Suppr超能文献

单次接触家用产品后发生化学性肺炎及随后的反应性气道功能障碍综合征:一例报告

Chemical pneumonitis and subsequent reactive airways dysfunction syndrome after a single exposure to a household product: a case report.

作者信息

Khalid Imran, Godfrey Amanda M, Ouellette Daniel R

机构信息

Consultant, Department of Critical Care, King Faisal Specialist Hospital & Research Center, Jeddah, Saudi Arabia.

出版信息

J Med Case Rep. 2009 Nov 9;3:112. doi: 10.1186/1752-1947-3-112.

Abstract

INTRODUCTION

Household products are usually safe to use. Adverse events arising from their use are mostly reported in patients with pre-existing atopy or pulmonary problems and usually only after a prolonged exposure to such products. We report the case of a patient with no prior problems who developed significant side effects from a single exposure to a domestic product.

CASE PRESENTATION

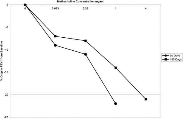
A 43-year-old Caucasian American man, previously in good health, used a domestic aerosol product called 'Stand N' Seal "Spray-On" Grout Sealer' in an enclosed room in his house. The product contained n-butyl acetate (<5%), propane (10%), isobutane (<5%), C8-C9 petroleum hydrocarbon solvent (80%), a fluoropolymer resin and a solvent. Within a few hours of exposure to the sealant, he developed rapidly progressive shortness of breath and a severe non-productive cough. By the time he reached the emergency room he was severely hypoxic. A diagnosis of chemical pneumonitis was made based on the clinical scenario and the diffuse infiltrates on the computer tomography scan. With supportive therapy, his condition improved and he was discharged from the hospital. However, he continued to have symptoms of intermittent cough and shortness of breath in response to strong odours, fumes, cold air and exertion even after his chest radiograph had normalized. Three months later, bronchial hyper-responsiveness was documented by a methacholine inhalation test and a diagnosis of reactive airways dysfunction syndrome was made. The patient was started on high-dose inhaled steroids and his symptoms improved. The mechanism of toxicity and determination of the exact agent responsible is still under investigation.

CONCLUSION

A household product may still prove unsafe to use even after it has gone through vigorous testing and approval processes. Even healthy individuals are susceptible to adverse outcomes after a brief exposure. Extra precautions should be taken when using any chemical product at home.

摘要

引言

家用产品通常使用安全。因使用家用产品而引发的不良事件大多报告于已有特应性或肺部问题的患者,且通常是在长期接触此类产品之后。我们报告一例既往无任何问题的患者,单次接触一种家用产品后出现严重副作用的病例。

病例介绍

一名43岁的美国白人男性,既往身体健康,在其家中一个封闭房间使用了一种名为“立稳密封喷雾型填缝剂”的家用气雾剂产品。该产品含有乙酸正丁酯(<5%)、丙烷(10%)、异丁烷(<5%)、C8 - C9石油烃溶剂(80%)、一种含氟聚合物树脂和一种溶剂。接触密封剂数小时内,他迅速出现进行性加重的呼吸急促和严重的干咳。到达急诊室时,他已处于严重缺氧状态。根据临床表现及计算机断层扫描显示的弥漫性浸润影,诊断为化学性肺炎。经支持治疗,他的病情有所改善并出院。然而,即使胸部X线片已恢复正常,他在接触强烈气味、烟雾、冷空气及运动后仍持续出现间歇性咳嗽和呼吸急促症状。三个月后,通过乙酰甲胆碱吸入试验证实存在支气管高反应性,诊断为反应性气道功能障碍综合征。患者开始使用高剂量吸入性类固醇药物,症状有所改善。毒性机制及确切致病因素仍在调查中。

结论

一种家用产品即使经过严格测试和审批程序,使用起来仍可能不安全。即使是健康个体,在短暂接触后也可能出现不良后果。在家中使用任何化学产品时都应格外谨慎。

https://cdn.ncbi.nlm.nih.gov/pmc/blobs/53c4/2783053/03ced45c7b4a/1752-1947-3-112-1.jpg

文献AI研究员

20分钟写一篇综述,助力文献阅读效率提升50倍。

立即体验

用中文搜PubMed

大模型驱动的PubMed中文搜索引擎

马上搜索

文档翻译

学术文献翻译模型,支持多种主流文档格式。

立即体验