• 文献检索
  • 文档翻译
  • 深度研究
  • 学术资讯
  • Suppr Zotero 插件Zotero 插件
  • 邀请有礼
  • 套餐&价格
  • 历史记录
应用&插件
Suppr Zotero 插件Zotero 插件浏览器插件Mac 客户端Windows 客户端微信小程序
定价
高级版会员购买积分包购买API积分包
服务
文献检索文档翻译深度研究API 文档MCP 服务
关于我们
关于 Suppr公司介绍联系我们用户协议隐私条款
关注我们

Suppr 超能文献

核心技术专利:CN118964589B侵权必究
粤ICP备2023148730 号-1Suppr @ 2026

文献检索

告别复杂PubMed语法,用中文像聊天一样搜索,搜遍4000万医学文献。AI智能推荐,让科研检索更轻松。

立即免费搜索

文件翻译

保留排版,准确专业,支持PDF/Word/PPT等文件格式,支持 12+语言互译。

免费翻译文档

深度研究

AI帮你快速写综述,25分钟生成高质量综述,智能提取关键信息,辅助科研写作。

立即免费体验

儿童急性重度哮喘的紧急表现和处理。

Emergency presentation and management of acute severe asthma in children.

机构信息

Department of Paediatrics, Stavanger University Hospital, Stavanger, Norway.

出版信息

Scand J Trauma Resusc Emerg Med. 2009 Sep 4;17:40. doi: 10.1186/1757-7241-17-40.

DOI:10.1186/1757-7241-17-40
PMID:19732437
原文链接:https://pmc.ncbi.nlm.nih.gov/articles/PMC2749010/
Abstract

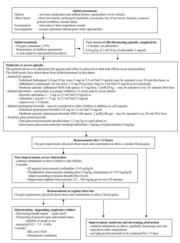
Acute severe asthma is one of the most common medical emergency situations in childhood, and physicians caring for acutely ill children are regularly faced with this condition. In this article we present a summary of the pathophysiology as well as guidelines for the treatment of acute severe asthma in children. The cornerstones of the management of acute asthma in children are rapid administration of oxygen, inhalations with bronchodilators and systemic corticosteroids. Inhaled bronchodilators may include selective b2-agonists, adrenaline and anticholinergics. Additional treatment in selected cases may involve intravenous administration of theophylline, b2-agonists and magnesium sulphate. Both non-invasive and invasive ventilation may be options when medical treatment fails to prevent respiratory failure. It is important that relevant treatment algorithms exist, applicable to all levels of the treatment chain and reflecting local considerations and circumstances.

摘要

急性重症哮喘是儿童最常见的急症之一,治疗急性重症哮喘是儿科医生经常面临的问题。本文总结了儿童急性重症哮喘的病理生理学和治疗指南。儿童急性哮喘管理的基石是快速给氧、吸入支气管扩张剂和全身皮质激素。吸入性支气管扩张剂可包括选择性β2-激动剂、肾上腺素和抗胆碱能药物。在一些特定病例中,还可能需要静脉内给予茶碱、β2-激动剂和硫酸镁。当药物治疗不能预防呼吸衰竭时,可选择无创或有创通气。重要的是,要制定相关的治疗方案,适用于治疗链的各个环节,并反映当地的考虑因素和情况。

https://cdn.ncbi.nlm.nih.gov/pmc/blobs/ef26/2749010/0e75a33d0468/1757-7241-17-40-3.jpg
https://cdn.ncbi.nlm.nih.gov/pmc/blobs/ef26/2749010/b22418cb7c28/1757-7241-17-40-1.jpg
https://cdn.ncbi.nlm.nih.gov/pmc/blobs/ef26/2749010/0931eabea4f3/1757-7241-17-40-2.jpg
https://cdn.ncbi.nlm.nih.gov/pmc/blobs/ef26/2749010/0e75a33d0468/1757-7241-17-40-3.jpg
https://cdn.ncbi.nlm.nih.gov/pmc/blobs/ef26/2749010/b22418cb7c28/1757-7241-17-40-1.jpg
https://cdn.ncbi.nlm.nih.gov/pmc/blobs/ef26/2749010/0931eabea4f3/1757-7241-17-40-2.jpg
https://cdn.ncbi.nlm.nih.gov/pmc/blobs/ef26/2749010/0e75a33d0468/1757-7241-17-40-3.jpg

相似文献

1
Emergency presentation and management of acute severe asthma in children.儿童急性重度哮喘的紧急表现和处理。
Scand J Trauma Resusc Emerg Med. 2009 Sep 4;17:40. doi: 10.1186/1757-7241-17-40.
2
Acute bronchiolitis in infants, a review.婴儿急性细支气管炎综述
Scand J Trauma Resusc Emerg Med. 2014 Apr 3;22:23. doi: 10.1186/1757-7241-22-23.
3
[Standard technical specifications for methacholine chloride (Methacholine) bronchial challenge test (2023)].[氯化乙酰甲胆碱支气管激发试验标准技术规范(2023年)]
Zhonghua Jie He He Hu Xi Za Zhi. 2024 Feb 12;47(2):101-119. doi: 10.3760/cma.j.cn112147-20231019-00247.
4
Acute severe asthma: new approaches to assessment and treatment.急性重症哮喘:评估和治疗的新方法。
Drugs. 2009;69(17):2363-91. doi: 10.2165/11319930-000000000-00000.
5
Interventions for escalation of therapy for acute exacerbations of asthma in children: an overview of Cochrane Reviews.儿童哮喘急性加重期治疗升级的干预措施:Cochrane系统评价综述
Cochrane Database Syst Rev. 2020 Aug 5;8(8):CD012977. doi: 10.1002/14651858.CD012977.pub2.
6
The evaluation and management of acute, severe asthma.急性重度哮喘的评估与管理
Med Clin North Am. 2002 Sep;86(5):1049-71. doi: 10.1016/s0025-7125(02)00033-0.
7
Management of acute asthma.急性哮喘的管理
Adolesc Med State Art Rev. 2010 Apr;21(1):21-33, vii.
8
Clinical standards for the diagnosis and management of asthma in low- and middle-income countries.中低收入国家哮喘诊断和管理的临床标准。
Int J Tuberc Lung Dis. 2023 Sep 1;27(9):658-667. doi: 10.5588/ijtld.23.0203.
9
Combined inhaled anticholinergics and short-acting beta2-agonists for initial treatment of acute asthma in children.联合吸入抗胆碱能药物与短效β2受体激动剂用于儿童急性哮喘的初始治疗。
Cochrane Database Syst Rev. 2013 Aug 21;2013(8):CD000060. doi: 10.1002/14651858.CD000060.pub2.
10
[Management of acute asthma in the emergency room].[急诊室急性哮喘的管理]
Rev Med Suisse. 2011 Dec 21;7(322):2501-5.

引用本文的文献

1
Service as joint editor-in-chief for 11 years comes to an end: adieu, godspeed and auf wiedersehn!担任联合主编11年的任期结束:再见,祝你一切顺利,后会有期!
Scand J Trauma Resusc Emerg Med. 2015 Dec 30;23:110. doi: 10.1186/s13049-015-0192-1.

本文引用的文献

1
Global strategy for the diagnosis and management of asthma in children 5 years and younger.全球 5 岁以下儿童哮喘诊断和管理策略。
Pediatr Pulmonol. 2011 Jan;46(1):1-17. doi: 10.1002/ppul.21321. Epub 2010 Oct 20.
2
International trends in asthma mortality rates in the 5- to 34-year age group: a call for closer surveillance.5至34岁年龄组哮喘死亡率的国际趋势:呼吁加强监测。
Chest. 2009 Apr;135(4):1045-1049. doi: 10.1378/chest.08-2082.
3
Acute exacerbations of asthma: epidemiology, biology and the exacerbation-prone phenotype.
哮喘急性加重:流行病学、生物学及易加重表型
Clin Exp Allergy. 2009 Feb;39(2):193-202. doi: 10.1111/j.1365-2222.2008.03157.x.
4
Etiology of asthma exacerbations.哮喘急性加重的病因
J Allergy Clin Immunol. 2008 Oct;122(4):685-688. doi: 10.1016/j.jaci.2008.08.017.
5
Epidemiology of asthma exacerbations.哮喘急性加重的流行病学
J Allergy Clin Immunol. 2008 Oct;122(4):662-668. doi: 10.1016/j.jaci.2008.08.003.
6
Definition, assessment and treatment of wheezing disorders in preschool children: an evidence-based approach.学龄前儿童喘息性疾病的定义、评估与治疗:循证方法
Eur Respir J. 2008 Oct;32(4):1096-110. doi: 10.1183/09031936.00002108.
7
Effectiveness of high repeated doses of inhaled budesonide or fluticasone in controlling acute asthma exacerbations in young children.高重复剂量吸入布地奈德或氟替卡松对控制幼儿急性哮喘发作的有效性。
J Asthma. 2008 Sep;45(7):561-7. doi: 10.1080/02770900802005251.
8
Life-threatening asthma: pathophysiology and management.危及生命的哮喘:病理生理学与管理
Respir Care. 2008 Jun;53(6):726-35; discussion 735-9.
9
Pathogenesis of asthma.哮喘的发病机制。
Clin Exp Allergy. 2008 Jun;38(6):872-97. doi: 10.1111/j.1365-2222.2008.02971.x.
10
Novel therapies for children with severe asthma.针对重度哮喘儿童的新型疗法。
Curr Opin Pediatr. 2008 Jun;20(3):261-5. doi: 10.1097/MOP.0b013e328300ecdc.