Suppr超能文献

古细菌细胞周期中的转录组变化与环磷酸腺苷振荡

Transcriptome changes and cAMP oscillations in an archaeal cell cycle.

作者信息

Baumann Anke, Lange Christian, Soppa Jörg

机构信息

Goethe University, Institute for Molecular Biosciences, Biocentre, Frankfurt, Germany.

出版信息

BMC Cell Biol. 2007 Jun 11;8:21. doi: 10.1186/1471-2121-8-21.

Abstract

BACKGROUND

The cell cycle of all organisms includes mass increase by a factor of two, replication of the genetic material, segregation of the genome to different parts of the cell, and cell division into two daughter cells. It is tightly regulated and typically includes cell cycle-specific oscillations of the levels of transcripts, proteins, protein modifications, and signaling molecules. Until now cell cycle-specific transcriptome changes have been described for four eukaryotic species ranging from yeast to human, but only for two prokaryotic species. Similarly, oscillations of small signaling molecules have been identified in very few eukaryotic species, but not in any prokaryote.

RESULTS

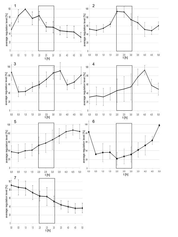
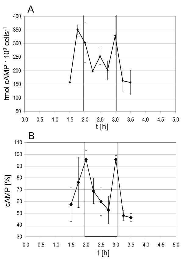
A synchronization procedure for the archaeon Halobacterium salinarum was optimized, so that nearly 100% of all cells divide in a time interval that is 1/4th of the generation time of exponentially growing cells. The method was used to characterize cell cycle-dependent transcriptome changes using a genome-wide DNA microarray. The transcript levels of 87 genes were found to be cell cycle-regulated, corresponding to 3% of all genes. They could be clustered into seven groups with different transcript level profiles. Cluster-specific sequence motifs were detected around the start of the genes that are predicted to be involved in cell cycle-specific transcriptional regulation. Notably, many cell cycle genes that have oscillating transcript levels in eukaryotes are not regulated on the transcriptional level in H. salinarum. Synchronized cultures were also used to identify putative small signaling molecules. H. salinarum was found to contain a basal cAMP concentration of 200 microM, considerably higher than that of yeast. The cAMP concentration is shortly induced directly prior to and after cell division, and thus cAMP probably is an important signal for cell cycle progression.

CONCLUSION

The analysis of cell cycle-specific transcriptome changes of H. salinarum allowed to identify a strategy of transcript level regulation that is different from all previously characterized species. The transcript levels of only 3% of all genes are regulated, a fraction that is considerably lower than has been reported for four eukaryotic species (6%-28%) and for the bacterium C. crescentus (19%). It was shown that cAMP is present in significant concentrations in an archaeon, and the phylogenetic profile of the adenylate cyclase indicates that this signaling molecule is widely distributed in archaea. The occurrence of cell cycle-dependent oscillations of the cAMP concentration in an archaeon and in several eukaryotic species indicates that cAMP level changes might be a phylogenetically old signal for cell cycle progression.

摘要

背景

所有生物体的细胞周期都包括细胞质量加倍、遗传物质复制、基因组向细胞不同部位的分离以及细胞分裂为两个子细胞。细胞周期受到严格调控,通常包括转录本、蛋白质、蛋白质修饰和信号分子水平的细胞周期特异性振荡。到目前为止,已经描述了从酵母到人类的四种真核生物的细胞周期特异性转录组变化,但仅涉及两种原核生物。类似地,仅在极少数真核生物中鉴定出小信号分子的振荡,而在任何原核生物中均未发现。

结果

优化了嗜盐嗜盐菌的同步化程序,使得几乎所有细胞在指数生长细胞世代时间的1/4时间间隔内分裂。该方法用于利用全基因组DNA微阵列表征细胞周期依赖性转录组变化。发现87个基因的转录水平受细胞周期调控,占所有基因的3%。它们可分为具有不同转录水平谱的七组。在预计参与细胞周期特异性转录调控的基因起始处周围检测到簇特异性序列基序。值得注意的是,许多在真核生物中转录水平振荡的细胞周期基因在嗜盐嗜盐菌中不受转录水平调控。同步培养物还用于鉴定推定的小信号分子。发现嗜盐嗜盐菌的基础cAMP浓度为200微摩尔,远高于酵母。cAMP浓度在细胞分裂前后不久直接被诱导,因此cAMP可能是细胞周期进程的重要信号。

结论

对嗜盐嗜盐菌细胞周期特异性转录组变化的分析使得能够鉴定出一种与所有先前表征物种不同的转录水平调控策略。所有基因中只有3%的转录水平受到调控,这一比例远低于已报道的四种真核生物(6%-28%)和新月柄杆菌(19%)。结果表明,cAMP在古菌中以显著浓度存在,腺苷酸环化酶的系统发育谱表明该信号分子在古菌中广泛分布。古菌和几种真核生物中cAMP浓度的细胞周期依赖性振荡的出现表明,cAMP水平变化可能是细胞周期进程中一个古老的系统发育信号。

https://cdn.ncbi.nlm.nih.gov/pmc/blobs/4c74/1906763/04886855a118/1471-2121-8-21-1.jpg

文献AI研究员

20分钟写一篇综述,助力文献阅读效率提升50倍。

立即体验

用中文搜PubMed

大模型驱动的PubMed中文搜索引擎

马上搜索

文档翻译

学术文献翻译模型,支持多种主流文档格式。

立即体验