• 文献检索
  • 文档翻译
  • 深度研究
  • 学术资讯
  • Suppr Zotero 插件Zotero 插件
  • 邀请有礼
  • 套餐&价格
  • 历史记录
应用&插件
Suppr Zotero 插件Zotero 插件浏览器插件Mac 客户端Windows 客户端微信小程序
定价
高级版会员购买积分包购买API积分包
服务
文献检索文档翻译深度研究API 文档MCP 服务
关于我们
关于 Suppr公司介绍联系我们用户协议隐私条款
关注我们

Suppr 超能文献

核心技术专利:CN118964589B侵权必究
粤ICP备2023148730 号-1Suppr @ 2026

文献检索

告别复杂PubMed语法,用中文像聊天一样搜索,搜遍4000万医学文献。AI智能推荐,让科研检索更轻松。

立即免费搜索

文件翻译

保留排版,准确专业,支持PDF/Word/PPT等文件格式,支持 12+语言互译。

免费翻译文档

深度研究

AI帮你快速写综述,25分钟生成高质量综述,智能提取关键信息,辅助科研写作。

立即免费体验

越南 H5N1 高致病性禽流感病毒的分子进化的时空结构。

Spatiotemporal structure of molecular evolution of H5N1 highly pathogenic avian influenza viruses in Vietnam.

机构信息

Department of Geography, University of North Carolina-Chapel Hill, Chapel Hill, North Carolina, USA.

出版信息

PLoS One. 2010 Jan 8;5(1):e8631. doi: 10.1371/journal.pone.0008631.

DOI:10.1371/journal.pone.0008631
PMID:20072619
原文链接:https://pmc.ncbi.nlm.nih.gov/articles/PMC2799669/
Abstract

BACKGROUND

Vietnam is one of the countries most affected by outbreaks of H5N1 highly pathogenic avian influenza viruses. First identified in Vietnam in poultry in 2001 and in humans in 2004, the virus has since caused 111 cases and 56 deaths in humans. In 2003/2004 H5N1 outbreaks, nearly the entire poultry population of Vietnam was culled. Our earlier study (Wan et al., 2008, PLoS ONE, 3(10): e3462) demonstrated that there have been at least six independent H5N1 introductions into Vietnam and there were nine newly emerged reassortants from 2001 to 2007 in Vietnam. H5N1 viruses in Vietnam cluster distinctly around Hanoi and Ho Chi Minh City. However, the nature of the relationship between genetic divergence and geographic patterns is still unclear.

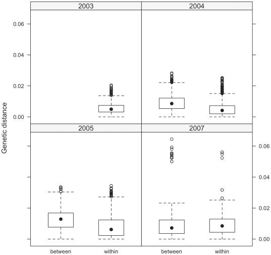
METHODOLOGY/PRINCIPAL FINDINGS: In this study, we hypothesized that genetic distances between H5N1 viruses in Vietnam are correlated with geographic distances, as the result of distinct population and environment patterns along Vietnam's long north to south longitudinal extent. Based on this hypothesis, we combined spatial statistical methods with genetic analytic techniques and explicitly used geographic space to explore genetic evolution of H5N1 highly pathogenic avian influenza viruses at the sub-national scale in Vietnam. Our dataset consisted of 125 influenza viruses (with whole genome sets) isolated in Vietnam from 2003 to 2007. Our results document the significant effect of space and time on genetic evolution and the rise of two regional centers of genetic mixing by 2007. These findings give insight into processes underlying viral evolution and suggest that genetic differentiation is associated with the distance between concentrations of human and poultry populations around Hanoi and Ho Chi Minh City.

CONCLUSIONS/SIGNIFICANCE: The results show that genetic evolution of H5N1 viruses in Vietnamese domestic poultry is highly correlated with the location and spread of those viruses in geographic space. This correlation varies by scale, time, and gene, though a classic isolation by distance pattern is observed. This study is the first to characterize the geographic structure of influenza viral evolution at the sub-national scale in Vietnam and can shed light on how H5N1 HPAIVs evolve in certain geographic settings.

摘要

背景

越南是受 H5N1 高致病性禽流感病毒爆发影响最严重的国家之一。该病毒于 2001 年在越南家禽中首次被发现,2004 年在人类中被发现,此后已导致 111 例人类感染和 56 人死亡。在 2003/2004 年的 H5N1 爆发中,越南几乎全部家禽都被扑杀。我们之前的研究(Wan 等人,2008 年,PLoS ONE,3(10):e3462)表明,至少有 6 次 H5N1 独立传入越南,2001 年至 2007 年期间,越南有 9 种新出现的重组体。越南的 H5N1 病毒明显围绕着河内和胡志明市聚集。然而,遗传分化与地理模式之间的关系性质仍不清楚。

方法/主要发现:在这项研究中,我们假设越南的 H5N1 病毒之间的遗传距离与地理距离相关,这是由于越南从北到南的漫长纵向延伸导致的独特的种群和环境模式的结果。基于这一假设,我们结合空间统计方法和遗传分析技术,并明确使用地理空间来探索越南次国家尺度 H5N1 高致病性禽流感病毒的遗传进化。我们的数据集包括 2003 年至 2007 年在越南分离的 125 株流感病毒(具有全基因组集)。我们的研究结果记录了空间和时间对遗传进化的显著影响,并记录了 2007 年两个区域遗传混合中心的兴起。这些发现深入了解了病毒进化的过程,并表明遗传分化与河内和胡志明市周围人口和家禽种群的浓度之间的距离有关。

结论/意义:研究结果表明,越南国内家禽中 H5N1 病毒的遗传进化与这些病毒在地理空间中的位置和传播高度相关。这种相关性因规模、时间和基因而异,但观察到了经典的隔离距离模式。这项研究首次描述了越南次国家尺度流感病毒进化的地理结构,并可以揭示 H5N1 HPAIV 在某些地理环境中的进化方式。

https://cdn.ncbi.nlm.nih.gov/pmc/blobs/f655/2799669/facae92e19a2/pone.0008631.g005.jpg
https://cdn.ncbi.nlm.nih.gov/pmc/blobs/f655/2799669/17ffd2843877/pone.0008631.g001.jpg
https://cdn.ncbi.nlm.nih.gov/pmc/blobs/f655/2799669/6393c0f43765/pone.0008631.g002.jpg
https://cdn.ncbi.nlm.nih.gov/pmc/blobs/f655/2799669/76ff8174e4cc/pone.0008631.g003.jpg
https://cdn.ncbi.nlm.nih.gov/pmc/blobs/f655/2799669/ee203d7f369f/pone.0008631.g004.jpg
https://cdn.ncbi.nlm.nih.gov/pmc/blobs/f655/2799669/facae92e19a2/pone.0008631.g005.jpg
https://cdn.ncbi.nlm.nih.gov/pmc/blobs/f655/2799669/17ffd2843877/pone.0008631.g001.jpg
https://cdn.ncbi.nlm.nih.gov/pmc/blobs/f655/2799669/6393c0f43765/pone.0008631.g002.jpg
https://cdn.ncbi.nlm.nih.gov/pmc/blobs/f655/2799669/76ff8174e4cc/pone.0008631.g003.jpg
https://cdn.ncbi.nlm.nih.gov/pmc/blobs/f655/2799669/ee203d7f369f/pone.0008631.g004.jpg
https://cdn.ncbi.nlm.nih.gov/pmc/blobs/f655/2799669/facae92e19a2/pone.0008631.g005.jpg

相似文献

1
Spatiotemporal structure of molecular evolution of H5N1 highly pathogenic avian influenza viruses in Vietnam.越南 H5N1 高致病性禽流感病毒的分子进化的时空结构。
PLoS One. 2010 Jan 8;5(1):e8631. doi: 10.1371/journal.pone.0008631.
2
Genetic variation of highly pathogenic H5N1 avian influenza viruses in Vietnam shows both species-specific and spatiotemporal associations.越南高致病性H5N1禽流感病毒的基因变异呈现出物种特异性和时空关联性。
Avian Dis. 2011 Dec;55(4):659-66. doi: 10.1637/9785-051811-Reg.1.
3
Highly pathogenic H5N1 avian influenza viruses exhibit few barriers to gene flow in Vietnam.高致病性 H5N1 禽流感病毒在越南表现出很少的基因流动障碍。
Ecohealth. 2012 Mar;9(1):60-9. doi: 10.1007/s10393-012-0749-7. Epub 2012 Feb 14.
4
Genetic analysis of avian influenza A viruses isolated from domestic waterfowl in live-bird markets of Hanoi, Vietnam, preceding fatal H5N1 human infections in 2004.对2004年越南河内活禽市场致命H5N1人类感染事件之前从家鸭中分离出的甲型禽流感病毒进行基因分析。
Arch Virol. 2009;154(8):1249-61. doi: 10.1007/s00705-009-0429-2. Epub 2009 Jul 4.
5
Evolution of highly pathogenic H5N1 avian influenza viruses in Vietnam between 2001 and 2007.2001年至2007年间越南高致病性H5N1禽流感病毒的演变
PLoS One. 2008;3(10):e3462. doi: 10.1371/journal.pone.0003462. Epub 2008 Oct 21.
6
The evolutionary dynamics of highly pathogenic avian influenza H5N1 in south-central Vietnam reveals multiple clades evolving from Chinese and Cambodian viruses.越南中南部高致病性禽流感H5N1的进化动态显示,多个分支从中国和柬埔寨病毒进化而来。
Comp Immunol Microbiol Infect Dis. 2015 Oct;42:21-30. doi: 10.1016/j.cimid.2015.08.001. Epub 2015 Aug 28.
7
Phylogenetic and pathogenic analyses of avian influenza A H5N1 viruses isolated from poultry in Vietnam.越南家禽中分离的禽流感 A H5N1 病毒的系统进化和致病分析。
PLoS One. 2012;7(11):e50959. doi: 10.1371/journal.pone.0050959. Epub 2012 Nov 30.
8
Genetic evolution of H5 highly pathogenic avian influenza virus in domestic poultry in Vietnam between 2011 and 2013.2011年至2013年间越南家禽中H5高致病性禽流感病毒的基因演变
Poult Sci. 2015 Apr;94(4):650-61. doi: 10.3382/ps/pev036. Epub 2015 Mar 5.
9
Evolution and adaptation of H5N1 influenza virus in avian and human hosts in Indonesia and Vietnam.印度尼西亚和越南H5N1流感病毒在禽类和人类宿主中的进化与适应性
Virology. 2006 Jul 5;350(2):258-68. doi: 10.1016/j.virol.2006.03.048. Epub 2006 May 19.
10
Molecular characterization of the hemagglutinin and neuraminidase genes of H5N1 influenza A viruses isolated from poultry in Vietnam from 2004 to 2005.2004年至2005年从越南家禽中分离出的H5N1甲型流感病毒血凝素和神经氨酸酶基因的分子特征
J Vet Med Sci. 2006 May;68(5):527-31. doi: 10.1292/jvms.68.527.

引用本文的文献

1
Detecting geospatial patterns of Plasmodium falciparum parasite migration in Cambodia using optimized estimated effective migration surfaces.利用优化的估计有效迁移面检测柬埔寨间日疟原虫寄生虫迁移的地理空间模式。
Int J Health Geogr. 2020 Apr 10;19(1):13. doi: 10.1186/s12942-020-00207-3.
2
Incorporating sampling uncertainty in the geospatial assignment of taxa for virus phylogeography.在病毒系统地理学的分类单元地理空间分配中纳入抽样不确定性。
Virus Evol. 2019 Feb 28;5(1):vey043. doi: 10.1093/ve/vey043. eCollection 2019 Jan.
3
Revised time scales of RNA virus evolution based on spatial information.

本文引用的文献

1
Emergence of a novel swine-origin influenza A (H1N1) virus in humans.一种新型猪源甲型流感病毒(H1N1)在人类中的出现。
N Engl J Med. 2009 Jun 18;360(25):2605-15. doi: 10.1056/NEJMoa0903810. Epub 2009 May 7.
2
Evolution of highly pathogenic H5N1 avian influenza viruses in Vietnam between 2001 and 2007.2001年至2007年间越南高致病性H5N1禽流感病毒的演变
PLoS One. 2008;3(10):e3462. doi: 10.1371/journal.pone.0003462. Epub 2008 Oct 21.
3
Influenza A H5N1 clade 2.3.4 virus with a different antiviral susceptibility profile replaced clade 1 virus in humans in northern Vietnam.
基于空间信息的RNA病毒进化时间尺度修订
Proc Biol Sci. 2017 Aug 16;284(1860). doi: 10.1098/rspb.2017.0857.
4
Spatial, temporal and genetic dynamics of highly pathogenic avian influenza A (H5N1) virus in China.中国高致病性甲型流感病毒(H5N1)的空间、时间和遗传动态
BMC Infect Dis. 2015 Feb 13;15:54. doi: 10.1186/s12879-015-0770-x.
5
Spread and persistence of influenza A viruses in waterfowl hosts in the North American Mississippi migratory flyway.甲型流感病毒在北美密西西比候鸟迁徙路线水禽宿主中的传播与持续存在。
J Virol. 2015 May;89(10):5371-81. doi: 10.1128/JVI.03249-14. Epub 2015 Mar 4.
6
The geography of malaria genetics in the Democratic Republic of Congo: A complex and fragmented landscape.刚果民主共和国疟疾遗传学的地理分布:一个复杂且碎片化的格局。
Soc Sci Med. 2015 May;133:233-41. doi: 10.1016/j.socscimed.2014.10.037. Epub 2014 Oct 19.
7
Genetics: A New Landscape for Medical Geography.遗传学:医学地理学的新图景。
Ann Assoc Am Geogr. 2013;103(6):1452-1467. doi: 10.1080/00045608.2013.784102.
8
Ecological niche modeling of Bacillus anthracis on three continents: evidence for genetic-ecological divergence?三大洲炭疽芽孢杆菌的生态位建模:遗传-生态分化的证据?
PLoS One. 2013 Aug 19;8(8):e72451. doi: 10.1371/journal.pone.0072451. eCollection 2013.
9
Evidence for the circulation and inter-hemispheric movement of the H14 subtype influenza A virus.有证据表明 H14 亚型流感 A 病毒的循环和半球间传播。
PLoS One. 2013;8(3):e59216. doi: 10.1371/journal.pone.0059216. Epub 2013 Mar 28.
10
Population-environment drivers of H5N1 avian influenza molecular change in Vietnam.越南 H5N1 禽流感分子变化的人口-环境驱动因素。
Health Place. 2012 Sep;18(5):1122-31. doi: 10.1016/j.healthplace.2012.04.009. Epub 2012 May 17.
具有不同抗病毒敏感性特征的甲型H5N1 2.3.4分支病毒在越南北部的人类中取代了1分支病毒。
PLoS One. 2008 Oct 6;3(10):e3339. doi: 10.1371/journal.pone.0003339.
4
The development and genetic diversity of H5N1 influenza virus in China, 1996-2006.1996 - 2006年中国H5N1流感病毒的演变及遗传多样性
Virology. 2008 Oct 25;380(2):243-54. doi: 10.1016/j.virol.2008.07.038. Epub 2008 Sep 6.
5
Genotypic diversity of H5N1 highly pathogenic avian influenza viruses.H5N1高致病性禽流感病毒的基因多样性
J Gen Virol. 2008 Sep;89(Pt 9):2182-2193. doi: 10.1099/vir.0.2008/001875-0.
6
Toward a unified nomenclature system for highly pathogenic avian influenza virus (H5N1).迈向高致病性禽流感病毒(H5N1)统一命名系统。
Emerg Infect Dis. 2008 Jul;14(7):e1. doi: 10.3201/eid1407.071681.
7
Multiple sublineages of influenza A virus (H5N1), Vietnam, 2005-2007.2005 - 2007年越南甲型流感病毒(H5N1)的多个亚谱系
Emerg Infect Dis. 2008 Apr;14(4):632-6. doi: 10.3201/eid1404.071343.
8
Influenza A H5N1 immigration is filtered out at some international borders.甲型H5N1流感病毒在一些国际边境被拦截。
PLoS One. 2008 Feb 27;3(2):e1697. doi: 10.1371/journal.pone.0001697.
9
Identification of the progenitors of Indonesian and Vietnamese avian influenza A (H5N1) viruses from southern China.源自中国南方的印度尼西亚和越南甲型禽流感(H5N1)病毒的祖源鉴定。
J Virol. 2008 Apr;82(7):3405-14. doi: 10.1128/JVI.02468-07. Epub 2008 Jan 23.
10
Scale-free distribution of avian influenza outbreaks.禽流感爆发的无标度分布。
Phys Rev Lett. 2007 Nov 2;99(18):188702. doi: 10.1103/PhysRevLett.99.188702. Epub 2007 Oct 30.