Petricevich Vera L, Lebrun Ivo
Facultad de Medicina de la Universidad Autonoma del Estado de morelos, 62210 Cuernavaca, Mexico.
Mediators Inflamm. 2005 Feb 24;2005(1):39-49. doi: 10.1155/MI.2005.39.
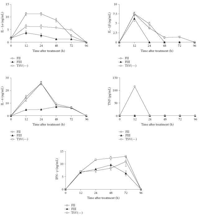
Tityus serrulatus scorpion venom (TSV) consists of a very complex mixture of molecules and demonstrates significant immunomodulatory activities capable of stimulating immune functions in vivo. The purpose of this study was to compare the crude TSV with fractionated toxins extracted from this venom in order to determine which toxin(s) presented immunomodulatory effects on peritoneal macrophages. TSV was fractionated using gel filtration chromatography resulting in 5 heterogeneous fractions. The effects of these different fractions were analysed in vitro using detection by means of cytokines, oxygen intermediate metabolites (H2O2), and nitric oxide (NO) in supernatants of peritoneal macrophages. Several functional bioassays were employed: tumor necrosis factor (TNF) activity was assayed by measuring its cytotoxic activity in L929 cells, and other cytokines were assayed by enzyme-linked immunosorbent assay, whereas NO levels were detected by Griess colorimetric reactions in culture supernatant of macrophages exposed to different fractions. In vitro studies revealed that all fractions studied here presented an increment in H2O2, NO , and cytokines levels. The more pronounced increments were observed in macrophage cultures exposed to fraction FII which demonstrated that (a) the highest levels of IL-1alpha, IL-beta, and TNF were observed after 12 hours and that (b) the maximum levels of IFN-gamma and NO were observed after 72 hours. Taken together, these data indicate that fractions have a differential immunomodulating effect on macrophage secretion, and that FII is a potent activator of TNF production of macrophages.
锯脂鲤钳蝎毒液(TSV)由分子组成非常复杂的混合物,并具有显著的免疫调节活性,能够在体内刺激免疫功能。本研究的目的是将粗制TSV与从该毒液中提取的分级毒素进行比较,以确定哪种毒素对腹腔巨噬细胞具有免疫调节作用。使用凝胶过滤色谱法对TSV进行分级,得到5个异质级分。利用细胞因子、氧中间代谢产物(H2O2)和一氧化氮(NO)检测腹腔巨噬细胞上清液,在体外分析这些不同级分的作用。采用了几种功能生物测定法:通过测量其在L929细胞中的细胞毒活性来测定肿瘤坏死因子(TNF)活性,通过酶联免疫吸附测定法测定其他细胞因子,而通过格里斯比色反应检测暴露于不同级分的巨噬细胞培养上清液中的NO水平。体外研究表明,此处研究的所有级分均使H2O2、NO和细胞因子水平升高。在暴露于FII级分的巨噬细胞培养物中观察到更明显的升高,这表明:(a)在12小时后观察到IL-1α、IL-β和TNF的最高水平,并且(b)在72小时后观察到IFN-γ和NO的最高水平。综上所述,这些数据表明不同级分对巨噬细胞分泌具有不同的免疫调节作用,并且FII是巨噬细胞TNF产生的有效激活剂。