Moore N C, Anderson G, Williams G T, Owen J J, Jenkinson E J
Centre for Clinical Research in Immunology and Signalling, Medical School, University of Birmingham, U.K.
Immunology. 1994 Jan;81(1):115-9.
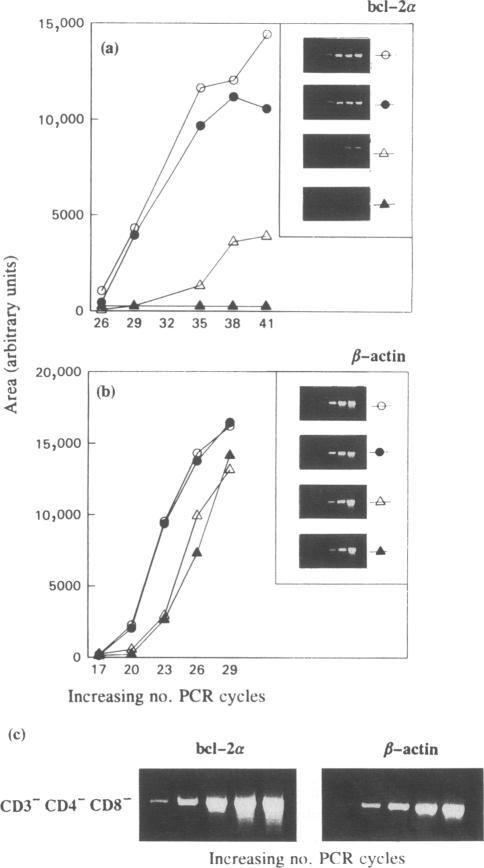
An important factor in shaping the T-cell receptor (TcR) repertoire during thymocyte development is the susceptibility of double-positive (CD4+ CD8+) thymocytes to induction of apoptosis (negative selection) when the TcR is engaged by 'self'-antigens. Recent evidence has suggested that this susceptibility to apoptosis may be influenced by the expression of bcl-2, a proto-oncogene known to increase the resistance to apoptosis in various cell systems. Using a semi-quantitative polymerase chain reaction (PCR) technique in conjunction with staged embryonic material and purified thymocyte subpopulations we have investigated patterns of bcl-2 expression during normal T-cell development. Our results show that while bcl-2 alpha gene expression is readily detectable in immature CD3-CD4-CD8- thymocytes and in mature single-positive TcRhi cells, it is drastically reduced in TcR negative double-positive (CD3- CD4+ CD8+) cortical thymocytes of intermediate maturity. Careful mapping of bcl-2 alpha re-expression in relation to the onset of TcR expression within the population of embryonic thymocytes indicates that bcl-2 alpha is up-regulated as soon as TcR molecules are expressed on the surface of CD4+ CD8+ thymocytes. Therefore, thymocytes susceptible to apoptosis on TcR ligation express bcl-2 alpha mRNA suggesting that changing levels of bcl-2 expression are unlikely to be the only determinant regulating susceptibility to apoptosis in the thymus. The possible implications of these changes in bcl-2 expression regarding other facets of thymocyte development will be discussed.
在胸腺细胞发育过程中,塑造T细胞受体(TcR)库的一个重要因素是,当TcR与“自身”抗原结合时,双阳性(CD4+CD8+)胸腺细胞诱导凋亡(阴性选择)的易感性。最近的证据表明,这种对凋亡的易感性可能受bcl-2表达的影响,bcl-2是一种原癌基因,已知其可增加各种细胞系统对凋亡的抗性。我们使用半定量聚合酶链反应(PCR)技术,结合分期胚胎材料和纯化的胸腺细胞亚群,研究了正常T细胞发育过程中bcl-2的表达模式。我们的结果显示,虽然在未成熟的CD3-CD4-CD8-胸腺细胞和成熟的单阳性TcRhi细胞中很容易检测到bcl-2α基因表达,但在中等成熟度的TcR阴性双阳性(CD3-CD4+CD8+)皮质胸腺细胞中,其表达急剧降低。在胚胎胸腺细胞群体中,仔细绘制bcl-2α重新表达与TcR表达开始的关系图表明,一旦TcR分子在CD4+CD8+胸腺细胞表面表达,bcl-2α就会上调。因此,在TcR连接时易发生凋亡的胸腺细胞表达bcl-2α mRNA,这表明bcl-2表达水平的变化不太可能是调节胸腺细胞凋亡易感性的唯一决定因素。将讨论bcl-2表达的这些变化对胸腺细胞发育其他方面的可能影响。