• 文献检索
  • 文档翻译
  • 深度研究
  • 学术资讯
  • Suppr Zotero 插件Zotero 插件
  • 邀请有礼
  • 套餐&价格
  • 历史记录
应用&插件
Suppr Zotero 插件Zotero 插件浏览器插件Mac 客户端Windows 客户端微信小程序
定价
高级版会员购买积分包购买API积分包
服务
文献检索文档翻译深度研究API 文档MCP 服务
关于我们
关于 Suppr公司介绍联系我们用户协议隐私条款
关注我们

Suppr 超能文献

核心技术专利:CN118964589B侵权必究
粤ICP备2023148730 号-1Suppr @ 2026

文献检索

告别复杂PubMed语法,用中文像聊天一样搜索,搜遍4000万医学文献。AI智能推荐,让科研检索更轻松。

立即免费搜索

文件翻译

保留排版,准确专业,支持PDF/Word/PPT等文件格式,支持 12+语言互译。

免费翻译文档

深度研究

AI帮你快速写综述,25分钟生成高质量综述,智能提取关键信息,辅助科研写作。

立即免费体验

1990年至2021年非洲地区和国家糖尿病及其可归因风险因素的负担:全球疾病负担研究2021年的结果

African regional and national burden of diabetes mellitus and its attributable risk factors from 1990 to 2021: results from the global burden of disease study 2021.

作者信息

Wang Qiu-Yun, Mensah Emmanuel, Li Zhi-Chao, Wang De-Guo, Zhang Cui-Wei, Baako Bruno Miezah, Zha Lei, Kong Xiang

机构信息

Department of Gerontology, Geriatric Endocrinology Unit, The First Affiliated Hospital of Wannan Medical College, Wuhu, China.

Department of Respiratory Medicine, The First Affiliated Hospital of Wannan Medical College, Wuhu, China.

出版信息

Front Endocrinol (Lausanne). 2025 Aug 28;16:1643999. doi: 10.3389/fendo.2025.1643999. eCollection 2025.

DOI:10.3389/fendo.2025.1643999
PMID:40951432
原文链接:https://pmc.ncbi.nlm.nih.gov/articles/PMC12422890/
Abstract

AIMS

Diabetes mellitus (DM), a chronic disease characterized by hyperglycemia, has become a global health concern. This study evaluates the burden of DM in the African region from 1990-2021 to inform prevention and control strategies.

METHODS

Utilizing data from the Global Burden of Disease (GBD) 2021, we analyzed the incidence, prevalence, mortality, disability-adjusted life years, age-standardized rates and estimated annual percentage changes of DM, type 1 DM (T1DM) and type 2 DM (T2DM) in the African region. Decomposition analysis was utilized to explore the contributions of population growth, aging and epidemiological changes to the disease burden. The comparative risk assessment framework was employed to estimate the influence of second-level risk factors on the diabetes burden.

RESULTS

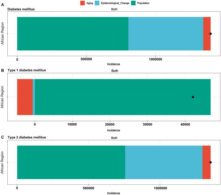
From 1990 to 2021, the disease burden of DM, T1DM and T2DM in the African region increased significantly. The age-standardized incidence rate of DM, T1DM and T2DM increased from 157.284, 5.934 and 151.350 per 100,000 population in 1990 to 250.459, 5.987 and 244.472 per 100,000 population in 2021, respectively. The age-standardized prevalence rate for DM, T1DM and T2DM increased from 2,426.585, 185.366 and 2,241.219 per 100,000 population in 1990 to 4,677.459, 189.384 and 4,488.075 per 100,000 population in 2021. The age-standardized mortality rate for DM and T2DM increased from 39.568 and 38.649 per 100,000 population in 1990 to 44.860 and 44.193 per 100,000 population in 2021. The age-standardized disability-adjusted life years(DALYs)for DM and T2DM increased from 1,123.079 and 1,059.430 per 100,000 population in 1990 to 1,379.240 and 1,329.440 per 100,000 population in 2021. Population growth was identified as the key driver of the increasing disease burden. High body mass index was a major risk factor for DALYs in DM/T2DM. Suboptimal temperature was a major risk factor for DALYs in T1DM. Mauritius had the highest incidence and prevalence rates for DM, T1DM and T2DM, while Kenya and Niger exhibited the lowest rates for DM/T2DM and T1DM, respectively.

CONCLUSION

Diabetes mellitus (DM) imposes a substantial global disease burden across Africa, necessitating urgent public health interventions to address risk factors and enhance prevention and control measures.

摘要

目的

糖尿病(DM)是一种以高血糖为特征的慢性疾病,已成为全球关注的健康问题。本研究评估了1990年至2021年非洲地区糖尿病的负担,为预防和控制策略提供依据。

方法

利用全球疾病负担(GBD)2021的数据,我们分析了非洲地区糖尿病、1型糖尿病(T1DM)和2型糖尿病(T2DM)的发病率、患病率、死亡率、伤残调整生命年、年龄标准化率和估计年度百分比变化。采用分解分析探讨人口增长、老龄化和流行病学变化对疾病负担的贡献。运用比较风险评估框架估计二级风险因素对糖尿病负担的影响。

结果

1990年至2021年,非洲地区糖尿病、T1DM和T2DM的疾病负担显著增加。糖尿病、T1DM和T2DM的年龄标准化发病率分别从1990年的每10万人157.284、5.934和151.350例增加到2021年的每10万人250.459、5.987和244.472例。糖尿病、T1DM和T2DM的年龄标准化患病率分别从1990年的每10万人2426.585、185.366和2241.219例增加到2021年的每10万人4677.459、189.384和4488.075例。糖尿病和T2DM的年龄标准化死亡率分别从1990年的每10万人39.568和38.649例增加到2021年的每10万人44.860和44.193例。糖尿病和T2DM的年龄标准化伤残调整生命年分别从1990年的每10万人1123.079和1059.430增加到2021年的每10万人1379.240和1329.440。人口增长被确定为疾病负担增加的关键驱动因素。高体重指数是糖尿病/T2DM伤残调整生命年的主要风险因素。温度不适是T1DM伤残调整生命年的主要风险因素。毛里求斯的糖尿病、T1DM和T2DM发病率和患病率最高,而肯尼亚和尼日尔的糖尿病/T2DM和T1DM发病率最低。

结论

糖尿病在非洲造成了巨大的全球疾病负担,需要紧急的公共卫生干预措施来应对风险因素并加强预防和控制措施。

https://cdn.ncbi.nlm.nih.gov/pmc/blobs/7df3/12422890/2013956fe547/fendo-16-1643999-g003.jpg
https://cdn.ncbi.nlm.nih.gov/pmc/blobs/7df3/12422890/c50e93f974be/fendo-16-1643999-g001.jpg
https://cdn.ncbi.nlm.nih.gov/pmc/blobs/7df3/12422890/7d1371b5985b/fendo-16-1643999-g002.jpg
https://cdn.ncbi.nlm.nih.gov/pmc/blobs/7df3/12422890/2013956fe547/fendo-16-1643999-g003.jpg
https://cdn.ncbi.nlm.nih.gov/pmc/blobs/7df3/12422890/c50e93f974be/fendo-16-1643999-g001.jpg
https://cdn.ncbi.nlm.nih.gov/pmc/blobs/7df3/12422890/7d1371b5985b/fendo-16-1643999-g002.jpg
https://cdn.ncbi.nlm.nih.gov/pmc/blobs/7df3/12422890/2013956fe547/fendo-16-1643999-g003.jpg

相似文献

1
African regional and national burden of diabetes mellitus and its attributable risk factors from 1990 to 2021: results from the global burden of disease study 2021.1990年至2021年非洲地区和国家糖尿病及其可归因风险因素的负担:全球疾病负担研究2021年的结果
Front Endocrinol (Lausanne). 2025 Aug 28;16:1643999. doi: 10.3389/fendo.2025.1643999. eCollection 2025.
2
Epidemiological status, development trends, and risk factors of disability-adjusted life years due to diabetic kidney disease: A systematic analysis of Global Burden of Disease Study 2021.糖尿病肾病所致伤残调整生命年的流行病学现状、发展趋势及危险因素:全球疾病负担研究2021的系统分析
Chin Med J (Engl). 2025 Jan 24;138(5):568-78. doi: 10.1097/CM9.0000000000003428.
3
Global burden and risk factors of type 2 diabetes mellitus from 1990 to 2021, with forecasts to 2050.1990年至2021年2型糖尿病的全球负担及风险因素,并预测至2050年。
Front Endocrinol (Lausanne). 2025 Aug 14;16:1538143. doi: 10.3389/fendo.2025.1538143. eCollection 2025.
4
Temporal changes in the burden of type 2 diabetes mellitus across the BRICS, 1990-2021: a comprehensive analysis for the global burden of disease study 2021.1990 - 2021年金砖国家2型糖尿病负担的时间变化:2021年全球疾病负担研究的综合分析
BMC Public Health. 2025 Aug 30;25(1):2982. doi: 10.1186/s12889-025-23786-x.
5
Global burden of diabetes mellitus 1990-2021: epidemiological trends, geospatial disparities, and risk factor dynamics.1990 - 2021年全球糖尿病负担:流行病学趋势、地理空间差异及风险因素动态变化
Front Endocrinol (Lausanne). 2025 Jul 1;16:1596127. doi: 10.3389/fendo.2025.1596127. eCollection 2025.
6
Burden of knee osteoarthritis in China and globally: 1990-2045.中国及全球膝关节骨关节炎负担:1990 - 2045年
BMC Musculoskelet Disord. 2025 Jul 1;26(1):582. doi: 10.1186/s12891-025-08858-8.
7
Comparative diabetes mellitus burden trends across global, Chinese, US, and Indian populations using GBD 2021 database.利用全球疾病负担研究(GBD)2021数据库比较全球、中国、美国和印度人群中的糖尿病负担趋势。
Sci Rep. 2025 Apr 8;15(1):11955. doi: 10.1038/s41598-025-96175-4.
8
Global Burden of Severe Heart Failure Attributable to Chronic Kidney Disease in Diabetes Populations: A Systematic Analysis of the Global Burden of Disease Study 2021.糖尿病患者中慢性肾脏病所致严重心力衰竭的全球负担:全球疾病负担研究2021的系统分析
Br J Hosp Med (Lond). 2025 Aug 25;86(8):1-23. doi: 10.12968/hmed.2025.0408.
9
Analysis and comparison of the trends in burden of low back pain in China and worldwide from 1990 to 2021.1990年至2021年中国与全球范围内腰痛负担趋势的分析与比较
J Health Popul Nutr. 2025 Feb 13;44(1):39. doi: 10.1186/s41043-025-00768-8.
10
Global, regional, and national burden of maternal disorders, 1990-2021: a systematic analysis from the global burden of disease study 2021.1990 - 2021年全球、区域和国家孕产妇疾病负担:全球疾病负担研究2021的系统分析
BMC Public Health. 2025 Jul 29;25(1):2576. doi: 10.1186/s12889-025-23814-w.

本文引用的文献

1
Global burden of type 2 diabetes mellitus from 1990 to 2021, with projections of prevalence to 2044: a systematic analysis across SDI levels for the global burden of disease study 2021.全球 1990 年至 2021 年 2 型糖尿病的负担,以及对 2044 年患病率的预测:疾病负担研究 2021 年按 SDI 水平对全球疾病负担的系统分析。
Front Endocrinol (Lausanne). 2024 Nov 8;15:1501690. doi: 10.3389/fendo.2024.1501690. eCollection 2024.
2
The global, regional, and national patterns of change in the burden of congenital birth defects, 1990-2021: an analysis of the global burden of disease study 2021 and forecast to 2040.1990 - 2021年先天性出生缺陷负担的全球、区域和国家变化模式:全球疾病负担研究2021分析及至2040年的预测
EClinicalMedicine. 2024 Oct 4;77:102873. doi: 10.1016/j.eclinm.2024.102873. eCollection 2024 Nov.
3
National burden and risk factors of diabetes mellitus in China from 1990 to 2021: Results from the Global Burden of Disease study 2021.中国 1990 年至 2021 年的糖尿病全国负担和风险因素:来自 2021 年全球疾病负担研究的结果。
J Diabetes. 2024 Oct;16(10):e70012. doi: 10.1111/1753-0407.70012.
4
Global burden and strength of evidence for 88 risk factors in 204 countries and 811 subnational locations, 1990-2021: a systematic analysis for the Global Burden of Disease Study 2021.全球疾病负担研究 2021 年在 204 个国家和地区、811 个次国家级地点对 88 种风险因素的全球负担和证据强度:系统分析。
Lancet. 2024 May 18;403(10440):2162-2203. doi: 10.1016/S0140-6736(24)00933-4.
5
Global incidence, prevalence, years lived with disability (YLDs), disability-adjusted life-years (DALYs), and healthy life expectancy (HALE) for 371 diseases and injuries in 204 countries and territories and 811 subnational locations, 1990-2021: a systematic analysis for the Global Burden of Disease Study 2021.全球疾病、伤害和危险因素负担研究 2021 年,1990-2021 年全球 204 个国家和地区及 811 个次国家地区 371 种疾病和伤害的发病率、患病率、伤残损失生命年(YLDs)、伤残调整生命年(DALYs)以及健康期望寿命(HALE):系统分析
Lancet. 2024 May 18;403(10440):2133-2161. doi: 10.1016/S0140-6736(24)00757-8. Epub 2024 Apr 17.
6
Associations of the glycaemic index and the glycaemic load with risk of type 2 diabetes in 127 594 people from 20 countries (PURE): a prospective cohort study.20 个国家 127594 人的前瞻性队列研究:血糖指数和血糖负荷与 2 型糖尿病风险的关系。
Lancet Diabetes Endocrinol. 2024 May;12(5):330-338. doi: 10.1016/S2213-8587(24)00069-X. Epub 2024 Apr 5.
7
Global burden of cardiovascular diseases attributed to low physical activity: An analysis of 204 countries and territories between 1990 and 2019.归因于低体力活动的心血管疾病全球负担:对1990年至2019年间204个国家和地区的分析
Am J Prev Cardiol. 2024 Feb 6;17:100633. doi: 10.1016/j.ajpc.2024.100633. eCollection 2024 Mar.
8
Burden of type 2 diabetes mellitus and its risk factors in North Africa and the Middle East, 1990-2019: findings from the Global Burden of Disease study 2019.1990 年至 2019 年北非和中东 2 型糖尿病的负担及其危险因素:2019 年全球疾病负担研究的结果。
BMC Public Health. 2024 Jan 5;24(1):98. doi: 10.1186/s12889-023-16540-8.
9
Improving health outcomes of people with diabetes: target setting for the WHO Global Diabetes Compact.提高糖尿病患者的健康结果:世卫组织全球糖尿病契约的目标设定。
Lancet. 2023 Apr 15;401(10384):1302-1312. doi: 10.1016/S0140-6736(23)00001-6. Epub 2023 Mar 14.
10
National and sub-national burden and trend of type 1 diabetes in 31 provinces of Iran, 1990-2019.伊朗 31 个省份 1990-2019 年 1 型糖尿病的国家和省级负担及趋势。
Sci Rep. 2023 Mar 14;13(1):4210. doi: 10.1038/s41598-023-31096-8.