
在现代医学的叙事中,艾滋病(HIV)似乎已经从一种“绝症”变成了一种可控的“慢性病”。只要按时服用抗逆转录病毒药物(ART),感染者就能像普通人一样长寿——这几乎已经成为了公众的共识。
然而,现实远比这个乐观的共识要残酷得多。
尽管检测和治疗手段已经大幅进步,但在2023年,全球仍有约 63万人 死于艾滋病相关原因。为什么在药物触手可及的今天,死亡人数依然如此庞大?
最新的《柳叶刀·全球健康》(The Lancet Global Health)发布的一项重磅研究揭示了问题的核心:我们解决的只是“早期”或“稳定期”的问题,而对于那些处于晚期艾滋病(Advanced HIV Disease, AHD)阶段的患者,常规的治疗手段还远远不够。更重要的是,这项研究用详实的数据告诉我们:只要改变一下治疗策略,哪怕是在资源最匮乏的国家,我们也能以极低的成本,从死神手中抢回大量的时间。
当我们在谈论“艾滋病已是慢性病”时,往往忽略了一个前提:患者必须在免疫系统彻底崩溃前就开始治疗。
但在撒哈拉以南非洲等医疗资源受限的地区,现实情况是:约有 20% 到 40% 的艾滋病感染者在第一次走进诊所时,就已经处于“晚期”状态。这项针对马拉维的研究模型显示,在所有启动治疗的人群中,有 25% 的人属于晚期艾滋病患者。
什么是“晚期”?世界卫生组织(WHO)给出的定义简单粗暴:
对于这部分人群来说,仅仅给他们抗病毒药物(ART)是不够的。他们的免疫系统如同千疮百孔的城墙,挡不住结核病(Tuberculosis)、隐球菌脑膜炎(Cryptococcal meningitis)和严重细菌感染(Severe bacterial infections)的进攻。这些并发症,才是导致他们死亡的真正推手。
如果只给他们常规的抗病毒药物,结局会如何?研究模型预测,仅接受ART治疗的患者,其预期寿命约为 17.45个质量调整生命年(QALYs)。虽然听起来还行,但只要你看过另一种方案的效果,就会发现我们错失了巨大的生存机会。
为了应对这一危机,WHO早在2017年就推荐了一套“晚期艾滋病护理包”(AHD package of care)。但这套方案在很多地方并没有得到很好的执行,原因很现实:缺钱、缺检测设备、流程太复杂。
这套“组合拳”到底包含什么?其实并不玄幻,主要由四个核心动作组成:
这一套看起来繁琐的流程,真的值得吗?马拉维的研究数据给出了一个令人震撼的肯定答案。
研究团队利用复杂的CEPAC-I模型,模拟了8万名启动治疗的马拉维患者的终身健康状况。结果显示,相比于只给抗病毒药物(ART only),实施WHO推荐的全套护理包带来了显著的临床获益。
从数据中,我们可以提炼出几个直击人心的关键结论:
这是一组实打实的救命数据。特别是对于那些免疫系统最差的患者(CD4<200),这套方案在第一年就能将生存率直接拉升 5个百分点 以上。
看到这里,许多政策制定者可能会心里打鼓:效果虽好,但这套又是检测又是预防药的“豪华套餐”,肯定很贵吧?对于像马拉维这样医疗预算捉襟见肘的国家,负担得起吗?
研究给出的答案不仅是“负担得起”,甚至是“极其划算”。
研究人员计算了一个关键指标:增量成本-效果比(ICER)。简单来说,就是“每让患者多健康地活一年,需要多花多少钱”。计算结果显示,这套WHO推荐方案的ICER仅为 580美元/QALY。参照马拉维的人均GDP(作为成本效益的阈值参考),这个数字完全在“高性价比”的区间内。
为了验证这个结论是否稳固,研究人员还进行了一项很有意思的压力测试。如图[1]所示,他们模拟了各种极端情况。

图[1]:不同情境下的最优策略选择分析。横轴代表人群中晚期艾滋病(AHD)患者的比例,纵轴代表我们愿意为每多活一年支付的费用(成本效益阈值)。图中的大片绿色区域代表WHO推荐的全套方案是“最优解”。
从图[1]中我们可以解读出非常重要的信息:
这意味着,这套方案不仅不仅临床效果好,而且在经济上具有极强的鲁棒性——它不是那种娇贵的、只在特定条件下才成立的方案,而是一个皮实耐用、适应性极强的公共卫生策略。
对于国家层面的决策者来说,除了性价比(ICER),更现实的问题是:财政预算这块大饼,到底能不能装得下这个新方案?
研究团队进行了一项为期5年的预算影响分析,假设在马拉维有8万名新启动治疗的艾滋病感染者。结果可能会让你感到意外:大部分的钱,其实本来就要花。
如图[2]所示,柱状图的绝大部分高度(灰色部分)都是基础的抗病毒治疗(ART)和常规护理费用。无论你是否实施WHO的晚期护理包,这笔钱都是省不掉的。

图[2]:未来5年的预算影响分析。灰色部分代表常规的ART药物和护理成本,它占据了绝对大头。顶部的彩色细条才是WHO推荐的晚期护理包带来的额外成本(包括结核病、隐球菌的检测与预防等)。
从图[2]中我们可以清晰地看到:
更有趣的是,这套方案还能帮政府省钱。因为它有效预防了严重的细菌感染和隐球菌脑膜炎,使得这两类疾病的住院治疗费用分别减少了16.7万美元和7.4万美元。这就好比给车子做了保养,虽然花了保养费,但省下了大修发动机的巨款。
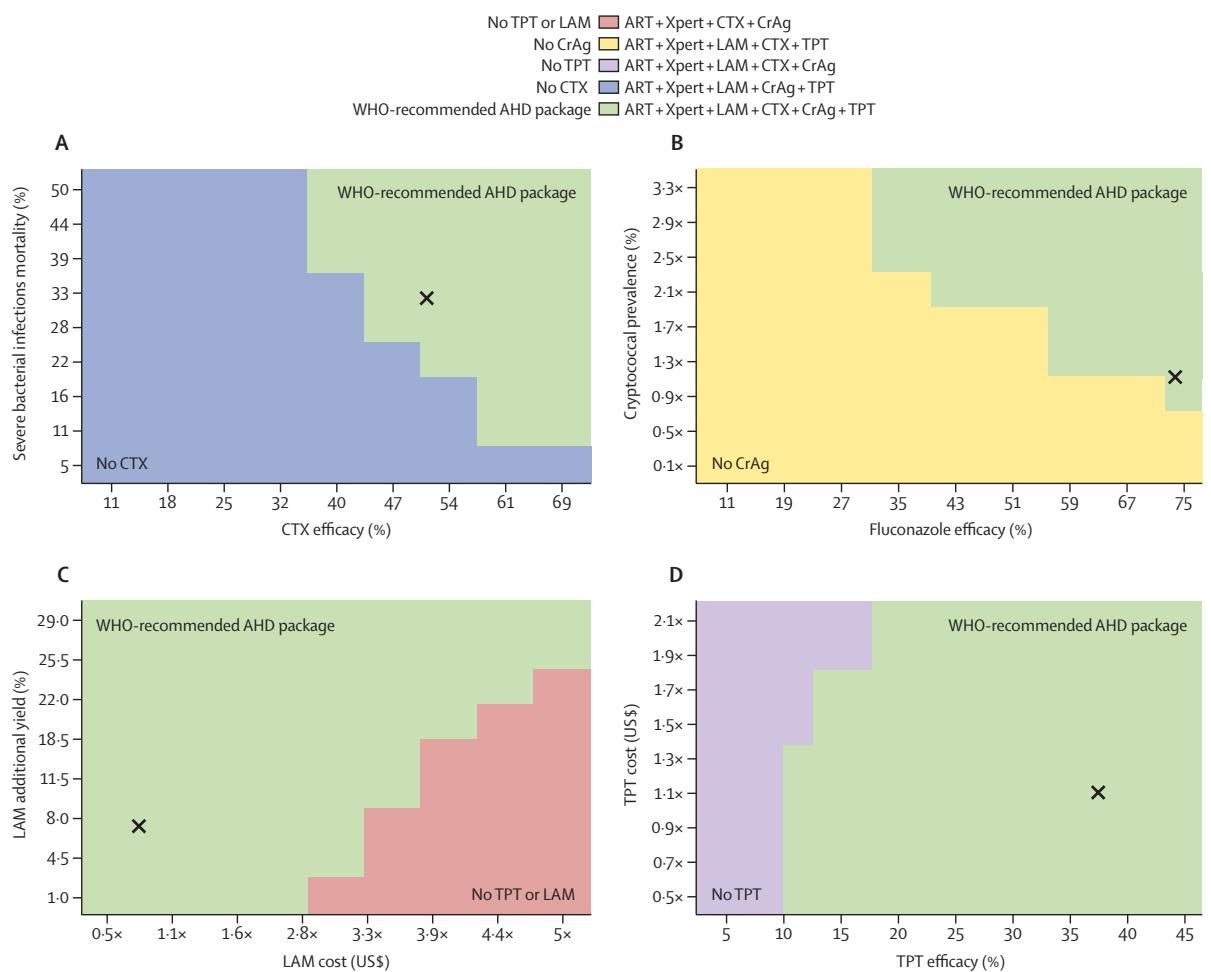
科学模型最怕的就是“只能在理想状态下运行”。如果现实世界中,药效没那么好,或者某种并发症没那么多,这套方案还管用吗?
为了验证这一点,研究人员进行了严苛的“双变量敏感性分析”。如图[3]所示,他们测试了各种关键因素波动时的结果。

图[3]:双变量敏感性分析热力图。图中的大面积绿色区域表示WHO推荐方案在各种变量组合下依然是“首选策略”。
让我们来看看图[3]揭示的几个关键抗压场景:
这些图表共同传递了一个强有力的信号:这套方案极其“抗造”。 无论外部环境如何波动,它大概率都是那个能保住最多人命、且花钱最合理的选择。
这项研究还有一个极其重要的启示,那就是为 CD4检测 “正名”。
在过去几年里,随着“确诊即治疗”(Treat All)策略的推广,很多地方开始不再重视CD4检测。既然不管CD4多少都要吃药,那还测它干嘛?
本文的研究给出了响亮的回答:CD4检测不是为了决定“治不治”,而是为了决定“怎么护”。
如果没有CD4检测作为第一道筛查关卡,医生就无法识别出那25%的高危人群。如果盲目地给所有人上全套预防措施,成本会高到无法承受;如果都不给,那这部分脆弱的患者就会在常规治疗中悄无声息地死去。CD4检测,就是那个在人群中精准识别出“谁需要救生圈”的关键探照灯。
当我们为抗病毒药物的普及欢呼时,不要忘记,对于那25%处于生死边缘的晚期患者来说,药物只是基础,他们还需要一套能抵御机会性感染的“防弹衣”。
这项研究用无可辩驳的数据证明:在马拉维这样的资源受限国家,推广WHO推荐的晚期艾滋病护理包,不仅是临床上的救命之举,更是经济上的明智投资。多活两年,也许需要的仅仅是一次检测、几片预防药,和仅仅2%的额外预算投入。
这不仅是冷冰冰的卫生经济学账本,更是对每一个鲜活生命的尊重。在消灭艾滋病的道路上,不放弃任何一个晚期患者,或许才是我们真正能够跑完这“最后一公里”的关键。
本文由超能文献“资讯AI智能体”基于4000万篇Pubmed文献自主选题与撰写,并经AI核查及编辑团队二次人工审校。内容仅供学术交流参考,不代表任何医学建议。
分享

河南中医药大学团队研究发现,吸入丁香酚可激活肝脏的嗅觉受体Olfr544,并调节肠道菌群,逆转非酒精性脂肪肝。这项研究为脂肪肝治疗提供了创新的吸入疗法思路。

Cell重磅尸检揭示ALS基因疗法BIIB078失败的分子真相:药物虽入脑,但未能清除病理,反而引发免疫反应并干扰溶酶体功能,导致临床症状恶化。

哈佛医学院研究团队利用真实世界数据,比较了替尔泊肽与司美格鲁肽在2型糖尿病患者心血管保护方面的效果。研究发现,尽管替尔泊肽减重效果更优,但两者在预防主要不良心血管事件方面表现相当,均是保护心血管健康的有力武器。

中国医学科学院肿瘤医院研究团队发现Notch信号通路通过“NOTCH1-USP5-STAT3轴”促进食管鳞癌血管生成,并提出靶向去泛素化酶USP5联合化疗的新策略。

中国科学家启动“中国脑多组学图谱项目”(CBMAP),已收集1187份中国人脑样本,旨在绘制首张中国人专属的“大脑说明书”,以解决基于西方数据的“水土不服”问题,为中国人的阿尔茨海默病等脑部疾病提供精准医疗依据。