• 文献检索
  • 文档翻译
  • 深度研究
  • 学术资讯
  • Suppr Zotero 插件Zotero 插件
  • 邀请有礼
  • 套餐&价格
  • 历史记录
应用&插件
Suppr Zotero 插件Zotero 插件浏览器插件Mac 客户端Windows 客户端微信小程序
定价
高级版会员购买积分包购买API积分包
服务
文献检索文档翻译深度研究API 文档MCP 服务
关于我们
关于 Suppr公司介绍联系我们用户协议隐私条款
关注我们

Suppr 超能文献

核心技术专利:CN118964589B侵权必究
粤ICP备2023148730 号-1Suppr @ 2026

文献检索

告别复杂PubMed语法,用中文像聊天一样搜索,搜遍4000万医学文献。AI智能推荐,让科研检索更轻松。

立即免费搜索

文件翻译

保留排版,准确专业,支持PDF/Word/PPT等文件格式,支持 12+语言互译。

免费翻译文档

深度研究

AI帮你快速写综述,25分钟生成高质量综述,智能提取关键信息,辅助科研写作。

立即免费体验

提升航空领域的视觉标准:采用循证方法。

Advancing vision standards in aviation: Embracing evidence-based approaches.

作者信息

Lynch Allison, Niechwiej-Szwedo Ewa, Cao Shi, Kearns Suzanne, Irving Elizabeth

机构信息

School of Optometry and Vision Science, University of Waterloo, Waterloo, Ontario, Canada.

Kinesiology and Health Science, University of Waterloo, Waterloo, Ontario, Canada.

出版信息

J Vis. 2025 Sep 2;25(11):10. doi: 10.1167/jov.25.11.10.

DOI:10.1167/jov.25.11.10
PMID:40938075
原文链接:https://pmc.ncbi.nlm.nih.gov/articles/PMC12439511/
Abstract

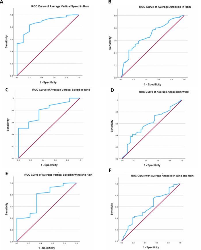
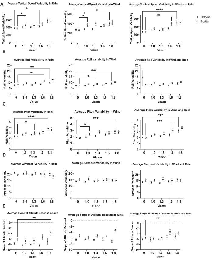
This study explores the relationship between visual acuity, contrast sensitivity, and pilot performance in simulated flight scenarios, including poor weather conditions, attempting to determine minimum visual requirements for safe flight. Twenty-six participants with normal or corrected-to-normal vision and varying flight experience (0-400 flight hours) completed simulated flight circuits under different weather conditions (e.g., rain, wind) using either Cambridge Simulation Glasses or defocusing lenses to degrade vision. Flight performance was assessed subjectively by an instructor using standardized criteria and objectively via simulator data. Visual acuity and contrast sensitivity were measured at each level of visual degradation. Mixed model analysis of variance revealed significant differences in the variability of vertical speed, pitch, roll, and the slope of altitude descent as a function of vision degradation level and weather conditions. There was also a significant main effect of vision degradation type (scatter or defocus) on the slope of altitude descent. Post hoc analyses indicated flight performance was first affected at 1.0 and 1.3 logarithm of the minimum angle of resolution degradation with scattering and defocusing lenses, respectively. These results suggest that current vision standards should potentially be reevaluated for them to be more based on evidence.

摘要

本研究探讨了在模拟飞行场景(包括恶劣天气条件)下视力、对比敏感度与飞行员表现之间的关系,试图确定安全飞行的最低视觉要求。26名视力正常或矫正后正常且飞行经验各异(0至400飞行小时)的参与者,使用剑桥模拟眼镜或散焦镜片来降低视力,在不同天气条件(如降雨、有风)下完成模拟飞行航线。飞行表现由一名教员使用标准化标准进行主观评估,并通过模拟器数据进行客观评估。在视力下降的每个阶段测量视力和对比敏感度。混合模型方差分析显示,垂直速度、俯仰、横滚以及高度下降斜率的变异性在视力下降水平和天气条件方面存在显著差异。在高度下降斜率方面,视力下降类型(散射或散焦)也存在显著的主效应。事后分析表明,分别使用散射镜片和散焦镜片时,飞行表现首先在最小分辨角下降的对数为1.0和1.3时受到影响。这些结果表明,当前的视力标准可能需要重新评估,以便更多地基于证据。

https://cdn.ncbi.nlm.nih.gov/pmc/blobs/bb68/12439511/abc8a2b777d3/jovi-25-11-10-f007.jpg
https://cdn.ncbi.nlm.nih.gov/pmc/blobs/bb68/12439511/30a42da297c5/jovi-25-11-10-f001.jpg
https://cdn.ncbi.nlm.nih.gov/pmc/blobs/bb68/12439511/4e6dd7a2db7f/jovi-25-11-10-f002.jpg
https://cdn.ncbi.nlm.nih.gov/pmc/blobs/bb68/12439511/a7db256c9ece/jovi-25-11-10-f003.jpg
https://cdn.ncbi.nlm.nih.gov/pmc/blobs/bb68/12439511/2caff319e439/jovi-25-11-10-f004.jpg
https://cdn.ncbi.nlm.nih.gov/pmc/blobs/bb68/12439511/99bc0137280b/jovi-25-11-10-f005.jpg
https://cdn.ncbi.nlm.nih.gov/pmc/blobs/bb68/12439511/78cac53fb1e6/jovi-25-11-10-f006.jpg
https://cdn.ncbi.nlm.nih.gov/pmc/blobs/bb68/12439511/abc8a2b777d3/jovi-25-11-10-f007.jpg
https://cdn.ncbi.nlm.nih.gov/pmc/blobs/bb68/12439511/30a42da297c5/jovi-25-11-10-f001.jpg
https://cdn.ncbi.nlm.nih.gov/pmc/blobs/bb68/12439511/4e6dd7a2db7f/jovi-25-11-10-f002.jpg
https://cdn.ncbi.nlm.nih.gov/pmc/blobs/bb68/12439511/a7db256c9ece/jovi-25-11-10-f003.jpg
https://cdn.ncbi.nlm.nih.gov/pmc/blobs/bb68/12439511/2caff319e439/jovi-25-11-10-f004.jpg
https://cdn.ncbi.nlm.nih.gov/pmc/blobs/bb68/12439511/99bc0137280b/jovi-25-11-10-f005.jpg
https://cdn.ncbi.nlm.nih.gov/pmc/blobs/bb68/12439511/78cac53fb1e6/jovi-25-11-10-f006.jpg
https://cdn.ncbi.nlm.nih.gov/pmc/blobs/bb68/12439511/abc8a2b777d3/jovi-25-11-10-f007.jpg

相似文献

1
Advancing vision standards in aviation: Embracing evidence-based approaches.提升航空领域的视觉标准:采用循证方法。
J Vis. 2025 Sep 2;25(11):10. doi: 10.1167/jov.25.11.10.
2
Reading aids for adults with low vision.针对视力低下成年人的阅读辅助工具。
Cochrane Database Syst Rev. 2018 Apr 17;4(4):CD003303. doi: 10.1002/14651858.CD003303.pub4.
3
Trifocal intraocular lenses versus bifocal intraocular lenses after cataract extraction among participants with presbyopia.多焦点人工晶状体与白内障摘除术后老视患者的双焦点人工晶状体比较。
Cochrane Database Syst Rev. 2023 Jan 27;1(1):CD012648. doi: 10.1002/14651858.CD012648.pub3.
4
Trifocal versus extended depth of focus (EDOF) intraocular lenses after cataract extraction.白内障摘除术后三焦点与扩展景深(EDOF)人工晶状体的比较。
Cochrane Database Syst Rev. 2024 Jul 10;7(7):CD014891. doi: 10.1002/14651858.CD014891.pub2.
5
Multifocal versus monofocal intraocular lenses after cataract extraction.白内障摘除术后多焦点与单焦点人工晶状体的比较
Cochrane Database Syst Rev. 2016 Dec 12;12(12):CD003169. doi: 10.1002/14651858.CD003169.pub4.
6
Blue-light filtering spectacle lenses for visual performance, sleep, and macular health in adults.蓝光滤光眼镜在成人的视觉表现、睡眠和黄斑健康方面的应用。
Cochrane Database Syst Rev. 2023 Aug 18;8(8):CD013244. doi: 10.1002/14651858.CD013244.pub2.
7
Prescription of Controlled Substances: Benefits and Risks管制药品的处方:益处与风险
8
Prophylactic non-steroidal anti-inflammatory drugs for the prevention of macular oedema after cataract surgery.预防性使用非甾体抗炎药预防白内障手术后黄斑水肿。
Cochrane Database Syst Rev. 2016 Nov 1;11(11):CD006683. doi: 10.1002/14651858.CD006683.pub3.
9
Community screening for visual impairment in older people.老年人视力障碍的社区筛查。
Cochrane Database Syst Rev. 2018 Feb 20;2(2):CD001054. doi: 10.1002/14651858.CD001054.pub3.
10
Binocular versus standard occlusion or blurring treatment for unilateral amblyopia in children aged three to eight years.双眼视刺激或常规遮盖治疗法治疗 3-8 岁儿童单眼弱视的比较。
Cochrane Database Syst Rev. 2022 Feb 7;2(2):CD011347. doi: 10.1002/14651858.CD011347.pub3.

本文引用的文献

1
Vision screening and vocational aptitude: A factor analysis approach.视力筛查与职业适应性:因子分析方法。
PLoS One. 2023 May 31;18(5):e0286513. doi: 10.1371/journal.pone.0286513. eCollection 2023.
2
Vision Impairment and On-Road Driving.视力障碍与道路驾驶。
Annu Rev Vis Sci. 2022 Sep 15;8:195-216. doi: 10.1146/annurev-vision-100820-085030.
3
Vision through Healthy Aging Eyes.健康老龄眼中的视觉。
Vision (Basel). 2021 Sep 30;5(4):46. doi: 10.3390/vision5040046.
4
Impact of vision disorders and vision impairment on motor vehicle crash risk and on-road driving performance: A systematic review.视力障碍和视力损害对机动车碰撞风险及道路驾驶性能的影响:一项系统综述。
Acta Ophthalmol. 2022 Mar;100(2):e339-e367. doi: 10.1111/aos.14908. Epub 2021 Jul 26.
5
Nighttime driving: visual, lighting and visibility challenges.夜间驾驶:视觉、照明和可见度挑战。
Ophthalmic Physiol Opt. 2020 Mar;40(2):187-201. doi: 10.1111/opo.12659. Epub 2019 Dec 25.
6
Problems of Vision in Aviation.航空中的视力问题。
Glasgow Med J. 1940 Mar;133(3):73-84.
7
Effect of defocus on response time in different age groups: A pilot study.散焦对不同年龄组反应时间的影响:一项初步研究。
J Optom. 2016 Jul-Sep;9(3):196-202. doi: 10.1016/j.optom.2015.11.001. Epub 2015 Dec 31.
8
Meeting the UK driving vision standards with reduced contrast sensitivity.在对比敏感度降低的情况下达到英国驾驶视力标准。
Eye (Lond). 2016 Jan;30(1):89-94. doi: 10.1038/eye.2015.188. Epub 2015 Oct 16.
9
A roadmap for interpreting the literature on vision and driving.解读视觉与驾驶相关文献的路线图。
Surv Ophthalmol. 2015 May-Jun;60(3):250-62. doi: 10.1016/j.survophthal.2015.01.005. Epub 2015 Feb 7.
10
Beyond 20/20: new clinical methods to quantify vision performance.超越20/20:量化视觉表现的新临床方法
Mil Med. 2011 Mar;176(3):324-6. doi: 10.7205/milmed-d-10-00320.