Suppr超能文献

输入噪声在转录调控中的作用。

The role of input noise in transcriptional regulation.

作者信息

Tkacik Gasper, Gregor Thomas, Bialek William

机构信息

Joseph Henry Laboratories of Physics, Lewis-Sigler Institute for Integrative Genomics, Princeton University, Princeton, New Jersey, United States of America.

出版信息

PLoS One. 2008 Jul 23;3(7):e2774. doi: 10.1371/journal.pone.0002774.

Abstract

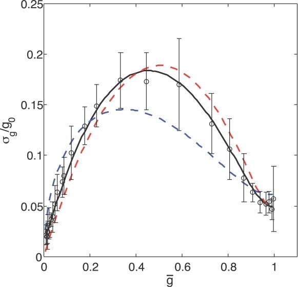
Gene expression levels fluctuate even under constant external conditions. Much emphasis has usually been placed on the components of this noise that are due to randomness in transcription and translation. Here we focus on the role of noise associated with the inputs to transcriptional regulation; in particular, we analyze the effects of random arrival times and binding of transcription factors to their target sites along the genome. This contribution to the total noise sets a fundamental physical limit to the reliability of genetic control, and has clear signatures, but we show that these are easily obscured by experimental limitations and even by conventional methods for plotting the variance vs. mean expression level. We argue that simple, universal models of noise dominated by transcription and translation are inconsistent with the embedding of gene expression in a network of regulatory interactions. Analysis of recent experiments on transcriptional control in the early Drosophila embryo shows that these results are quantitatively consistent with the predicted signatures of input noise, and we discuss the experiments needed to test the importance of input noise more generally.

摘要

即使在恒定的外部条件下,基因表达水平也会波动。通常人们非常重视这种噪声的组成部分,这些组成部分是由于转录和翻译过程中的随机性所致。在这里,我们关注与转录调控输入相关的噪声的作用;特别是,我们分析了转录因子沿基因组随机到达时间和与它们的靶位点结合的影响。这种对总噪声的贡献为遗传控制的可靠性设定了一个基本的物理极限,并且具有明显的特征,但我们表明,这些特征很容易被实验限制甚至被用于绘制方差与平均表达水平关系的传统方法所掩盖。我们认为,由转录和翻译主导的简单通用噪声模型与基因表达嵌入调控相互作用网络的情况不一致。对近期果蝇早期胚胎转录调控实验的分析表明,这些结果在数量上与输入噪声的预测特征一致,并且我们讨论了更全面地测试输入噪声重要性所需的实验。

https://cdn.ncbi.nlm.nih.gov/pmc/blobs/3b9c/2475664/b65d18cd02b3/pone.0002774.g001.jpg

文献AI研究员

20分钟写一篇综述,助力文献阅读效率提升50倍。

立即体验

用中文搜PubMed

大模型驱动的PubMed中文搜索引擎

马上搜索

文档翻译

学术文献翻译模型,支持多种主流文档格式。

立即体验