Suppr超能文献

给予磷酸二酯酶4(PDE4)抑制剂可通过抑制巨噬细胞产生细胞因子和滑膜成纤维细胞增殖来抑制血管翳样炎症。

Administration of PDE4 inhibitors suppressed the pannus-like inflammation by inhibition of cytokine production by macrophages and synovial fibroblast proliferation.

作者信息

Kobayashi Katsuya, Suda Toshio, Manabe Haruhiko, Miki Ichiro

机构信息

Pharmacological Research Laboratories, Pharmaceutical Research Center, Kyowa Hakko Kogyo Co., Ltd., 1188 Shimotogari, Nagaizumi-Cho, Sunto-Gun, Shizuoka-Ken 411-8731, Japan.

出版信息

Mediators Inflamm. 2007;2007:58901. doi: 10.1155/2007/58901.

Abstract

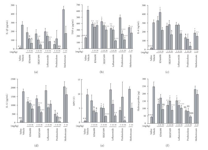
A marked proliferation of synovial fibroblasts in joints leads to pannus formation in rheumatoid arthritis (RA). Various kinds of cytokines are produced in the pannus. The purpose of this study is to elucidate the effects of phosphodiesterase 4 (PDE4) inhibitors in a new animal model for the evaluation of pannus formation and cytokine production in the pannus. Mice sensitized with methylated bovine serum albumin (mBSA) were challenged by subcutaneous implantation of a membrane filter soaked in mBSA solution in the back of the mice. Drugs were orally administered for 10 days. The granuloma formed around the filter was collected on day 11. It was chopped into pieces and cultured in vitro for 24 hr. The cytokines were measured in the supernatants. The type of cytokines produced in the granuloma was quite similar to those produced in pannus in RA. Both PDE4 inhibitors, KF66490 and SB207499, suppressed the production of IL-1beta, TNF-alpha, and IL-12, and the increase in myeloperoxidase activity, a marker enzyme for neutrophils and hydroxyproline content. Compared to leflunomide, PDE4 inhibitors more strongly suppressed IL-12 production and the increase in myeloperoxidase activity. PDE4 inhibitors also inhibited lipopolysaccharide-induced TNF-alpha and IL-12 production from thioglycolate-induced murine peritoneal macrophages and the proliferation of rat synovial fibroblasts. These results indicate this model makes it easy to evaluate the effect of drugs on various cytokine productions in a granuloma without any purification step and may be a relevant model for evaluating novel antirheumatic drugs on pannus formation in RA. PDE4 inhibitors could have therapeutic effects on pannus formation in RA by inhibition of cytokine production by macrophages and synovial fibroblast proliferation.

摘要

关节中滑膜成纤维细胞的显著增殖会导致类风湿关节炎(RA)中血管翳的形成。血管翳中会产生多种细胞因子。本研究的目的是在一个新的动物模型中阐明磷酸二酯酶4(PDE4)抑制剂对血管翳形成及血管翳中细胞因子产生的影响,以评估其作用。用甲基化牛血清白蛋白(mBSA)致敏的小鼠,通过在其背部皮下植入浸泡在mBSA溶液中的膜滤器进行激发。药物口服给药10天。在第11天收集滤器周围形成的肉芽肿。将其切碎并在体外培养24小时。检测上清液中的细胞因子。肉芽肿中产生的细胞因子类型与RA血管翳中产生的细胞因子非常相似。两种PDE4抑制剂KF66490和SB207499均抑制白细胞介素-1β(IL-1β)、肿瘤坏死因子-α(TNF-α)和白细胞介素-12(IL-12)的产生,以及髓过氧化物酶活性的增加,髓过氧化物酶是中性粒细胞的标记酶,同时也抑制羟脯氨酸含量的增加。与来氟米特相比,PDE4抑制剂更强烈地抑制IL-12的产生和髓过氧化物酶活性的增加。PDE4抑制剂还抑制脂多糖诱导的硫乙醇酸盐诱导的小鼠腹腔巨噬细胞产生TNF-α和IL-12,以及大鼠滑膜成纤维细胞的增殖。这些结果表明,该模型无需任何纯化步骤就能轻松评估药物对肉芽肿中各种细胞因子产生的影响,可能是评估新型抗风湿药物对RA血管翳形成作用的相关模型。PDE4抑制剂可能通过抑制巨噬细胞产生细胞因子和滑膜成纤维细胞增殖,对RA中的血管翳形成具有治疗作用。

https://cdn.ncbi.nlm.nih.gov/pmc/blobs/83d9/2233982/4579719d608d/MI2007-58901.001.jpg

文献检索

告别复杂PubMed语法,用中文像聊天一样搜索,搜遍4000万医学文献。AI智能推荐,让科研检索更轻松。

立即免费搜索

文件翻译

保留排版,准确专业,支持PDF/Word/PPT等文件格式,支持 12+语言互译。

免费翻译文档

深度研究

AI帮你快速写综述,25分钟生成高质量综述,智能提取关键信息,辅助科研写作。

立即免费体验