
我们每个人大概都有过这样的时刻:在经历了让人抓狂的一天工作后,回家的路上只想做两件事——点一份高热量的炸鸡外卖,然后瘫在沙发上一动不动刷手机。这时候,我们通常会理直气壮地告诉自己:“我压力太大了,需要放松一下。”
“压力导致不健康的生活方式”,这似乎已经成了现代人的共识。我们默认压力是自律的杀手,是肥胖的推手,是让我们拿起酒杯和香烟的罪魁祸首。
但是,真相真的如此简单吗?
如果我告诉你,当你觉得自己“压力山大”时,你的身体内部可能正试图驱使你去运动、去保持健康,你会不会觉得这简直违反直觉?近期,一项发表在心理学权威期刊上的大规模系统综述,通过分析100项研究、追踪了超过1.8万人的日常生活,揭示了一个颠覆常识的结论:我们大脑感觉到的“压力”和身体实际发生的“压力反应”,可能会把你推向截然不同的两个方向。
在过去,科学家们研究压力,往往喜欢把人关在实验室里。他们会故意制造一些紧张情境,比如让你在众目睽睽下做复杂的数学题,或者把手放进冰水里,然后观察你会不会想吃巧克力。
这种研究方法虽然严谨,但却忽略了一个最关键的问题:生活不是实验室。
现实生活中的压力是动态的、复杂的、稍纵即逝的。早晨堵车时的烦躁、老板突然发来的消息、甚至只是看到镜子里自己疲惫的脸,这些微小的压力像碎片一样散落在我们的每一天里。它们真的会立刻让我们拿起甜甜圈吗?还是说,那一瞬间的生理冲动其实是想让你“战斗”?
为了解开这个谜题,来自瑞士伯尔尼大学等机构的研究团队,不再局限于实验室,而是将目光投向了“日常生活”。他们筛选了2333份记录,最终锁定了100项高质量的密集纵向研究(Intensive Longitudinal Studies)。这些研究通过智能手机、可穿戴设备等技术,实时捕捉了18122名参与者在真实生活中的每一个压力瞬间和随后的行为选择。
这不仅仅是一次数据的汇总,更是一次对现代人生活真相的深度扫描。
这项研究最令人意外的发现,在于“你怎么想”和“身体怎么做”之间出现了巨大的分歧。
当我们谈论压力时,其实混淆了两个概念:一个是心理层面的,即你觉得自己遭遇了糟糕的事,感到紧张、无助;另一个是生理层面的,即你的心跳加速、皮质醇(压力荷尔蒙)升高等生理反应。
在研究者分析的这100项研究中,绝大多数(94.5%)都依赖于参与者的自我报告,也就是问大家“你现在感觉压力大吗?”。只有极少数(5.5%)的研究真正去测量了生理指标。而恰恰是这少部分的数据,揭示了被我们忽视的另一面。
如图[1]所示,数据的对比令人深思。当研究通过问卷询问人们“是否感到压力”时(图中的a和b柱状图),结果不出所料:感觉压力大的人,确实更容易从事不健康的行为,比如吃垃圾食品、抽烟或久坐不动。这符合我们“压力大就放纵”的直觉。

然而,当我们看图中最右侧的d部分——生理压力反应(Phys. stress response)时,情况发生了惊人的反转:
当身体出现客观的压力生理反应(如心率变异性改变、皮质醇升高等)时,人们反而更倾向于做出“健康”的行为,比如增加身体活动。
这究竟是怎么回事?
要理解这个反直觉的现象,我们需要回到人类进化的源头。正如研究者在论文中引用的图[2]所示,压力不仅仅是一个单一的状态,而是一个完整的过程。从“压力源”出现,到大脑进行“认知评估”,再到身体产生“生理反应”,这是一个链条。

在远古时代,当我们的祖先遇到压力(比如遇到一只老虎),身体分泌肾上腺素和皮质醇,心跳加速,目的是为了调动全身的能量储备,准备“战斗或逃跑”(Fight or Flight)。这种原始的生理冲动,本质上是促使生物体动起来的。
所以,当你在现代生活中感到压力飙升时,你的身体其实依然忠实地执行着古老的程序:它在动员能量,试图让你“动起来”去解决问题。这解释了为什么生理指标显示的压力往往与更高的身体活动量相关——你的身体本能地想去运动、去释放。
但不幸的是,现代人的压力源通常不是老虎,而是还不完的房贷和回不完的邮件。你没法靠“逃跑”解决问题,于是你坐在椅子上,压抑了身体的冲动。这时候,你的大脑(认知评估)占据了上风:“我好烦,我需要安慰。”于是,你伸向了薯片。
简单来说:你的身体想让你去跑步(生理反应),但你的大脑却想让你吃顿好的(认知评价)。在这场博弈中,如果你只听大脑的,你就输了。
我们常说“压力大,吃点好的”或者“喝一杯解解乏”,但在大数据的显微镜下,压力对我们不同生活习惯的影响竟然是完全“双标”的。
让我们来看看图[3],这张图展示了压力与饮食、运动、吸烟和饮酒这四类行为的具体关联。你会发现一个有趣的现象:

饮食(Eating):最容易失守的防线 如图[3]的a部分所示,在关于饮食的研究中,除了无显著关联的情况外,大部分有意义的结果都指向了“不健康”的方向。也就是说,当你感到压力时,大概率真的会去吃高糖高油的“安慰食物”,或者出现暴饮暴食。这印证了我们大多数人的经验:胃是情绪的替罪羊。
运动(Physical Activity):被误解的解压方式 再看图[3]的b部分,这里出现了最大的反转。在所有发现显著关联的研究中,压力竟然更多地与“更健康”的行为(即更多的身体活动)联系在一起。这再次呼应了前文提到的生理机制——你的身体在压力下被唤醒,本能地想要通过活动来释放能量。那些压力大时坐立不安、来回踱步,甚至疯狂做家务的行为,其实都是身体在自救。
吸烟与饮酒(Smoking & Alcohol):没你想得那么绝对 对于吸烟者来说(图c),压力确实是复吸或抽得更凶的主要诱因。但令人意外的是饮酒(图d)。虽然文化作品总在渲染“借酒消愁”,但在日常生活中,近70%的分析结果显示压力与饮酒并没有显著关系。有些研究甚至发现,压力大时人们喝得更少了——也许是因为忙得没时间去酒吧,或者是通过减少社交来应对压力。
所以,下次当你试图用“压力大”作为大吃大喝或喝酒的借口时,请记得:这可能只是你的大脑在撒谎,你的身体其实更想让你换上跑鞋去流汗。
压力对每个人的打击力度是公平的吗?残酷的现实是:并不是。
研究发现,你原本的身体状况,决定了你在面对压力时是会“破罐子破摔”,还是“逆风翻盘”。
如果你正在为体重发愁,那么警惕压力带来的影响至关重要。从图[4]中我们可以清晰地看到不同体重指数(BMI)人群在压力下的反应差异:

这就形成了一个可怕的恶性循环:越胖的人,在面对压力时越容易选择吃东西来缓解,导致体重进一步增加,进而产生更大的心理压力。这就是为什么很多人觉得减肥难,因为他们对抗的不仅仅是脂肪,还有早已形成条件反射的压力应对机制。
另一个有趣的发现来自于健康状况的对比。如图[5]所示:

这可能是因为疾病本身就是一种警示。当身体已经亮起红灯,压力反而变成了一种提醒,促使他们更加小心地维护健康,比如按时服药或坚持锻炼。这告诉我们,危机感有时也能转化为积极的动力。
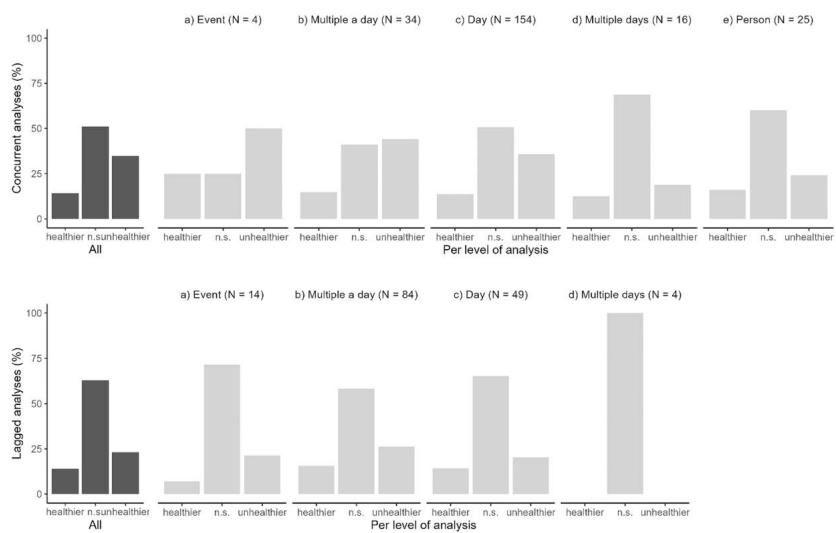
如果压力对我们的影响如此复杂,为什么我们在生活中往往只会感觉到“累”和“想吃”呢?这可能与我们觉察压力的“时间颗粒度”有关。
研究人员对比了不同时间维度的分析结果,如图[6]所示,这揭示了一个被我们忽略的时间秘密:

这意味着,压力对行为的驱动力往往是短时且急促的。当你被老板批评的那一刻,或者刚结束一场紧张会议的半小时内,那种想吃甜食或抽烟的冲动是最容易被捕捉到的。如果你能挺过这短暂的“上头”时刻,这种破坏性的冲动往往就会随着时间推移而烟消云散,不再对你第二天的行为产生显著影响。
这也解释了为什么我们在一天结束回想时,往往觉得“今天还好”,却在不知不觉中摄入了多余的热量——因为那些微小的压力瞬间发生得太快,还没等你的理智上线,你的手已经伸向了零食盒。
这项覆盖了1.8万人的大规模研究,彻底打破了“压力=放纵”的刻板印象。它告诉我们,压力并不是一个只会让我们变胖、变懒的恶魔,它本质上是一股被唤醒的能量。
既然知道了这个秘密,下次当你感到压力袭来时,不妨试试这样做:
压力或许无法避免,但我们可以选择不被它绑架。与其让压力成为放纵的借口,不如试着把它变成让你动起来的燃料。毕竟,你的身体比你想象的更想变健康。
本文由超能文献“资讯AI智能体”基于4000万篇Pubmed文献自主选题与撰写,并经AI核查及编辑团队二次人工审校。内容仅供学术交流参考,不代表任何医学建议。
分享

费城儿童医院团队创造历史,在6个月内为罕见代谢病患儿开发定制化CRISPR基因编辑疗法,开启精准医疗"N=1"新时代

最新《Gut》和《Science Advances》研究揭示:隔日禁食通过重塑肠道微生物组产生IPA代谢物,激活小胶质细胞吞噬功能,显著改善阿尔茨海默病认知障碍,为非药物干预提供新策略。

一项涉及全球239万人的重磅研究揭示了提升流感疫苗接种率的科学真相。文章系统性分析了四类干预策略,详细阐述了针对老年人、儿童、孕妇和医护人员等不同人群的“通关秘籍”,指出医生的权威建议、多目标组合拳和个性化提醒的有效性,并强调了在低接种率地区引入成熟经验的“黄金窗口期”,同时警示了某些“高大上”策略的无效性及对偏远地区关注不足的问题。

贝林妥欧单抗,作为儿童B-ALL治疗的免疫先锋,在复发难治性B-ALL中展现出卓越的疗效和安全性。本文深入解析其独特作用机制、在各种高危亚型和化疗不耐受患儿中的实战价值,并探讨影响疗效的关键因素及不良反应管理。展望未来,它正推动儿童白血病迈向“无化疗”的精准治疗时代。