.0000000000005128.
9
Changes in Countermovement Vertical Jump Force-Time Metrics During a Game in Professional Male Basketball Players.专业男性篮球运动员比赛中反跳垂直跳跃力-时间指标的变化。
J Strength Cond Res. 2024 Jul 1;38(7):1326-1329. doi: 10.1519/JSC.0000000000004795.
10
Correlation Between Maximal Eccentric and Isometric Multi-Joint Lower-Extremity Strength and Vertical Jumping Performance in Young Adults.年轻成年人最大离心和等长多关节下肢力量与垂直跳跃性能之间的相关性
Muscles. 2024 Dec 3;3(4):404-416. doi: 10.3390/muscles3040034.

本文引用的文献

1
Effect of relaxation time on hysteresis of human tendon .放松时间对人体肌腱滞后的影响。
J Musculoskelet Neuronal Interact. 2023 Mar 1;23(1):84-89.
2
Effects of plyometric training on muscle-tendon mechanical properties and behavior of fascicles during jumping.增强式训练对跳跃过程中肌腱-肌纤维机械特性和肌束行为的影响。
Physiol Rep. 2021 Nov;9(21):e15073. doi: 10.14814/phy2.15073.
3
The influence of in vivo mechanical behaviour of the Achilles tendon on the mechanics, energetics and apparent efficiency of bouncing gaits.跟腱的体内机械行为对弹跳步态的力学、能量学和表观效率的影响。
J Exp Biol. 2021 Aug 15;224(16). doi: 10.1242/jeb.242453. Epub 2021 Aug 20.
4
Does different activation between the medial and the lateral gastrocnemius during walking translate into different fascicle behavior?在行走过程中,比目鱼肌内侧和外侧之间的不同激活是否会转化为不同的肌束行为?
J Exp Biol. 2021 Jun 15;224(12). doi: 10.1242/jeb.242626. Epub 2021 Jun 24.
5
Gastrocnemius Medialis and Vastus Lateralis in vivo muscle-tendon behavior during running at increasing speeds.在不同速度跑步过程中,体内比目鱼肌和股外侧肌肌腱的行为。
Scand J Med Sci Sports. 2020 Jul;30(7):1163-1176. doi: 10.1111/sms.13662. Epub 2020 Apr 13.
6
Effects of the strain rate on mechanical properties of tendon structures in knee extensors and plantar flexors .应变率对膝关节伸肌和跖屈肌肌腱结构力学性能的影响。
Sports Biomech. 2021 Nov;20(7):887-900. doi: 10.1080/14763141.2019.1615541. Epub 2019 Jun 24.
7
Modulation of muscle-tendon interaction in the human triceps surae during an energy dissipation task.在能量耗散任务期间对人体小腿三头肌中肌肉-肌腱相互作用的调节。
J Exp Biol. 2017 Nov 15;220(Pt 22):4141-4149. doi: 10.1242/jeb.164111. Epub 2017 Sep 7.
8
Sport-Specific Capacity to Use Elastic Energy in the Patellar and Achilles Tendons of Elite Athletes.精英运动员髌腱和跟腱利用弹性能量的专项运动能力。
Front Physiol. 2017 Mar 13;8:132. doi: 10.3389/fphys.2017.00132. eCollection 2017.
9
Plyometric Training Favors Optimizing Muscle-Tendon Behavior during Depth Jumping.增强式训练有助于在深度跳跃过程中优化肌肉-肌腱行为。
Front Physiol. 2017 Jan 25;8:16. doi: 10.3389/fphys.2017.00016. eCollection 2017.
10
Contribution of elastic tissues to the mechanics and energetics of muscle function during movement.弹性组织在运动过程中对肌肉功能的力学和能量学的贡献。
J Exp Biol. 2016 Jan;219(Pt 2):266-75. doi: 10.1242/jeb.124446.