Suppr超能文献

重症监护病房医院获得性念珠菌血症的流行病学趋势

Epidemiological trends in nosocomial candidemia in intensive care.

作者信息

Bassetti Matteo, Righi Elda, Costa Alessandro, Fasce Roberta, Molinari Maria Pia, Rosso Raffaella, Pallavicini Franco Bobbio, Viscoli Claudio

机构信息

Infectious Diseases Department, S. Martino Hospital, University of Genoa, Genoa, Italy.

出版信息

BMC Infect Dis. 2006 Feb 10;6:21. doi: 10.1186/1471-2334-6-21.

Abstract

BACKGROUND

Infection represents a frequent complication among patients in Intensive Care Units (ICUs) and mortality is high. In particular, the incidence of fungal infections, especially due to Candida spp., has been increasing during the last years.

METHODS

In a retrospective study we studied the etiology of candidemia in critically ill patients over a five-year period (1999-2003) in the ICU of the San Martino University Hospital in Genoa, Italy.

RESULTS

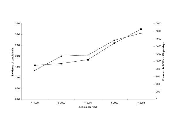
In total, 182 episodes of candidaemia were identified, with an average incidence of 2.22 episodes/10,000 patient-days/year (range 1.25-3.06 episodes). Incidence of candidemia increased during the study period from 1.25 in 1999 to 3.06/10,000 patient-days/year in 2003. Overall, 40% of the fungemia episodes (74/182) were due to C.albicans, followed by C. parapsilosis (23%), C.glabrata (15%), C.tropicalis (9%) and other species (13%). Candidemia due to non-albicans species increased and this was apparently correlated with an increasing use of azoles for prophylaxis or empirical treatment.

CONCLUSION

The study demonstrates a shift in the species of Candida causing fungemia in a medical and surgical ICU population during a 5 year period. The knowledge of the local epidemiological trends in Candida species isolated in blood cultures is important to guide therapeutic choices.

摘要

背景

感染是重症监护病房(ICU)患者常见的并发症,死亡率很高。特别是在过去几年中,真菌感染的发生率,尤其是念珠菌属引起的感染,一直在上升。

方法

在一项回顾性研究中,我们研究了意大利热那亚圣马蒂诺大学医院ICU在五年期间(1999 - 2003年)重症患者念珠菌血症的病因。

结果

共确诊182例念珠菌血症,平均发病率为2.22例/10000患者日/年(范围为1.25 - 3.06例)。在研究期间,念珠菌血症的发病率从1999年的1.25例/10000患者日/年增加到2003年的3.06例/10000患者日/年。总体而言,40%的真菌血症发作(74/182)由白色念珠菌引起,其次是近平滑念珠菌(23%)、光滑念珠菌(15%)、热带念珠菌(9%)和其他菌种(13%)。非白色念珠菌引起的念珠菌血症有所增加,这显然与预防或经验性治疗中唑类药物使用的增加有关。

结论

该研究表明在5年期间,在医疗和外科ICU人群中引起真菌血症的念珠菌菌种发生了变化。了解血培养中分离出的念珠菌菌种的当地流行病学趋势对于指导治疗选择很重要。

https://cdn.ncbi.nlm.nih.gov/pmc/blobs/c01d/1379648/f20ed32d3ee0/1471-2334-6-21-1.jpg

文献检索

告别复杂PubMed语法,用中文像聊天一样搜索,搜遍4000万医学文献。AI智能推荐,让科研检索更轻松。

立即免费搜索

文件翻译

保留排版,准确专业,支持PDF/Word/PPT等文件格式,支持 12+语言互译。

免费翻译文档

深度研究

AI帮你快速写综述,25分钟生成高质量综述,智能提取关键信息,辅助科研写作。

立即免费体验