Suppr超能文献

肠易激综合征患者的五种人格维度。

Five personality dimensions in patients with irritable bowel syndrome.

机构信息

Liver and Gastrointestinal Diseases Research Center, Tabriz University of Medical Sciences, Tabriz, Iran.

出版信息

Neuropsychiatr Dis Treat. 2008 Oct;4(5):959-62. doi: 10.2147/ndt.s3836.

Abstract

AIM

Irritable bowel syndrome (IBS) as a functional disorder of the gastrointestinal tract has been related to psychological factors. Aim of this study is to study the differences of personality factors between IBS patients compared to our general population.

METHODS

This study was performed in clinics of Tabriz Medical University during 2006-2007. IBS was diagnosed using the Rome II diagnostic criteria after exclusion of organic bowel pathology. The entry of each patient was confirmed following a psychiatric interview and after any comorbid psychiatry disorder was ruled out. Personality traits and score of each factor was evaluated using NEO five factor personality inventory compared to results of a previous study on general population of Iran.

RESULTS

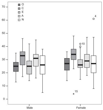
One hundred and sixty six patients were studied. The mean age (+/-SD) of them was 33.6(+/-11.4) years (60.8% female). Our study population had their symptoms for a mean interval of 47.3 month. The bowel problems were provoked by distress in more than 80% of patients. Pain in female patients was reported to be more frequent but both gender described the association between stressors and their symptoms. NEO Five-Factor Inventory showed a significantly higher level of neuroticism and conscientiousness and lower level of openness and agreeableness in theses nonpsychiatric IBS patients. Women with IBS had significantly higher levels of openness, conscientiousness, and extraversion compared to men.

CONCLUSION

Differences were observed between IBS patients and general population. Patients with IBS may benefit from psychological interventions.

摘要

目的

肠易激综合征(IBS)作为一种胃肠道的功能障碍,与心理因素有关。本研究的目的是研究 IBS 患者与普通人群之间人格因素的差异。

方法

本研究于 2006-2007 年在大不里士医科大学的诊所进行。在排除了器质性肠道病变后,采用罗马 II 诊断标准诊断 IBS。每位患者的入院都经过精神病学访谈确认,并排除任何合并的精神疾病后才被纳入研究。使用 NEO 五因素人格量表评估人格特征和各因素的得分,并与伊朗普通人群的先前研究结果进行比较。

结果

本研究共纳入了 166 名患者。他们的平均年龄(+/-SD)为 33.6(+/-11.4)岁(60.8%为女性)。研究人群的症状平均持续时间为 47.3 个月。超过 80%的患者的肠道问题是由痛苦引发的。女性患者的疼痛更为频繁,但两性都描述了应激源与症状之间的关联。NEO 五因素人格量表显示,这些非精神科 IBS 患者的神经质和尽责性水平显著较高,开放性和宜人性水平显著较低。与男性相比,患有 IBS 的女性具有更高的开放性、尽责性和外向性水平。

结论

IBS 患者与普通人群之间存在差异。IBS 患者可能受益于心理干预。

https://cdn.ncbi.nlm.nih.gov/pmc/blobs/56cd/2626925/440eae0d0500/ndt-4-959f1.jpg

文献AI研究员

20分钟写一篇综述,助力文献阅读效率提升50倍。

立即体验

用中文搜PubMed

大模型驱动的PubMed中文搜索引擎

马上搜索

文档翻译

学术文献翻译模型,支持多种主流文档格式。

立即体验