• 文献检索
  • 文档翻译
  • 深度研究
  • 学术资讯
  • Suppr Zotero 插件Zotero 插件
  • 邀请有礼
  • 套餐&价格
  • 历史记录
应用&插件
Suppr Zotero 插件Zotero 插件浏览器插件Mac 客户端Windows 客户端微信小程序
定价
高级版会员购买积分包购买API积分包
服务
文献检索文档翻译深度研究API 文档MCP 服务
关于我们
关于 Suppr公司介绍联系我们用户协议隐私条款
关注我们

Suppr 超能文献

核心技术专利:CN118964589B侵权必究
粤ICP备2023148730 号-1Suppr @ 2026

文献检索

告别复杂PubMed语法,用中文像聊天一样搜索,搜遍4000万医学文献。AI智能推荐,让科研检索更轻松。

立即免费搜索

文件翻译

保留排版,准确专业,支持PDF/Word/PPT等文件格式,支持 12+语言互译。

免费翻译文档

深度研究

AI帮你快速写综述,25分钟生成高质量综述,智能提取关键信息,辅助科研写作。

立即免费体验

非生物胁迫条件下黍稷(Panicum miliaceum L.)中蔗糖非发酵1相关蛋白激酶2基因家族的综合分析

Comprehensive analysis of the sucrose nonfermenting 1-related protein kinase 2 gene family in broomcorn millet (Panicum miliaceum L.) under abiotic stress conditions.

作者信息

Zhou Wei, Qiao Yue, Li Rui, Dai Chunyang, Cui Xiuyan, Chen Ling, Wang Haigang, Wang Junjie

机构信息

Shanxi Institute for Functional Food, Shanxi Agricultural University, Taiyuan, 030031, China.

HouJi Laboratory in Shanxi Province, Shanxi Agricultural University, Taiyuan, 030031, China.

出版信息

BMC Genomics. 2025 Sep 2;26(1):797. doi: 10.1186/s12864-025-11992-1.

DOI:10.1186/s12864-025-11992-1
PMID:40898064
原文链接:https://pmc.ncbi.nlm.nih.gov/articles/PMC12403305/
Abstract

BACKGROUND

Sucrose nonfermenting 1-related protein kinase 2 (SnRK2) proteins constitute a family of plant-specific serine/threonine kinases that play critical roles in mediating abscisic acid (ABA) signaling and responses to abiotic stresses, including drought and salinity. Nevertheless, systematic bioinformatics analysis and expression profiling of the SnRK2 gene family in broomcorn millet (Panicum miliaceum L.) have not yet been reported.

RESULTS

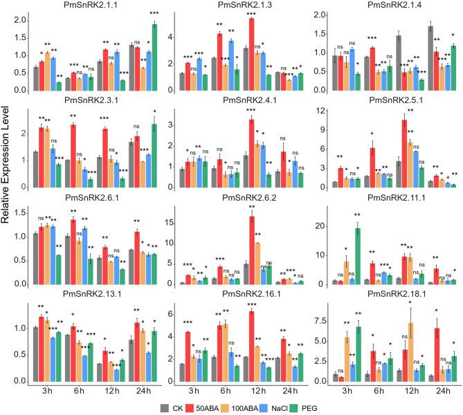
A total of 16 PmSnRK2 genes were identified in the broomcorn millet genome, unevenly distributed across 12 chromosomes and phylogenetically classified into three subfamilies (I-III). Gene structure analysis revealed that the majority of PmSnRK2 genes harbor seven to eight introns. Promoter region mining uncovered abundant cis-elements responsive to hormones and abiotic stresses. Synteny analysis detected 12 PmSnRK2-PmSnRK2 paralogous pairs, with duplication events dated between ~ 1.28 and 219.36 million years ago; all Ka/Ks ratios were below 1, consistent with strong purifying selection. Multiple sequence alignment confirmed the presence of the conserved serine/threonine kinase active-site motif, the ATP-binding signature, and two characteristic C-terminal domains (I and II) across all family members. Structural superimposition of four representative PmSnRK2 proteins (PmSnRK2.6.2, PmSnRK2.11.1, PmSnRK2.13.1, PmSnRK2.15.1) onto Arabidopsis AtSnRK2.3 (PDB: 3UC3) yielded RMSD values of 0.922-1.134 Å within the kinase domain, underscoring three-dimensional conservation. Expression profiling using public RNA-seq datasets demonstrated that all 16 genes are transcribed in at least one of eight tissues, with individual members peaking in shoots, leaf blades, stems, inflorescences, roots, or seeds. Under exogenous ABA (50-100 µM), salt (100 mM NaCl), and PEG (20%) treatments, PmSnRK2 genes exhibited distinct induction and repression dynamics, revealing functional divergence in stress-response pathways.

CONCLUSION

Our study provides comprehensive insights into the genomic characteristics, evolutionary patterns, and potential functional roles of the PmSnRK2 gene family in broomcorn millet. These results enhance the current understanding of how PmSnRK2 genes may contribute to abiotic stress tolerance, offering a valuable foundation for further functional validation and targeted improvement in broomcorn millet breeding programs.

摘要

背景

蔗糖非发酵1相关蛋白激酶2(SnRK2)蛋白构成了植物特有的丝氨酸/苏氨酸激酶家族,在介导脱落酸(ABA)信号传导以及对包括干旱和盐度在内的非生物胁迫的响应中发挥关键作用。然而,尚未见关于黍稷(Panicum miliaceum L.)中SnRK2基因家族的系统生物信息学分析和表达谱研究报道。

结果

在黍稷基因组中总共鉴定出16个PmSnRK2基因,它们不均匀地分布在12条染色体上,系统发育上分为三个亚家族(I - III)。基因结构分析表明,大多数PmSnRK2基因含有7至8个内含子。启动子区域挖掘发现了大量响应激素和非生物胁迫的顺式元件。共线性分析检测到12对PmSnRK2 - PmSnRK2旁系同源基因对,复制事件发生在约1280万至2.1936亿年前;所有的Ka/Ks比值均低于1,这与强烈的纯化选择一致。多序列比对证实所有家族成员均存在保守的丝氨酸/苏氨酸激酶活性位点基序、ATP结合特征以及两个特征性的C末端结构域(I和II)。将四个代表性的PmSnRK2蛋白(PmSnRK2.6.2、PmSnRK2.11.1、PmSnRK2.13.1、PmSnRK2.15.1)与拟南芥AtSnRK2.3(PDB:3UC3)进行结构叠加,在激酶结构域内的RMSD值为0.922 - 1.134 Å,突出了三维结构的保守性。使用公共RNA-seq数据集进行的表达谱分析表明,所有16个基因在八个组织中的至少一个中被转录,个别成员在茎尖、叶片、茎、花序、根或种子中表达量达到峰值。在外源ABA(50 - 100 μM)、盐(100 mM NaCl)和PEG(20%)处理下,PmSnRK2基因表现出不同的诱导和抑制动态,揭示了胁迫响应途径中的功能差异。

结论

我们的研究全面深入地了解了黍稷中PmSnRK2基因家族的基因组特征、进化模式和潜在功能作用。这些结果加深了我们对PmSnRK2基因如何有助于非生物胁迫耐受性的当前理解,为黍稷育种计划中的进一步功能验证和定向改良提供了有价值的基础。

https://cdn.ncbi.nlm.nih.gov/pmc/blobs/fa42/12403305/46a7e761cec2/12864_2025_11992_Fig10_HTML.jpg
https://cdn.ncbi.nlm.nih.gov/pmc/blobs/fa42/12403305/1412f9edea03/12864_2025_11992_Fig1_HTML.jpg
https://cdn.ncbi.nlm.nih.gov/pmc/blobs/fa42/12403305/c490eb63a63d/12864_2025_11992_Fig2_HTML.jpg
https://cdn.ncbi.nlm.nih.gov/pmc/blobs/fa42/12403305/2efd8b1a2a1d/12864_2025_11992_Fig3_HTML.jpg
https://cdn.ncbi.nlm.nih.gov/pmc/blobs/fa42/12403305/48807ef5a386/12864_2025_11992_Fig4_HTML.jpg
https://cdn.ncbi.nlm.nih.gov/pmc/blobs/fa42/12403305/13cae5fd6551/12864_2025_11992_Fig5_HTML.jpg
https://cdn.ncbi.nlm.nih.gov/pmc/blobs/fa42/12403305/cda5a120dc6c/12864_2025_11992_Fig6_HTML.jpg
https://cdn.ncbi.nlm.nih.gov/pmc/blobs/fa42/12403305/b380ac298d47/12864_2025_11992_Fig7_HTML.jpg
https://cdn.ncbi.nlm.nih.gov/pmc/blobs/fa42/12403305/8a923016bed8/12864_2025_11992_Fig8_HTML.jpg
https://cdn.ncbi.nlm.nih.gov/pmc/blobs/fa42/12403305/b138928f56cf/12864_2025_11992_Fig9_HTML.jpg
https://cdn.ncbi.nlm.nih.gov/pmc/blobs/fa42/12403305/46a7e761cec2/12864_2025_11992_Fig10_HTML.jpg
https://cdn.ncbi.nlm.nih.gov/pmc/blobs/fa42/12403305/1412f9edea03/12864_2025_11992_Fig1_HTML.jpg
https://cdn.ncbi.nlm.nih.gov/pmc/blobs/fa42/12403305/c490eb63a63d/12864_2025_11992_Fig2_HTML.jpg
https://cdn.ncbi.nlm.nih.gov/pmc/blobs/fa42/12403305/2efd8b1a2a1d/12864_2025_11992_Fig3_HTML.jpg
https://cdn.ncbi.nlm.nih.gov/pmc/blobs/fa42/12403305/48807ef5a386/12864_2025_11992_Fig4_HTML.jpg
https://cdn.ncbi.nlm.nih.gov/pmc/blobs/fa42/12403305/13cae5fd6551/12864_2025_11992_Fig5_HTML.jpg
https://cdn.ncbi.nlm.nih.gov/pmc/blobs/fa42/12403305/cda5a120dc6c/12864_2025_11992_Fig6_HTML.jpg
https://cdn.ncbi.nlm.nih.gov/pmc/blobs/fa42/12403305/b380ac298d47/12864_2025_11992_Fig7_HTML.jpg
https://cdn.ncbi.nlm.nih.gov/pmc/blobs/fa42/12403305/8a923016bed8/12864_2025_11992_Fig8_HTML.jpg
https://cdn.ncbi.nlm.nih.gov/pmc/blobs/fa42/12403305/b138928f56cf/12864_2025_11992_Fig9_HTML.jpg
https://cdn.ncbi.nlm.nih.gov/pmc/blobs/fa42/12403305/46a7e761cec2/12864_2025_11992_Fig10_HTML.jpg

相似文献

1
Comprehensive analysis of the sucrose nonfermenting 1-related protein kinase 2 gene family in broomcorn millet (Panicum miliaceum L.) under abiotic stress conditions.非生物胁迫条件下黍稷(Panicum miliaceum L.)中蔗糖非发酵1相关蛋白激酶2基因家族的综合分析
BMC Genomics. 2025 Sep 2;26(1):797. doi: 10.1186/s12864-025-11992-1.
2
Genome-Wide Identification and Analysis of bZIP Transcription Factor Gene Family in Broomcorn Millet ( L.).黍稷(Panicum miliaceum L.)中bZIP转录因子基因家族的全基因组鉴定与分析
Genes (Basel). 2025 Jun 24;16(7):734. doi: 10.3390/genes16070734.
3
Comparative analysis of POD gene family and expression differentiation under NaCl, HO and PEG stresses in sorghum.高粱中POD基因家族在NaCl、HO和PEG胁迫下的比较分析及表达分化
BMC Genomics. 2025 Jul 17;26(1):674. doi: 10.1186/s12864-025-11858-6.
4
Genome identification of NAC gene family and its gene expression patterns in responding to salt and drought stresses in Rhododendron delavayi.马缨杜鹃NAC基因家族的基因组鉴定及其对盐胁迫和干旱胁迫的基因表达模式
BMC Plant Biol. 2025 Jul 17;25(1):924. doi: 10.1186/s12870-025-06965-1.
5
Genome-wide characterization of GRAS gene family and their expression profiles under diverse biotic and abiotic stresses in Amorphophallus konjac.魔芋GRAS基因家族的全基因组特征及其在多种生物和非生物胁迫下的表达谱
BMC Genomics. 2025 Jul 8;26(1):643. doi: 10.1186/s12864-025-11777-6.
6
Identification of L. Casein Kinase I-like Gene Family and Analysis of Abiotic Stress Response.酪蛋白激酶I样基因家族的鉴定及非生物胁迫响应分析
Genes (Basel). 2025 Jun 27;16(7):757. doi: 10.3390/genes16070757.
7
Genome-wide identification and analysis of SmRR gene family in eggplant (Solanum melongena L.) and their response to abiotic stress and auxin.茄子(Solanum melongena L.)中SmRR基因家族的全基因组鉴定与分析及其对非生物胁迫和生长素的响应
BMC Genomics. 2025 Jul 25;26(1):689. doi: 10.1186/s12864-025-11810-8.
8
Genome-wide identification and analysis of the FLA gene family in maize (Zea mays L.) and its expression in response to abiotic stresses.玉米(Zea mays L.)中FLA基因家族的全基因组鉴定与分析及其对非生物胁迫的响应表达
BMC Plant Biol. 2025 Jul 30;25(1):982. doi: 10.1186/s12870-025-06981-1.
9
GHMP gene family: identification, evolutionary and expression analysis under various exogenous hormones and abiotic stress in tomato.GHMP基因家族:番茄在多种外源激素和非生物胁迫下的鉴定、进化及表达分析
BMC Plant Biol. 2025 Jul 3;25(1):850. doi: 10.1186/s12870-025-06857-4.
10
Genome-Wide Identification and Expression Analysis of the Class III Peroxidase Gene Family under Abiotic Stresses in Litchi ( Sonn.).荔枝( Sonn.)非生物胁迫下 III 类过氧化物酶基因家族的全基因组鉴定和表达分析。
Int J Mol Sci. 2024 May 26;25(11):5804. doi: 10.3390/ijms25115804.

本文引用的文献

1
A complete reference genome of broomcorn millet.甜高粱的完整参考基因组。
Sci Data. 2024 Jun 21;11(1):657. doi: 10.1038/s41597-024-03489-5.
2
Pangenome analysis reveals genomic variations associated with domestication traits in broomcorn millet.泛基因组分析揭示与谷子驯化性状相关的基因组变异。
Nat Genet. 2023 Dec;55(12):2243-2254. doi: 10.1038/s41588-023-01571-z. Epub 2023 Nov 30.
3
Identification and expression profile analysis of the SnRK2 gene family in cucumber.黄瓜中 SnRK2 基因家族的鉴定和表达谱分析。
PeerJ. 2022 Sep 21;10:e13994. doi: 10.7717/peerj.13994. eCollection 2022.
4
ABA activated SnRK2 kinases: an emerging role in plant growth and physiology.ABA 激活的 SnRK2 激酶:在植物生长和生理中的新作用。
Plant Signal Behav. 2022 Dec 31;17(1):2071024. doi: 10.1080/15592324.2022.2071024.
5
Genome-wide identification and expression profiling analysis of maize AP2/ERF superfamily genes reveal essential roles in abiotic stress tolerance.全基因组鉴定和玉米 AP2/ERF 超家族基因表达谱分析揭示了它们在非生物胁迫耐受性中的重要作用。
BMC Genomics. 2022 Feb 12;23(1):125. doi: 10.1186/s12864-022-08345-7.
6
Interactive Tree Of Life (iTOL) v5: an online tool for phylogenetic tree display and annotation.交互式生命树 (iTOL) v5:一个用于显示和注释系统发育树的在线工具。
Nucleic Acids Res. 2021 Jul 2;49(W1):W293-W296. doi: 10.1093/nar/gkab301.
7
Identification, Evolutionary and Expression Analysis of Gene Families in Soybean.大豆基因家族的鉴定、进化及表达分析
Plants (Basel). 2020 Oct 14;9(10):1356. doi: 10.3390/plants9101356.
8
Salt Tolerance Mechanisms of Plants.植物的耐盐机制。
Annu Rev Plant Biol. 2020 Apr 29;71:403-433. doi: 10.1146/annurev-arplant-050718-100005. Epub 2020 Mar 13.
9
IQ-TREE 2: New Models and Efficient Methods for Phylogenetic Inference in the Genomic Era.IQ-TREE 2:基因组时代系统发育推断的新模型和有效方法。
Mol Biol Evol. 2020 May 1;37(5):1530-1534. doi: 10.1093/molbev/msaa015.
10
Discontinuous spread of millet agriculture in eastern Asia and prehistoric population dynamics.东亚小米农业的不连续传播和史前人口动态。
Sci Adv. 2019 Sep 25;5(9):eaax6225. doi: 10.1126/sciadv.aax6225. eCollection 2019 Sep.