Suppr超能文献

特定成纤维细胞生长因子作为1型和2型糖尿病并发症潜在标志物的前景作用

The Promising Role of Selected Fibroblast Growth Factors as Potential Markers of Complications in Type 1 and Type 2 Diabetes.

作者信息

Cecerska-Heryć Elżbieta, Michałów Jaśmina, Engwert Weronika, Marciniak Julia, Birger Radosław, Serwin Natalia, Heryć Rafał, Polikowska Aleksandra, Goszka Małgorzata, Wiśniewska Magda, Dołęgowska Barbara

机构信息

Department of Laboratory Medicine, Pomeranian Medical University of Szczecin, Powstancow Wielkopolskich 72, 70-111 Szczecin, Poland.

Cardiothoracic Surgery Clinic, Cardiac Rehabilitation Department, Pomeranian Medical University of Szczecin, Powstancow Wielkopolskich 72, 70-111 Szczecin, Poland.

出版信息

Int J Mol Sci. 2025 Sep 8;26(17):8754. doi: 10.3390/ijms26178754.

Abstract

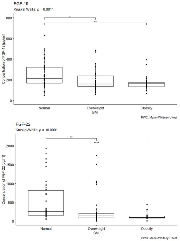
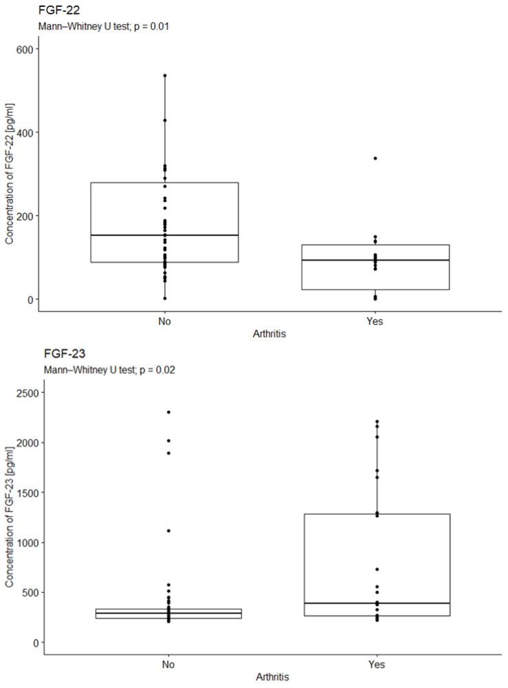
Diabetes is a common chronic disease. Untreated diabetes may lead to complications such as nephropathy, neuropathy, retinopathy, and macroangiopathies. The main goal in treating diabetes is to limit the development of vascular complications. The FGF (fibroblast growth factor) family, with its potential as a biomarker for diabetic complications, offers a promising avenue for future research and treatment. The study aimed to analyze and compare the concentrations of selected fibroblast growth factors, FGF-2, FGF-19, FGF-22, and FGF-23, in the plasma of patients with type 1 and type 2 diabetes with those of the control group. The study group consisted of 73 patients, including 33 people with type 1 diabetes (18 M and 15 W) aged 18 to 68 years and 40 with type 2 diabetes (20 M and 20 W) aged 25 to 90. The control group consisted of 41 healthy individuals (23 men and 18 women) aged 21 to 56. The FGF-2, FGF-19, FGF-22, and FGF-23 concentrations were measured using ELISA. The study observed a significant relationship between the levels of FGF19 and FGF22 in the serum of patients with type 1 and type 2 diabetes, as well as in the control group ( < 0.001; < 0.001). Statistical analysis revealed a significant relationship between FGF-2 and FGF-22 concentrations and hypertension ( = 0.03; = 0.01). A statistically significant difference was also found between the concentrations of FGF-19 and FGF-22 ( = 0.001; < 0.001) in the serum of people with normal weight and people with overweight and obesity. A significant correlation was also observed between the concentrations of FGF-22 and FGF-23 and arthritis ( = 0.01; = 0.02). FGF-2, FGF-19, FGF-22, and FGF-23 likely significantly impact diabetes and its complications. In the future, they could serve as biomarkers for diabetic complications, aiding in diagnosis, patient monitoring, and even predicting potential complications for individuals. However, more research in this area is necessary.

摘要

糖尿病是一种常见的慢性病。未经治疗的糖尿病可能会导致诸如肾病、神经病变、视网膜病变和大血管病变等并发症。治疗糖尿病的主要目标是限制血管并发症的发展。成纤维细胞生长因子(FGF)家族具有作为糖尿病并发症生物标志物的潜力,为未来的研究和治疗提供了一条有前景的途径。该研究旨在分析和比较1型和2型糖尿病患者血浆中选定的成纤维细胞生长因子FGF-2、FGF-19、FGF-22和FGF-23的浓度与对照组的浓度。研究组由73名患者组成,包括33名1型糖尿病患者(18名男性和15名女性),年龄在18至68岁之间,以及40名2型糖尿病患者(20名男性和20名女性),年龄在25至90岁之间。对照组由41名健康个体(23名男性和18名女性)组成,年龄在21至56岁之间。使用酶联免疫吸附测定法(ELISA)测量FGF-2、FGF-19、FGF-22和FGF-23的浓度。该研究观察到1型和2型糖尿病患者以及对照组血清中FGF19和FGF22水平之间存在显著关系(<0.001;<0.001)。统计分析显示FGF-2和FGF-22浓度与高血压之间存在显著关系(=0.03;=0.01)。在正常体重者与超重和肥胖者的血清中,FGF-19和FGF-22的浓度之间也发现了统计学上的显著差异(=0.001;<0.001)。FGF-22和FGF-23的浓度与关节炎之间也观察到显著相关性(=0.01;=0.02)。FGF-2、FGF-19、FGF-22和FGF-23可能对糖尿病及其并发症有显著影响。未来,它们可作为糖尿病并发症的生物标志物,有助于诊断、患者监测,甚至预测个体的潜在并发症。然而,该领域需要更多的研究。

https://cdn.ncbi.nlm.nih.gov/pmc/blobs/6152/12429062/c0c27695d4b4/ijms-26-08754-g001.jpg

文献检索

告别复杂PubMed语法,用中文像聊天一样搜索,搜遍4000万医学文献。AI智能推荐,让科研检索更轻松。

立即免费搜索

文件翻译

保留排版,准确专业,支持PDF/Word/PPT等文件格式,支持 12+语言互译。

免费翻译文档

深度研究

AI帮你快速写综述,25分钟生成高质量综述,智能提取关键信息,辅助科研写作。

立即免费体验